
Valsts galvenā pārtikas un veterinārā inspektora rīkojums Nr. 235
Rīgā 2003. gada 9. septembrī
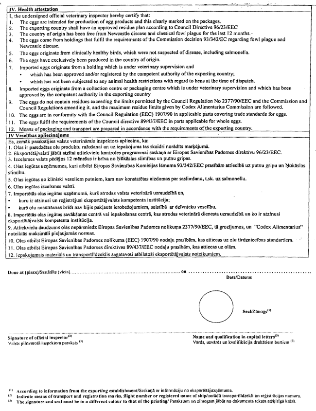
Par veselības sertifikātu olu produktu ražošanā izmantojamo vistu olu izvešanai uz Nīderlandi
Pamatojoties uz “Veterinārmedicīnas likuma” 41. panta 2. punktu, nosaku:
1. Olu produktu ražošanā izmantojamo vistu olu izvešanai uz Nīderlandi izsniegt pielikumā noteiktās formas veselības sertifikātu (skat. pielikumā).
2. Atcelt sertifikāta “Eksport – 2” izsniegšanu olu produktu ražošanā izmantojamo vistu olu izvešanai uz Nīderlandi.
3. Rīkojumu publicēt laikrakstā “Latvijas Vēstnesis”.
4. Rīkojums stājas spēkā ar parakstīšanas brīdi.
5. Kontroli pār rīkojuma izpildi uzdodu:
5.1. Pārtikas uzraudzības departamenta direktoram E.Zavadskim;
5.2. Sanitārās robežinspekcijas priekšniecei I.Šicei-Trēdei.
Valsts galvenais pārtikas un veterinārais inspektors V.Veldre
Pielikums