
Ministru kabineta noteikumi: Šajā laidienā 43 Pēdējās nedēļas laikā 63 Visi
Ministru kabineta noteikumi Nr. 848
Rīgā 2021. gada 21. decembrī (prot. Nr. 81 14. §)
Grozījumi Ministru kabineta 2007. gada 31. jūlija noteikumos Nr. 525 "Kārtība, kādā atsevišķiem naftas produktiem piemēro samazinātu akcīzes nodokļa likmi vai atbrīvojumu no akcīzes nodokļa"
Izdoti saskaņā ar likuma "Par akcīzes nodokli" 5. panta piekto
daļu,
18. panta pirmo un 1.1 daļu, 28. panta piekto daļu un likuma
"Par nodokļu piemērošanu brīvostās un speciālajās
ekonomiskajās zonās" 3. panta desmito daļu
1. Izdarīt Ministru kabineta 2007. gada 31. jūlija noteikumos Nr. 525 "Kārtība, kādā atsevišķiem naftas produktiem piemēro samazinātu akcīzes nodokļa likmi vai atbrīvojumu no akcīzes nodokļa" (Latvijas Vēstnesis, 2007, 132. nr.; 2008, 162. nr.; 2009, 23., 103., 177. nr.; 2010, 51./52., 97. nr.; 2015, 30. nr.; 2018, 142. nr.; 2019, 129. nr.) šādus grozījumus:
1.1. svītrot norādē, uz kāda likuma pamata noteikumi izdoti, skaitļus un vārdus "14. panta 2.1 daļu";
1.2. svītrot 1.1. apakšpunktā skaitļus un vārdus "14. panta 2.1 daļai";
1.3. svītrot 4. punktu;
1.4. svītrot 38. punktā skaitļus un vārdus "14. panta 2.1 daļu";
1.5. svītrot IV sadaļas nosaukumā vārdus "vai eļļas atkritumi";
1.6. svītrot 48. punktu;
1.7. svītrot 49. punktā vārdus un skaitli "un 48. punktā minēto izziņu eļļas atkritumu iegādei";
1.8. svītrot 50. punkta ievaddaļā vārdus un skaitli "bet, lai saņemtu izziņu eļļas atkritumu iegādei (izmantošanai par kurināmo), lietotājs iesniedz iesniegumu saskaņā ar šo noteikumu 2. pielikumu";
1.9. svītrot 50.3. apakšpunktu;
1.10. svītrot 50.4. apakšpunktā, 50.5. apakšpunkta ievaddaļā un 50.5.1. apakšpunktā vārdus "vai eļļas atkritumu";
1.11. svītrot 50.5.2. apakšpunktā vārdus "vai eļļas atkritumus";
1.12. svītrot 50.5.3. apakšpunktā vārdus "vai eļļas atkritumu";
1.13. svītrot 51. punkta ievaddaļā vārdus un skaitli "bet, lai saņemtu izziņu eļļas atkritumu iegādei (izmantošanai par kurināmo), lietotājs iesniedz iesniegumu saskaņā ar šo noteikumu 4. pielikumu";
1.14. svītrot 51.2. apakšpunkta ievaddaļā vārdus "vai eļļas atkritumu maksimālo patēriņu attiecīgajā sadedzināšanas iekārtā";
1.15. svītrot 51.2.6. apakšpunktā vārdus "vai eļļas atkritumu";
1.16. svītrot 51.3., 51.4., 51.5. un 51.6. apakšpunktā vārdus "vai eļļas atkritumi" (attiecīgā locījumā);
1.17. svītrot 53. punktā vārdus "vai eļļas atkritumus";
1.18. izteikt 55. un 56. punktu šādā redakcijā:
"55. Apkurei nepieciešamo iezīmēto (marķēto) naftas produktu daudzumu fiziskās personas aprēķina par periodu uz vienu gadu, izmantojot vienu no šādām metodēm:
55.1. pirmā metode:
55.1.1. aprēķina iezīmēto (marķēto) naftas produktu daudzumu apkurei (B1), izmantojot šādu formulu:
q – projektā paredzētais siltumenerģijas patēriņš (kWh/m2 gadā) ēkām, kurām ir siltumapgādes projekts, vai 139 kWh/m2 gadā ēkām, kurām nav siltumapgādes projekta (pieņemtā siltumenerģijas patēriņa norma gadā);
F – apkurināmo telpu platība (m2);
Qzd – iezīmēto (marķēto) naftas produktu zemākais sadegšanas siltums 41160–42840 kJ/kg;
ƞ – apkures iekārtas lietderības koeficients;
p – iezīmēto (marķēto) naftas produktu blīvums 0,85 kg/l;
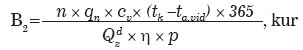
55.1.2. aprēķina iezīmēto (marķēto) naftas produktu daudzumu karstā ūdens apgādei (B2), izmantojot šādu formulu:
n – karstā ūdens izmantotāju skaits;
qn – 0,1 m3 ūdens diennaktī vienam iedzīvotājam;
cv – siltuma daudzums, kas nepieciešams, lai uzsildītu 1 m3 ūdens par 1°C, 4200 kJ/(m3 x °C);
tk – karstā ūdens normatīvā temperatūra 50 °C;
ta.vid. – aukstā ūdens gada vidējā normatīvā temperatūra 10 °C;
Qzd – iezīmēto (marķēto) naftas produktu zemākais sadegšanas siltums 41160–42840 kJ/kg;
ƞ – apkures iekārtas lietderības koeficients;
p – iezīmēto (marķēto) naftas produktu blīvums 0,85 kg/l;
55.1.3. aprēķina kopējo iezīmēto (marķēto) naftas produktu daudzumu, izmantojot šādu formulu:
B = B1 + B2;
55.2. otrā metode:
55.2.1. aprēķina iezīmēto (marķēto) naftas produktu daudzumu apkurei (Bapk.), izmantojot šādu formulu:
Vā – ēkas apsildāmās daļas ārējais tilpums (m3);
qa – īpatnējā siltuma patēriņa skaitlis apkurei 1,764 kJ/m3 °C;
a – korekcijas koeficients 1,1–1,25;
tiekš .– telpu vidējā iekšējā aprēķina temperatūra – plus 20 °C;
tārg. – ārgaisa aprēķina temperatūra – mīnus 20 °C;
kt – vidējās temperatūras koeficients apkures sezonā 0,51;
N – apkures sezonas dienu skaits (210 dienu);
n – apkures ilgums diennaktī (stundas);
Qzd – iezīmēto (marķēto) naftas produktu zemākais sadegšanas siltums 41160–42840 kJ/kg;
ƞ – apkures iekārtas lietderības koeficients;
p – iezīmēto (marķēto) naftas produktu blīvums 0,85 kg/l;
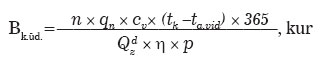
55.2.2. aprēķina iezīmēto (marķēto) naftas produktu daudzumu karstā ūdens apgādei (Bk.ūd.), izmantojot šādu formulu:
n – karstā ūdens izmantotāju skaits;
qn – 0,1 m3 ūdens diennaktī vienam iedzīvotājam;
cv – siltuma daudzums, kas nepieciešams, lai uzsildītu 1 m3 ūdens par 1 °C, 4200 kJ/(m3 x °C);
tk – karstā ūdens normatīvā temperatūra 50 °C;
ta.vid .– aukstā ūdens gada vidējā normatīvā temperatūra 10 °C;
Qzd – iezīmēto (marķēto) naftas produktu zemākais sadegšanas siltums 41160–42840 kJ/kg;
ƞ – apkures iekārtas lietderības koeficients;
p – iezīmēto (marķēto) naftas produktu blīvums 0,85 kg/l;
55.2.3. aprēķina kopējo iezīmēto (marķēto) naftas produktu daudzumu, izmantojot šādu formulu:
B = Bapk. +B k.ūd.
56. Ja lietotājs nav fiziskā persona, siltuma ieguvei apkurē, sadedzināšanas iekārtās vai siltuma enerģijas ieguvei produkcijas ražošanas (pārstrādes) tehnoloģiskajā procesā nepieciešamos iezīmētos (marķētos) naftas produktus aprēķina par periodu uz vienu gadu, izmantojot vienu no šādām metodēm un iegūto rezultātu reizinot ar prognozēto jaudas izmantošanas koeficientu, kura lielums ir robežās no 0,1 līdz 0,9 (atkarībā no iekārtas izmantošanas intensitātes un tehniskajām iespējām):
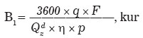
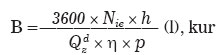
56.1. pēc iekārtas nominālās jaudas:
Nie – iekārtas nominālā jauda (kW);
h – plānotais iekārtu darbības laiks (stundās);
Qzd – iezīmēto (marķēto) naftas produktu zemākais sadegšanas siltums 41160–42840 kJ/kg;
ƞ – apkures iekārtas lietderības koeficients;
p – iezīmēto (marķēto) naftas produktu blīvums 0,85 kg/l;
56.2. aprēķinot atbilstoši tehnoloģiskajam procesam un dokumentāri pamatojot aprēķina skaidrojumu.";
1.19. izteikt 57. punkta pirmo teikumu šādā redakcijā:
"Izziņu iezīmēto (marķēto) naftas produktu iegādei izsniedz par katru adresi, kurā iezīmētie (marķētie) naftas produkti tiks uzglabāti un izmantoti.";
1.20. izteikt 58. punktu šādā redakcijā:
"58. Izziņā iezīmēto (marķēto) naftas produktu iegādei norāda informāciju saskaņā ar šo noteikumu 6., 7. vai 8.pielikumu. Izziņā iezīmēto (marķēto) naftas produktu iegādei, kas minēta šo noteikumu 47.1. apakšpunktā, atbilstoši šo noteikumu 6. vai 7. pielikumam norāda gada kopējo daudzumu, kuru atļauts piegādāt katru gadu.";
1.21. svītrot 59. punktā vārdus "vai eļļas atkritumi" (attiecīgā locījumā);
1.22. svītrot 60. punktā vārdus "vai izziņa eļļas atkritumu iegādei" (attiecīgā locījumā);
1.23. svītrot 61. punktā vārdus "vai izziņas saņemšanai eļļas atkritumu iegādei";
1.24. svītrot 61.1, 62.2 un 63. punktā vārdus "vai izziņa eļļas atkritumu iegādei" (attiecīgā locījumā);
1.25. izteikt 64. punkta ievaddaļu un 64.1. apakšpunktu šādā redakcijā:
"64. Valsts ieņēmumu dienests ir tiesīgs anulēt izziņu iezīmēto (marķēto) naftas produktu iegādei, ja:
64.1. gada laikā saņemtais iezīmēto (marķēto) naftas produktu daudzums pārsniedz attiecīgajā izziņā norādīto daudzumu (gada limitu), izņemot šo noteikumu 62.2 punktā minēto gadījumu;";
1.26. svītrot 64.1 punktā vārdus "vai izziņu eļļas atkritumu iegādei";
1.27. izteikt 70. punktu šādā redakcijā:
"70. Ja izziņā norādītais iezīmēto (marķēto) naftas produktu daudzums pārsniedz 7000 litru gadā, lietotājs (izņemot fiziskās personas) informāciju par iezīmēto (marķēto) naftas produktu daudzumu reģistrē iezīmēto (marķēto) naftas produktu reģistrācijas žurnālā. Minētajā žurnālā norāda šādu informāciju:
70.1. saņemtais iezīmēto (marķēto) naftas produktu daudzums (norāda iegādes datumu un degvielas piegādes dokumenta numuru);
70.2. skaitītāja rādījumi katra kalendāra mēneša pēdējā datumā, ja attiecīgajā izziņā norādītais iezīmēto (marķēto) naftas produktu daudzums pārsniedz 20 000 litru gadā;
70.3. iezīmēto (marķēto) naftas produktu patēriņš kalendāra mēnesī, ja izziņā norādītais iezīmēto (marķēto) naftas produktu daudzums pārsniedz 20 000 litru gadā;
70.4. summārais iezīmēto (marķēto) naftas produktu patēriņš attiecīgās izziņas derīguma laikā.";
1.28. svītrot 71. un 118.2 punktā vārdus "vai eļļas atkritumu";
1.29. svītrot 122.1 punktā vārdus "izziņa eļļas atkritumu iegādei (izmantošanai par kurināmo)";
1.30. svītrot 2., 4., 9. un 10. pielikumu.
2. Noteikumi stājas spēkā 2022. gada 1. janvārī.
Ministru prezidents A. K. Kariņš
Finanšu ministrs J. Reirs