
Valsts galvenā pārtikas un veterinārā inspektora rīkojums Nr.65
Rīgā 2004.gada 18.martā
Par dzīvnieku veselības sertifikātu cūku sugas dzīvnieku svaigas gaļas eksportam uz ES dalībvalstīm
Pamatojoties uz 1998.gada 29.maija Eiropas Komisijas lēmumu 98/371/EC, nosaku:
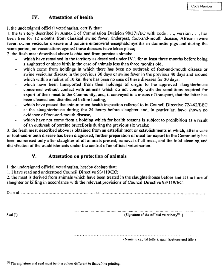
1. Cūku sugas dzīvnieku svaigas gaļas eksportam uz Eiropas Savienības dalībvalstīm izsniegt pielikumā noteiktās formas dzīvnieku veselības sertifikātu (skat. pielikumā).
2. Rīkojumu publicēt laikrakstā “Latvijas Vēstnesis”.
3. Rīkojums stājas spēkā ar parakstīšanas brīdi.
4. Kontrole pār rīkojuma izpildi tiek uzdota Pārtikas uzraudzības departamenta direktoram E.Zavadskim un Sanitārās robežinspekcijas priekšniecei I.Šicei-Trēdei.
Valsts galvenais pārtikas un veterinārais inspektors V.Veldre
Pielikums