
Nacionālā programma "Kultūra" 2000. - 2010. g.
Kopsavilkums
Programmas koordinācijas padome
Priekšsēdētāja: K.Pētersone, kultūras ministre
Vietnieks: A. Vilks, Nacionālās kultūras padomes priekšsēdētājs
Locekļi: Nacionālā kultūras padome- J.Visockis, V.Slaidiņa, B.Tjarve, P.Bankovskis, J.Karlsons, N.Ikstena, J.Rubenis, V.Muktupāvels, H.Demakova; Nacionālā TV un Radio padome - O. Rubenis; Ekonomikas ministrija - G.Kaņējeva; Finansu ministrija - Z.Strautmane; Pašvaldību savienība - L.Gintere; Vides aizsardzības un reģionālās attīstības ministrija - A.Rutka; Izglītības un zinātnes ministrija - E.Vēbers; Satiksmes ministrija - P.Romāns; Nacionālo kultūras biedrību savienība - I.Viņņika; Latvijas Zinātnes padome - A.Tabūns; sekretārs - M.Štramdiers
Ievads
Nacionālā programma "Kultūra" izstrādāta atbilstoši Latvijas Republikas Ministru kabineta 1995. gada 9. maija noteikumiem Nr.129 "Nacionālo programmu izstrādes un īstenošanas kārtība" un Latvijas Republikas Ministru kabineta 1999. gada 24. marta rīkojumam Nr. 146 "Par nacionālajām programmām ekonomiskās politikas realizācijai". Nacionālā programma "Kultūra" ir 1995.gadā Latvijas Republikas Saeimas apstiprināto "Latvijas valsts kultūrpolitikas pamatnostādņu" turpinājums un izpildes mehānisms.
Nacionālā programma "Kultūra" ir valstij veicamo kultūras un kultūrindustrijas nozares pasākumu kopums, kuru īstenošana ir nozīmīga un būtiski nepieciešama Latvijas sabiedrības un tautsaimniecības attīstībai kopumā. Programmas izveides mērķis ir, pamatojoties uz esošās kultūras situācijas analīzi, noteikt kultūrpolitikas mērķi un prioritātes turpmākajam laika posmam, izveidot konkrētu pasākumu plānu šo mērķu sasniegšanai un prioritāšu nodrošināšanai un īstenot šo plānu. Nacionālā programma "Kultūra" ir kompleksa ilgtermiņa mērķprogramma laika posmam līdz 2010. gadam, kas ietver divu pakāpju programmas attiecīgi 2000.-2005. un 2006.-2010. gadiem. Tā sastāv no 10 apakšprogrammām.
Programmā:
- definēti kultūras attīstības perspektīvie mērķi un apakšmērķi,
- noteikti šo mērķu sasniegšanas ceļi, konkrēti pasākumi un to finansēšana,
- katrā kultūras apakšnozarē:
• apzinātas stiprās vietas un problēmas, kas jāatrisina programmas darbības laikā,
• noteikti attīstības virzieni,
• izstrādāts rīcības plāns laika posmam līdz 2005. gadam,
• iezīmēti pasākumi laika posmam līdz 2010. gadam.
Nacionālās programmas "Kultūra" mērķa īstenošana nodrošinās kultūras darba pilnveidošanos kultūras humanitāro mērķu jomā un kultūras vadības jomā un nodrošinās kultūras attīstības nosacījumu uzlabošanos un, kultūras nozares efektivitātes paaugstināšanos jomā, kas savukārt pavērs iespēju pilnīgāk apmierināt iedzīvotāju kultūras vajadzības un radīs priekšnoteikumus kultūras tiešās un netiešās ietekmes palielināšanai tautsaimniecības uzplaukumā un tautas labklājības paaugstināšanā.
Nacionālās programmas "Kultūra" darbības virzienu un pasākumu izvēle pamatota ar plašiem sociāli - ekonomiskiem pētījumiem:
• Brīvā laika pavadīšana, sabiedriskā aktivitāte (1995)
• Radošo profesiju darbinieku statuss sabiedrībā (1996)
• Grāmata Latvijas ģimenēs (1996)
• Grāmatas Latvijas iedzīvotāju kultūras vērtību sistēmā. Brīvā laika pavadīšana, sabiedriskā aktivitāte. (1995, 1997)
• Kultūra (novembris 1997)
• Teātri (janvāris 1998)
• Kultūra kā sabiedrību integrējošs faktors (1998)
• Valsts Kultūrizglītības iestāžu absolventu darba tirgus izpēte un prognoze (1998)
• Kultūras sektora tautsaimnieciskā nozīmīguma novērtējums (1998)
• Muzeji (janvāris 1999)
• Kultūras nozares tautsaimnieciskais nozīmīgums (1999)
• Izglītība un kultūra multietniskas sabiedrības apstākļos: nostādnes un risinājumi (1999)
• Latvijas minoritāšu bērnu un jaunatnes kultūrizglītība - sabiedrības integrācijas nosacījums (1999)
Nacionālās programmas izstrādē izmantoti Latvijas un ārzemju statistikas dati, kultūras attīstības koncepcijas, programmas un plāni, radošo organizāciju pieredze, ārvalstu ekspertu vērtējumi un ieteikumi, ārvalstu pieredze, valsts institūciju nepublicētie materiāli. Būtiska nozīme piešķirta nacionālo īpatnību ievērošanai un saglabāšanai.
Nacionālo programmu izstrādāja Kultūras ministrijas izveidota darba grupa, kuras sastāvā bija iekļauti neatkarīgie kultūras darbinieki, zinātnieki un eksperti, LR Kultūras ministrijas un citu valsts kultūras institūciju speciālisti:
Apakšnozarē Kultūras mantojums - J.Dambis, J.Asaris, J.Lejnieks, J.Radiņš, P.Blūms, D.Čoldere, I.Apmane, V.Slaidiņa, J.Urtāns, J.Krastiņš.
Apakšnozarē Muzeji - J.Garjāns, A.Jurkāne, K.Radziņa, A.Radiņš, D.Upeniece, A.Fleija, E.Liepiņš, A.Ozola, G.Grase, I.Jēruma.
Apakšnozarē Bibliotēkas - Dz.Mukāne, J.Turlajs, B.Sporāne, Dz.Šmita, A.Zoldnere, I.Martinsone.
Apakšnozarē Vizuālā māksla - G.Cēbere, R.Čaupova, O.Pētersons, V.Kleins, S.Krese, R. Šmite, I.Lauce.
Apakšnozarē Tradicionālā kultūra un amatiermāksla - Z.Sneibe, P.Laķis, L.Akurātere, J.Kurpnieks, V.Ābele, D.Raituma, A.Birziņa, A.Kapusts, M.Alpa.
Apakšnozarē Teātris - E.Liniņš, U.Tomsons, P.Sūcis, A.Straupeniece, V.Gavare.
Apakšnozarē Mūzika un deja - I.Kalniņa, J.Torgāns, A.Hermanis, D.Vilsone.
Apakšnozarē Literatūra - J.Treile, V.Rūmnieks, M.Caune, V.Kilbloka, M.Ozoliņš.
Apakšnozarē Filmu nozare - B.Aščuks, A.Krievs, Z.Saulīte, N.Naumanis, A.Rozenbergs, E.Kalnaella, K.Luhaers.
Apakšnozarē Kultūrizglītība - U.Lielpēters, U.Ābiķis, I.Baltābola, I.Bērziņš, I.Grauzdiņa, A.Kampars, V.Kavacs, J.Keičs, A.Luste, M.Pīlāga, A.Kumsārs, V.Bomika.
Darba grupu vadīja BO SIA Zinātņu Akadēmijas Ekonomikas institūta direktore, LZA korespondētājlocekle Dr.ekon. Raita Karnīte.
Par nacionālās programmas izstrādi, aktualizēšanu un izpildi atbild: KM Kultūrpolitikas departaments (direktore V.Virtmane), sekretariāta funkcijas pildīja: KM Kultūrpolitikas departamenta Informācijas un analīzes nodaļa - R.Munkevica, M.Štramdiers, A.Upmale.
1. Situācijas raksturojums
1.1. Globālais vērtējums
UNESCO Pasaules kultūras ziņojumā kultūra plašākajā nozīmē definēta kā "dzīvesveids un veids, kādā sadzīvot kopā". Tā ietver sabiedrības atzītās vērtības, toleranci pret citiem sabiedrības locekļiem, personu un sabiedrības ārējo un iekšējo vērtību orientāciju, intereses utt. Pēc citas definīcijas, kuru uztur dzejnieks I.Ziedonis, "kultūra ir uzlabojumu kopums, ko kāda tauta ir veikusi un savākusi savā evolucionēšanas gaitā. Kultūra ir pašapziņas kvalitāte".
Kultūru var definēt arī šaurākā nozīmē kā mākslas, mūzikas, literatūras utt. izpausmes.
Kultūra plašākā nozīmē izskaidro un ietekmē sabiedrības politiskos un sociālos procesus un veido sociālo vidi. Tas nosaka kultūras nozīmi sabiedrības attīstībā. Katra tauta un sabiedrība kopumā rūpējas par kultūras saglabāšanu un attīstību.
Pēdējā laikā notiek pāreja no kultūras kā vienīgi humanitāras vērtības izpratnes uz izpratni, ka kultūra ir gan humanitāra, gan tautsaimnieciska vērtība. Ar šo jauno pieeju tiek uzsvērta kultūras nozīme tautas attīstības veicināšanā, kurā ekonomiskais aspekts ieņem nozīmīgu vietu. Tiek izcelta kultūras neaizvietojamā loma sociāli ekonomisko problēmu risināšanā - jaunu darba vietu radīšanā, reģionālās attīstības atšķirību izlīdzināšanā, sociālās spriedzes mazināšanā un vienas sabiedrības daļas izstumtības ierobežošanā.
Meklējot jaunas izaugsmes iespējas, radusies koncepcija, kas paredz kultūras lomas palielināšanos valstu attīstības modeļu veidošanā. Globalizācijas un internacionalizācijas procesi veicina valstu attīstības modeļu izlīdzināšanos, nacionālo īpatnību nonivelēšanu vai neievērošanu, kas slēpj sevī vienādu ieguvumu un vienādu (vai visaptverošu) kļūdu un katastrofu iespējamību, arvien pieaugošu konkurenci un vājāko izstumšanu. Šādas perspektīvas nevienu neiepriecina. Dabiska pašaizsardzības reakcija ir tautu centieni ievērot vietējās īpatnības, izmantot tās savas valsts konkurētspējas paaugstināšanai globālā mērogā, nacionālās pašapziņas celšanai un mobilizācijai cīņā par izdzīvošanu. Kā atzīmēts UNESCO Pasaules kultūras ziņojumā, globalizācija veicina lokalizāciju, etnisko pašatpazīšanu un kultūras plurālismu, un nacionālā kultūra ir tā, kas rosina jaunus attīstības virzienus.
Globalizācijas un internacionalizācijas procesi rada gan jaunas iespējas, gan objektīvus draudus nacionālo kultūru pastāvēšanai, kas izpaužas kā finansu nosacījumu saasināšanās pieaugošās konkurences apstākļos, kultūras pārmērīga komercializācija un vienkāršošana.
Apzinoties situācijas sarežģītību, ciešo saistību starp kultūru un tautas un tautsaimniecības attīstību un kultūras lomu jaunu attīstības iespēju veidošanā, starpnacionālās organizācijas (UNESCO, Eiropas Padome u.c.) iesaka visām valstīm pievērst lielāku uzmanību kultūrai un veicināt tās attīstību.
Lai gan kultūrai piemīt savas iekšējās attīstības likumības, kas īstenojas neatkarīgi no cilvēka gribas, kultūras noderīgums sabiedrības attīstībā ir saistīts ar sabiedrības rūpēm par kultūru. Tāpēc ir svarīgi apzināti un mērķtiecīgi vadīt kultūras attīstību, un tam ir nepieciešama pamatota stratēģija. Izstrādājot un īstenojot Nacionālo programmu "Kultūra", Latvija pievienosies valstīm, kuras, mērķtiecīgi izmantojot kultūras pozitīvo ietekmi, spējušas sasniegt augstus attīstības rezultātus.
Kultūras saglabāšanas un attīstības pamats ir valoda, zināšanas, folklora, ieradumi, tradīcijas, formālais vai neformālais izglītības process, kultūras institūcijas utt. Tātad kultūras pastāvēšanai nepieciešami gan nemateriāli (garīgi), gan materiāli nosacījumi, kuru izveidošana un uzturēšana ir atkarīga no politiskās varas vēlmes, iespējām un prasmes rūpēties par tautas attīstību.
1.2. Nacionālais vērtējums
Kultūras attīstības materiālo nosacījumu pamats ir ekonomiskā attīstība. Kultūras lielākā problēma Latvijā ir nespēja pārorientēties uz jaunu finansēšanas sistēmu tirgus ekonomikas vidē, pārmērīga atkarība no tirgus konjunktūras, tirgus spēku nelabvēlīgā ietekme uz kultūru valsts neitrālas politikas apstākļos.
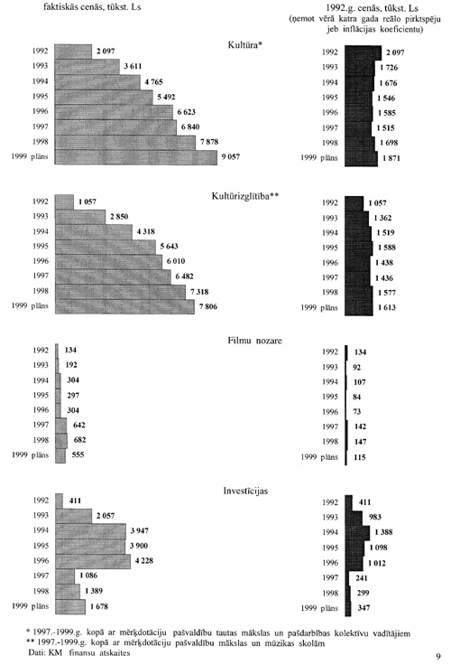
Kultūrai Latvijā bīstamākais laiks bija deviņdesmito gadu sākums, kad tautsaimniecības lejupslīdes dēļ valsts vairs nespēja finansēt iepriekšējos gados izveidoto kultūras infrastruktūru un darbības veidu. Laikā no 1992. līdz 1997. gadam kultūras reālais finansējums samazinājās (1.1. zīmējums).
1.1. zīmējums
Kultūras ministrijas budžeta izdevumi
(pēc valdības funkciju klasifikācijas)
Kultūras nozares finansēšanas galvenais avots ir tautsaimniecībā jaunradītā vērtība, kas arī izskaidro nozares finansu grūtības Latvijā. Latvijas iekšzemes kopprodukts, rēķināts uz vienu iedzīvotāju, ievērojami atpaliek no attīstīto valstu rādītājiem (1.2. zīmējums).
1.2. zīmējums
Iekšzemes kopprodukts
(uz 1 iedzīvotāju USD)
Dati: Eiropas integrācija un Latvijas tautsaimniecība, LZA Ekonomikas institūts, Rīga, 1999, 33.lpp.
Attiecīgi, dažādu kultūras apakšnozaru un projektu finansējums Latvijā uz vienu iedzīvotāju ir ievērojami mazāks nekā attīstītās Eiropas valstīs (1.3., 1.4., 1.5 zīmējums).
1.3. zīmējums
Valsts budžeta izdevumi muzejiem
(uz 1 iedzīvotāju Ls)
Dati: Muzeju valsts pārvaldes statistika, Statistical Yearbook of Finland 1997, 461.,474.lpp.,
Statistics Norway ( http://www.ssb.no/www-open/english/statisticsķbyķsubject/...)
1.4. zīmējums
Valsts un pašvaldību izdevumi profesionālajiem teātriem
(uz 1 iedzīvotāju Ls)
Dati: KM finansu atskaites, Statistical Yearbook of Sweden '97, 401.lpp., Danish Cultural Policy, 1999, 9.lpp.
1.5. zīmējums
Valsts un pašvaldību izdevumi operai
(uz 1 iedzīvotāju Ls)
Dati: KM finansu atskaites, Statistical Yearbook of Sweden '97, 401.lpp.
Kultūras finansējuma samazināšanās izraisīja negatīvas sekas: tika pārtrauktas investīcijas kultūrā, pienācīgi neuzturētie kultūras infrastruktūras objekti strauji nolietojās, tos sāka izmantot ar kultūru nesaistītiem mērķiem, privatizēja vai pameta laika zoba varā, krasi pasliktinājās mākslinieku un kultūras darbinieku dzīves apstākļi. Ekonomisko grūtību iespaidā samazinājās sabiedrības interese par kultūras norisēm un kultūras produktu (1.6.zīmējums).
1.6. zīmējums
Apmeklējumu skaits
(miljonos)
* Saskaņā ar bibliotēku statistikas standartu 1998. gadā apmeklējumu skaits netiek uzskaitīts
Dati: Institūciju atskaites LR Centrālajai statistikas pārvaldei un Kultūras ministrijai
Neskatoties uz to, ka gandrīz visām kultūras nozarēm '90 gadu sākumā bija nopietnas pastāvēšanas grūtības, būtu nepareizi apgalvot, ka kultūrai netika pievērsta uzmanība. Pašvaldības centās saglabāt esošās kultūras iestādes un atbalstīt kultūras pasākumus. 1994. gadā uzsāktās valsts investīciju programmas pirmais lielākais pasākums bija Latvijas Operas nama rekonstrukcija.
Jau pirmajos neatkarības gados tika pieņemti vairāki kultūras infrastruktūras darbību regulējoši likumi:
• "Par presi un citiem masu informācijas līdzekļiem" (1990),
• "Par arhīviem" (1991),
• "Par Latvijas nacionālo un etnisko grupu brīvu attīstību un tiesībām uz kultūras autonomiju" (1991),
• "Par kultūras pieminekļu aizsardzību" (1992),
• "Par sabiedriskajām organizācijām un to apvienībām" (1992),
• "Par Latvijas Nacionālo bibliotēku" (1992),
• "Par autortiesībām un blakustiesībām" (1993).
Turpmākajos gados likumdošanas aktivitātes mazinājās, iespējams tāpēc, ka aktuālāki kļuva kultūras pastāvēšanas ekonomiskie jautājumi, kurus nebija viegli atrisināt. Tomēr arī šajā laikā Latvija 1995. gadā pievienojās Konvencijai "Par Pasaules kultūras un dabas mantojumu" un pieņēma:
• likumu "Par izložu un azartspēļu nodevu un nodokli" (1994),
• Radio un televīzijas likumu (1995),
• Muzeju likumu (1997),
• Poligrāfisko un citu izdevumu bezmaksas obligāto eksemplāru piegādes likumu (1997),
• Kultūrkapitāla fonda likumu (1997),
• Bibliotēku likumu (1998),
• likumu "Par Romas Konvenciju par izpildītāju, fonogrammu, producentu un raidorganizāciju tiesību aizsardzību" (1998),
• Kultūras institūciju likumu (1998),
• likumu "Par Eiropas Konvenciju par pārrobežu televīziju" (1998).
1995. gadā, kad Latvijas tautsaimniecība atradās zemākajā lejupslīdes punktā, sestā Saeima apstiprināja Latvijas valsts kultūrpolitikas pamatnostādnes.
1998. gadā sāka darboties valsts bezpeļņas akciju sabiedrība Kultūrkapitāla fonds, kas ienesa jaunu filozofiju kultūras finansēšanā - valsts budžeta līdzekļu sadali konkursa kārtībā, kur lēmumu pieņēmēji ir demokrātiskā ceļā izraudzīti dažādu nozaru eksperti. Tiek gatavots Labdarības likums, Filmu likums, likumprojekti "Par Nacionālo operu", "Par radošajām profesijām". 1998. gadā Eiropas Padomes kultūras politiku izvērtēšanas programmas ietvaros LR Kultūras ministrija aizstāvēja Nacionālo ziņojumu "Kultūrpolitika Latvijā". Tam sekojošajā Eiropas Padomes ekspertu ziņojumā atzinīgi novērtēts tas, ka Latvijas kultūrpolitikas principi ir tuvi moderniem, demokrātiskiem risinājumiem un saskan ar modernās kultūrpolitikas loģiku, kas vairumā Eiropas valstu ir vērsta uz četriem pamatmērķiem: kultūras identitātes un kultūru daudzveidības sasniegšanu, radošo potenču un kultūrlīdzdalības nodrošināšanu.
Stāvoklis Latvijas tautsaimniecībā ir mainīgs. Ar 1995. gadu Latvijas ekonomiskajā attīstībā iezīmējās augšupeja, pakāpeniski uzlabojās iedzīvotāju dzīves apstākļi, mazinājās stress un depresija, kas valdīja sabiedrībā tautsaimniecības attīstības lejupslīdes periodā. Pozitīvās tendences turpinājās. 1998. gadā Latvijas iekšzemes kopprodukts (IKP) pieauga par 3.6 %, un tas bija trešais gads pēc kārtas, kad tika konstatēts iekšzemes kopprodukta pieaugums. Gadu no gada uzlabojās finansu un monetārās sistēmas rādītāji: inflācija samazinājās no 25.0 % 1995. gadā līdz 4.7 % 1998. gadā. 1998. gada beigās tautsaimniecības attīstība palēninājās, bet 1999.gada 1.pusgadā konstatēts negatīvs IKP pieaugums.
Kaut gan kopumā Latvijas ekonomiskās attīstības perspektīvas ir labas, valsts un pašvaldību budžeta iespējas kultūras finansēšanai joprojām ir nepietiekamas un nav paredzams, ka tuvākajā laikā tās varētu uzlaboties.
Ekonomisko apstākļu uzlabošanās iespaido kultūras produkta patēriņu. Gandrīz visās kultūras apakšnozarēs patēriņa lejupslīde ir apturēta, un dažās iezīmējas neliela izaugsme (1.6. zīmējums). Var paredzēt, ka, ekonomiskiem apstākļiem vēl vairāk uzlabojoties un paaugstinoties tautas dzīves līmenim, pieprasījums pēc kultūras produkta atjaunosies.
Tomēr dzīves līmenis Latvijā vēl joprojām ir zems. IKP uz vienu iedzīvotāju, pēc pirktspējas paritātes aprēķiniem, Latvijā tālu atpaliek no Rietumeiropas valstu līmeņa (1997. gadā tas bija 27% no ES vidējā) un ieņem vienu no pēdējām vietām Centrāleiropas valstu grupā. Vērtējot pēc Apvienoto Nāciju Attīstības padomes (UNDP) Tautas attīstības indeksa (TAI), Latvija pieder pie valstīm ar vidēju tautas attīstības līmeni un 1999. ierindojas 74. vietā.
Pagaidām no trim TAI veidojošajiem rādītājiem Latvijai kritiskākais ir pirktspējas paritātes dolāros rēķinātais IKP uz vienu iedzīvotāju (tas arī izskaidro Latvijas TAI vērtības pazemināšanos no 0.868 1993. gadā uz 0.704 1997. gadā). Pēdējo gadu rādītāji (TAI vērtības pazemināšanās no 0.820 1996. gadā uz 0.704 1998. gadā) liecina, ka TAI vērtības pazemināšanos radījuši citi cēloņi, kas saistīti ar tautas veselību un izglītību. Tas nozīmē, ka pastāv pretruna starp formālajiem un faktiskajiem attīstības rezultātiem - makroekonomiskās attīstības uzlabošanos, no vienas puses, un tautas attīstības aizkavēšanos no otras. Pretrunas risinājums ir dzīvotspējīgas valstiskās un tautsaimnieciskās struktūras izveidošana, un šajā procesā nedrīkst aizmirst kultūru.
Latvijas tautsaimnieciskā sistēma vēl nav pilnīgi izveidojusies. Pamazām noskaidrojas atsevišķu nozaru vieta un nozaru struktūra kopumā, katras nozares attīstības iespējas. Tautsaimniecības nozaru struktūrā kultūra ir perspektīva nozare, kas dod gan tiešu, gan netiešu ieguldījumu Latvijas tautsaimniecībā. No otras puses, kultūra nevar attīstīties bez attīstības rūpniecībā un privāto pakalpojumu sektorā.
Kultūras tiešo ieguldījumu raksturo vairāki rādītāji: nacionālā bagātība, kas atrodas kultūras nozares pārraudzībā, nozarē saražotais IKP, nozarē nodarbināto skaits, nozares produkcija vērtības un naturālā izteiksmē, nozares līdzdalība ārējā tirdzniecībā, nozares nozīme investīciju (vai ekonomiskā potenciāla veidošanas) ziņā.
Statistiskās uzskaites nepilnību dēļ (no visiem novērtējumiem) pagaidām iespējams tikai aptuveni novērtēt nacionālo bagātību, kas atrodas kultūras nozares pārraudzībā (1.1.tabula).
1.1. tabula
Kultūras nozarē uzturētās nacionālās bagātības
uzskaitāmās daļas aptuvens empīrisks novērtējums
| Kultūras priekšmeti | Dau- | Pieņemtā | Kopējā |
| dzums | vienības | aprēķinātā | |
| vidējā | vērtība, | ||
| cena, Ls | milj. Ls | ||
| Valsts un pašvaldību muzeju | 4.5 milj. muzeju | 12 610.0 | |
| krājumi | priekšmetu | ||
| no tiem, nosacītā sadalīj. pa cenu grupām | 1.0 milj. | 10 | 10 |
| 1.0 milj. | 100 | 100 | |
| 1.5 milj. | 1 000 | 1 500 | |
| 0.9 milj. | 5 000 | 4 500 | |
| 0.07 milj. | 50 000 | 3 500 | |
| 0.03 milj. | 100 000 | 3 000 | |
| Bibliotēku fondi: | 19.5 milj. | 24.0 | |
| parasti sējumi | 19.0 | 1 | 19.0 |
| retumi un rokraksti | 0.5 | 10 | 5.0 |
| Tautas tērpi un etnogrāfiskas rotas | 99.6 tūkst. | 21.2 | |
| pašdarbības kolektīvos (66,4 tūkst. | |||
| dalībnieki, 1/2 no tiem 2 tērpi | |||
| katram un 1/2 - 1 tērps katram): | |||
| tai skaitā mazvērtīgi tautas tērpi | 31.5 tūkst. | 120 | 3.8 |
| un rotas (atbilst koristu skaitam) | |||
| vidējas vērtības tautas tērpi (viens | 66.6 tūkst. | 250 | 16.6 |
| katram dalībniekam) | |||
| īpaši vērtīgi tautas tērpi un rotas | 1.5 tūkst | 500 | 0.8 |
| Mūzikas instrumenti | 0.11 | ||
| pūtēju orķestros (profesionālajos | |||
| un amatieru) | 1 266 | 100 | 0.1 |
| simfoniskos orķestros un | |||
| muzikālajos teātros | 177 | 100 | 0.01 |
| Mākslas darbi pie māksliniekiem | 10.44 tūkst. | 100 | 1.0 |
| (1044 mākslinieku savienības biedri, | |||
| 10 mākslas priekšmeti darbnīcās) | |||
| Arhitektūras un mākslas pieminekļi | 5 778 | 1 449.7 |
| Kopā kultūras nozarē | 14 106.01 | ||
|
Dati: LZA Ekonomikas institūta pētījums "Kultūras sektora tautsaimnieciskā nozīmīguma novērtējums", Rīga, 1998, 14.lpp. Kultūras netiešo ieguldījumu parasti analizē vairākos aspektos: ekonomiskās attīstības palielināšanās citās nozarēs, nodarbinātība, darba spēka kvalitāte, reģionālā attīstība. Visa kultūrai izlietotā nauda galu galā atgriežas atpakaļ tautsaimniecībā. Atrodoties kultūras nozares rīcībā, tā dod iespēju radīt specifisko kultūras produktu ar spēcīgu ilglaicīgu netiešu nemateriālu ietekmi tautsaimniecībā. Kultūras nozarē iesaistītās finanses atgriežas tautsaimniecībā pa diviem ceļiem. Daļa nonāk valsts un pašvaldību budžetos kā nodokļu maksājumi, daļa tiek iztērēta materiālo vērtību iegādei (iestādes un personīgām vajadzībām). Tā kā kultūras aktivitātes ir saistītas ar apmeklētājiem, tās rosina apmeklētājus papildus tērēt, iegādāties preces, un arī šī nauda nonāk tautsaimniecībā. Pēc LZA Ekonomikas institūta pētījumiem, katrs kultūrā ieguldītais lats ierosina tautsaimniecības apritei 1.4 latus. Vislielāko ieguldījumu tautsaimniecībā dod tradicionālā kultūra (1.7. zīmējums) - katrs ieguldītais lats ierosina apritei 2.14 latus. 1.7. zīmējums Kultūras nozares finansu ieguldījums Latvijas tautsaimniecībā (aprēķina, tūkst. Ls) Dati: LZA Ekonomikas institūta pētījums "Kultūras sektora tautsaimnieciskā nozīmīguma novērtējums", Rīga, 1998, 20.lpp. Kultūras nozares multiplikatīvais efekts visvairāk skar pakalpojumu un pārtikas ražošanas nozares (1.8. zīmējums). 1.8. zīmējums Kultūras nozarē strādājošo kopējā patēriņa izdevumi un kultūras iestāžu apmeklētāju papildu izdevumi sadalījumā pa tautsaimniecības nozarēm (aprēķina, tūkst. Ls) Dati: LZA Ekonomikas institūta pētījums "Kultūras sektora tautsaimnieciskā nozīmīguma novērtējums", Rīga, 1998, 23.,25.lpp. Kultūras sektoram ir raksturīga daudzveidīga savstarpēja saistība starp kultūras dzīvi (kultūras iestādēm: teātriem, muzejiem, mākslas centriem, bibliotēkām, vēsturiskām vietām pilsētās un laukos, mākslas un mūzikas skolām utt.) un kultūras ekonomiku (mūzikas, mākslas, literatūras un mākslas tirgiem; mūzikas, filmu, video producēšanu, televīziju; fotogrāfiju, dizainu, vizuālo un sarīkojumu mākslu, arhitektūru, amatniecību, kultūras pieminekļu aizsardzību, tūrismu). Šādā kontekstā kultūra var nozīmīgi ietekmēt nodarbinātību. Pati kultūra nav tikai sabiedriska nodarbošanās, kas rada papildu vērtības. Tā aizvien vairāk kļūst par privātu uzņēmējdarbību ar ievērojami augošu potenciālu. Bez tam tā piesaista uzņēmējdarbību sev apkārt, tā radot jaunas kvalitatīvas darba vietas, sekmējot reģionālās un vietējās ekonomikas radošu, novatorisku, efektīvu attīstību. Kultūras ieguldījums bezdarba samazināšanā tiek uzskatīts par galveno tās attīstības blakusefektu. Otrs ne mazāk svarīgs blakusefekts ir darba spēka kvalitātes uzlabojums. Kultūra, kas integrēta dziļi sabiedrībā un ir plaši pieejama, attīsta indivīdā vairākas pozitīvas īpašības: gatavību pārmaiņām, tieksmi pēc inovācijas, iniciatīvu, enerģiju un prasmi to lietderīgi izmantot, neatkarību, pašpārliecību un rīcības noteiktību, pašpaļāvību, vēlēšanos riskēt un uzņemties atbildību. Latvijā, it īpaši laukos, pašlaik ir svarīgi panākt, lai veidotos vairāk kvalitatīvu uzņēmēju - potenciālo mazo un vidējo uzņēmumu vadītāju. Nodarbinātības un citi aspekti (sociāli- ekonomiskās vides sakārtošana, vietu tēla veidošana, kvalitatīvas un radošas brīvā laika pavadīšanas iespēju radīšana) nosaka kultūras nozīmi reģionālās attīstības veicināšanā. Latvijā kultūras tautsaimnieciskā nozīme daļēji tiek ņemta vērā. Tautsaimniecības attīstības stratēģiskajos dokumentos ir liktas lielas cerības uz tādām nozarēm, kuru attīstība nav iedomājama bez kultūras (tūrisms, zinātņietilpīgās nozares). Kultūra ir pieminēta arī Latvijas Lauku attīstības programmā. Tomēr pašas kultūras nozares attīstības stratēģijas jautājumi palikuši novārtā. Šī nepilnība jālabo, jo arī kultūra, tāpat kā citas nozares, pārdzīvo pārkārtošanās grūtības. Bez vadības un speciālas valsts politikas kultūras jomā tirgus ekonomikas, globalizācijas un internacionalizācijas negatīvā ietekme var pārspēt pozitīvo, draudot ar nacionālās kultūras elementu izzušanu, un citām neatgriezeniskām sekām. Latvijā vēl tikai veidojas līdzsvarota kultūrsituācija, to iespaido gan tautsaimniecības attīstības līmenis, gan valsts kultūrpolitika un tās realizācija, gan atsevišķu kultūras nozaru attīstības nosacījumu maiņa. Vērojamas gan pozitīvas, gan negatīvas iezīmes. Neskatoties uz grūtajiem laikiem, kopš 1990. gada tiek īstenoti jauni, vērienīgi kultūras projekti - veidojas privāti apgādi, kas izdod vērtīgu literatūru, pieaudzis mākslas izstāžu skaits, veikta daļēja Operas nama rekonstrukcija, ieskicēts projekts Nacionālās bibliotēkas kompleksa celtniecībai, attīstās pašvaldību tautas bibliotēku tīkls, tiek atjaunotas Rīgas un citu pilsētu vēsturiskās celtnes, un kultūras pieminekļi, strauji attīstās mūzikas industrija. Kultūra ir nacionāla vērtība, kas mazām valstīm palīdz saglabāt identitāti. Bet, no otras puses, tieši mazām valstīm to ierobežotā tirgus dēļ nepieciešama iekļaušanās globālos kultūras procesos. Latvija šajā ziņā guvusi labus panākumus. Vairāki latviešu mākslinieki darbojas ārvalstīs un ir kļuvuši par pasaules un Eiropas mēroga zvaigznēm, savukārt izcili citu valstu mākslinieki viesojas Latvijā. Kultūras nozaru iespējas iekļauties globālajos kultūras procesos nav vienādas, vissekmīgāk tas izdodas mūzikā un vizuālajā mākslā. Arī bibliotēku attīstība ir jāvērtē ne tikai nacionālā, bet arī pārnacionālā, globālā aspektā. Pozitīvas pārmaiņas notikušas kultūrizglītības jomā. Augstskolās ir padziļinātas humanitāro zinātņu programmas, nodibinātas jaunas augstskolas, tostarp Latvijas Kultūras akadēmija (1990. gadā). Pētniecības darbs humanitārajās zinātnēs tiek veikts augstskolās. Arvien drošāk kultūrā sevi piesaka jaunā paaudze. Daudzi kultūras darbinieki ir izglītojušies Rietumeiropas un Ziemeļvalstu izglītības centros, notiek jaunu eiropeiskās un nacionālās identitātes apliecinājumu meklējumi. Iezīmējas jaunas iespējas kultūras finansēšanā - tajā iesaistās nevalstiski veidojumi - Latvijas Kultūras fonds, Jaunā akadēmija, atjaunotā Rīgas Latviešu biedrība u.c. - un starptautiskas institūcijas - Sorosa fonds, Gētes institūts, Lielbritānijas padome, Dānijas Kultūras institūts, Ziemeļvalstu Informācijas birojs u.c. No otras puses, deviņdesmito gadu politiskie un ekonomiskie satricinājumi negatīvi ietekmējuši sociālo vidi, kas traucē kultūras attīstību. Raksturīgākās iezīmes ir sabiedrības sociālā noslāņošanās, nabadzības paplašināšanās un padziļināšanās. Abi procesi veicina kultūras produkta patērētāja un kultūras ietekmes objekta izzušanu, vispārcilvēcisko un morāles vērtību nozīmes samazināšanos. Sabiedrībā vērojama politiskās un sabiedriskās aktivitātes pazemināšanās, kas apdraud amatiermākslas pastāvēšanu. Kultūras attīstību ietekmē Latvijas sarežģītā etniskā un konfesionālā struktūra. Multinacionālās kultūras vides attīstība prasa lielākus līdzekļus nekā mononacionālās kultūras attīstība. Vispārējās liberalizācijas apstākļos Latvijā pieaugusi Rietumu un Austrumu komerciālās masu kultūras ietekme. Mākslas izstādes un literārie darbi liecina par elitārisma tendenču pastiprināšanos Latvijā. Vairākiem sociāliem grupējumiem, piemēram, jaunatnei, pensionāriem un lauku iedzīvotājiem, kultūras vērtības kļūst grūti pieejamas. Latvija var lepoties ar savas kultūras bagātību, bet tai arī jārūpējas, lai to nepazaudētu. Kultūras attīstībai nepieciešami savi garīgie un materiālie nosacījumi, un pēdējie ietekmē pirmos līdz ar tautsaimniecības attīstību kultūras finansēšanas iespējas uzlabosies, bet tirgus saimniecības apstākļos tās nekad nebūs tik viegli īstenojamas kā sociālistiskā valstī ar slēgtu tautsaimniecību. Pieaugot globālajai konkurencei, kultūras pastāvēšanas nosacījumi saasināsies, savukārt, apzinoties kultūras nozīmi, pieaugs nepieciešamība atvēlēt tai vairāk līdzekļu, tas ir, efektīvāk pārdalīt līdzekļus starp materiālās ražošanas nozarēm un sabiedrisko pakalpojumu nozarēm. Sakarā ar to radīsies nepieciešamība mainīt kultūras finansēšanas kārtību, ieviešot jaunas, uz tirgus attiecībām balstītas finansēšanas shēmas un daudzkanālu finansēšanu, paaugstinot finansu izlietojuma efektivitāti un mainot nozares struktūru un darbības formas. Nacionālās programmas "Kultūra" izveide ir likumsakarīgs un nepieciešams posms Kultūras ministrijas stratēģijā, kuras īstenošanas gaitā jau veikti vairāki nozīmīgi pasākumi. Pirmkārt, izstrādātas "Latvijas valsts kultūrpolitikas pamatnostādnes", kas 1995. gada 28. septembrī tika akceptētas Saeimā kā konceptuāls dokuments un kultūrpolitikas teorētiskā bāze. Otrkārt, Eiropas Padomes projekta ietvaros sagatavots un 1998. gada 7. aprīlī Strasbūrā aizstāvēts "Ziņojums par kultūrpolitiku Latvijā", kas ietver situācijas raksturojumu un analīzi, problēmu uzstādījumu. Paralēli Latvijas ziņojumam savu Latvijas kultūrpolitikas un kultūras situācijas vērtējumu snieguši Eiropas Padomes eksperti. Viņi iesaka saskaņā ar Latvijas valsts kultūrpolitikas pamatnostādnēm izveidot realitātei pietuvinātu ilgtermiņa programmu, kas kalpotu par pamatu prioritāšu izvēlei un konkrētai rīcībai. Pašlaik ir izveidojusies neatbilstība starp valsts kultūrpolitikas pamatnostādnēs formulētajiem Latvijas kultūrpolitikas principiem un to īstenošanu. Tam ir vairāki iemesli:
Ar Latvijas neatkarības atgūšanu saistīts lielo pārmaiņu procesā un pārejā uz tirgus saimniecību daudzas pārmaiņas kultūras jomā notikušas haotiski, veiktas nepārdomāti, bez kopsakara izvērtējuma vai arī atstātas pašplūsmai. Tas negatīvi ietekmējis tādas kultūras nozares kā literatūra un grāmatniecība, filmu nozare un kultūras periodika. Kultūras apakšnozarēs ir uzkrājušās problēmas, kas saistītas ar likumdošanu, izglītību, informācijas apriti, sociālo aizsardzību, infrastruktūru, finansēšanu u.c. (skat. apakšnozaru programmas). To risinājumam jābūt kompleksam un plānveidīgam, ar stratēģiski pamatotu ievirzi un iespējamo seku novērtējumu. Pamatojoties uz konkrētu stāvokļa analīzi, ir svarīgi izvirzīt mērķus un noteikt prioritātes, lai ierobežoto finansu resursu apstākļos nodrošinātu kultūrai ne tikai izdzīvošanas, bet arī attīstības iespējas. 1.3. Nacionālās programmas "Kultūra" nozīmīgums Nacionālā programma "Kultūra" ir Latvijas valsts kultūrpolitikas plānošanas un īstenošanas mehānisms. Nacionālā programma "Kultūra" ir ne tikai atsevišķās kultūras sfēras plānošanas un attīstības instruments. Tās īstenošana ir būtiski nepieciešama Latvijas sabiedrības un visas tautsaimniecības attīstībai, un Latvijas virzībai uz ES: 1) kultūra ir viens no svarīgākajiem dzīves kvalitātes rādītājiem (kritērijiem) attiecībā uz sabiedrību kopumā, uz atsevišķu indivīdu un vidi. Kultūras faktors ir neatsverams daudzu sociālu, morālu un politisku problēmu risināšanā. Kultūras labvēlīgā ietekme izpaužas ilgstoša, mērķtiecīgi veidota procesa rezultātā, tas nav panākams ar atsevišķiem kampaņas pasākumiem. Kultūras nekopšana un ignorēšana ātri rada negatīvas, grūti likvidējamas sekas, 2) kultūrai ir izšķiroša loma nacionālās identitātes, jo īpaši latviešu valodas saglabāšanā, bet vienlaicīgi kultūra ir tā pārnacionālā valoda, ko vislabāk saprot un novērtē pasaulē. Tāpēc kultūra ir neatsverams līdzeklis Latvijas tēla radīšanā un starpvalstu sakaru veidošanā un nostiprināšanā arī ar kultūru tieši nesaistītās sfērās - ekonomikā, politikā, finansēs utt., 3) novērtējot kultūru, jāņem vērā tās tiešā un netiešā, garīgā un arī tautsaimnieciskā atdeve - darba vietas un ienākumi, augstāka darbaspēka kvalitāte, kultūras tūrisma un reģionālās attīstības bāze, 4) kultūra ir sabiedrību saliedējošs spēks, kas sekmē pilsoniskās sabiedrības veidošanos un nostiprināšanos, tā kalpo par sabiedrības integrācijas programmu pamatu.
2. Nacionālas programmas "Kultūra" mērķi un uzdevumi Nacionālā programma "Kultūra" attīsta un konkretizē "Latvijas Valsts kultūrpolitikas pamatnostādnēs" formulētos kultūrpolitikas uzdevumus:
Nacionālās programmas "Kultūra" mērķis ir veicināt kultūras attīstību un tās iekļaušanos valsts sociāli ekonomiskajā sistēmā:
Programmas uzdevums ir stiprināt kultūras pozitīvo ietekmi un novērst kultūras izmantošanu nacionālisma un šovinisma ideju popularizēšanai, nacionālā naida kurināšanai un etnisko konfliktu izraisīšanai. Programma ievēro sabiedrības etnisko, rasu un reliģisko grupu kultūras prasības, dažādu kultūru brīvību un savstarpējas bagātināšanās nepieciešamību. Programma paredz pasākumus kultūras un kultūrindustrijas - mūzikas, izdevējdarbības, filmindustrijas un cita veida uz kultūras pamata radītas industriālas ražošanas - savstarpējo attiecību veidošanā. Kultūrindustrijas veidošanās pagaidām notiek stihiski, šis process netiek pētīts un analizēts, nav noteiktas kultūras nozares attieksme pret kultūrindustrijas attīstību. Programma risina kultūrindustrijas attīstības stratēģijas jautājumus, kuros ietilpst arī starptautiskā sadarbība kultūras industrijas jomā, jo globalizācijas ietekmē tikai dažām valstīm varēs būt spēcīga kultūras industrija.
3. Nacionālās programmas "Kultūra" darbības galvenie virzieni Nacionālajā programmā "Kultūra" ievēroti "Latvijas valsts kultūrpolitikas pamatnostādnēs" ietvertie kultūrpolitikas īstenošanas mehānisma pamatprincipi:
Nacionālās programmas "Kultūra" darbības virzienus nosaka tās mērķi un uzdevumi. Programmas darbībai jāsekmē visas kultūras nozares un tās apakšnozaru mērķu sasniegšana, kultūras pastāvēšanas nosacījumu uzlabošana un efektivitātes paaugstināšana. Nacionālā programma "Kultūra" paredz darbību šādos virzienos:
1. Nozares institucionālās bāzes veidošana ietver pasākumus kultūras un tās apakšnozaru politikas, struktūras un likumdošanas pilnīgošanai, finansēšanas mehānisma uzlabošanai . 1.1. Nozares politikas formulēšana un aktualizēšana Kultūras institucionālās bāzes pamats ir nozares politika līdz ar atbilstošu likumdošanu un realizācijas mehānismu. Nozares politikas pamats ir kultūrpolitikas pamatnostādnes, kas attīstītas un pilnveidotas atbilstoši laikam, valdības deklarācijas rīcības programma un konkrēti normatīvie dokumenti. Programma nosaka šādas vispārējas kultūras nozares attīstības prioritātes:
1.2. Nozares struktūras pilnīgošana (pilnveidošana) Latvijas kultūras politikai jāiekļaujas valsts ekonomiskajā, sociālajā un politiskajā sistēmā tā, lai kultūras vērtības tiktu apzināti un mērķtiecīgi izmantotas valsts attīstībā. Kultūras politikai jākļūst vērienīgākai, tā jāveido ne tikai ar savas nozares, bet arī nacionālo, reģionālo un globālu perspektīvu. Lai neradītu pārāk detalizētas un neelastīgas likuma normas, Nacionālā programma "Kultūra" akcentē kultūrpolitikas ieviešanas mehānisma nozīmi. Šī mehānisma pamats ir piemērota nozares struktūra. Galvenie jaunievedumi nozares struktūrā: I. Valdības (Kultūras ministrijas) līmenī:
No nozaru pieejas jāpāriet uz vispārīgu pieeju kultūras nozares pārvaldībā, lai ierobežotu resursu apstākļos sekmīgāk realizētu nozares prioritātes, piemēram, izdarot korekcijas atsevišķu nozaru attīstībā, apvienojot spēkus un sadarbojoties ar citām nozarēm (izglītību, tautsaimniecību), pašvaldībām un ārvalstīm. Šo uzdevumu veikšana ir jaunizveidotā Kultūras ministrijas Stratēģijas departamenta kompetence. Lai veicinātu kultūras integrāciju valsts tautsaimniecības sistēmā un nodrošinātu pastāvīgu kultūras klātbūtni valsts lietu kārtošanā, ieteicams iedibināt speciālistu dienestus (nodaļas, padomes, atsevišķus speciālistus utt.) Ārlietu ministrijas struktūrvienībās un citās institūcijās, kas plāno un lemj valsts attīstības jautājumus (Latvijas Attīstības aģentūrā, reģionālās attīstības padomēs u.c.) Padomdevēju un starpnieku institūciju (Nacionālā kultūras padome, Kultūrkapitāla fonds, citu padomju) darbība nepārtraukti jāpilnveido, lai nodrošinātu kultūras mērķu sasniegšanu. Apakšnozaru struktūras aspektā galvenie pilnīgošanas virzieni ir:
Statistiskās uzskaites un nozares attīstības analīzes uzlabošana, piedalīšanās starptautiski saskaņotas kultūras statistiskās uzskaites un analīzes sistēmas veidošanā nepieciešama, lai nodrošinātu kultūras nozares attīstības novērošanu un analīzi. Programma paredz kultūras kā tautsaimniecības nozares identificēšanu un nozares analīzei nepieciešamo statistikas datu noteikšanu. Kopš 1995. gada Kultūras ministrijas Informācijas un analīzes nodaļā tiek veidota informatīvā datu bāze par Latvijas kultūrā notiekošajiem procesiem, kas dod iespēju saskatīt tendences šo procesu virzībā un līdz ar to veido objektīvu pamatu kultūras tālākās attīstības prognozēšanai un plānošanai. Programma paredz nostiprināt un attīstīt šo struktūru un izveidot uz tās bāzes kultūras nozares informācijas, novērošanas un analīzes sistēmu, kas ietver šādus blokus (EP ekspertu ieteikums):
II. Reģionālā un pašvaldību līmenī:
Reģionālās reformas gaitā Latvijā paredzēts izveidot spēcīgas reģionu pašvaldības, kas spēs pilnībā pārņemt daļu pašreizējo valsts funkciju kultūras jomā. Tās ir:
Funkciju pārņemšana jānostiprina likumā "Par pašvaldībām" un turpmāk jāparedz atbilstošs finansējums. Valsts reģionālā kultūras dienesta uzdevums ir uzraudzīt un veicināt valsts kultūrpolitikas īstenošanu un nodrošināt saikni starp Kultūras ministriju un pašvaldībām. Valsts kultūras inspektoru dienesta pārveide ir saistīta ar pārmaiņām pašvaldību sistēmā administratīvās reformas un pašvaldību sadarbības ietekmē. Programmas sagatavošanas laikā nebija zināmi reformas rezultāti un sakarā ar tiem nepieciešamie pārveidojumi valsts kultūras dienesta struktūrā. Neatkarīgi no reformas rezultātiem ir nepieciešams veidot (lielākas par rajonu) reģionālās struktūras, kas varētu pārstāvēt kultūru starptautiskās sadarbības valsts mēroga projektos, piemēram, reģionālās kultūras padomes, kas ietver kultūras institūciju un pašvaldību pārstāvjus (Madonas piemērs). Valsts interesēs ir reformu gaitā kontrolēt reģionālo un pašvaldību kultūras dienestu veidošanos un to darba apstākļus un nepieciešamības gadījumā sniegt palīdzību. Šīs darbības ietilpst KM Reģionālās attīstības departamenta kompetencē. Starpnozaru pakalpojumu un koordinācijas dienestu izveidošanas mērķis ir atvieglot kultūras darbu un uzlabot infrastruktūras izmantošanu, sniedzot pakalpojumus un nodrošinot tādu institūciju pastāvēšanu, kuru uzturēšana nav vienas teritorijas, nozares vai institūcijas spēkos, koordinēt un kooperēt kultūras norises nozaru un teritoriālajā aspektā. Programma paredz, ka starpnozaru pakalpojumu un koordinācijas dienesti būs privātās uzņēmējdarbības sfēra, bet programmas pirmajos gados nepieciešami pasākumi šādu uzņēmumu veidošanās procesa uzsākšanai. Nevalstiskās organizācijas ir lēts un efektīvs līdzeklis kultūras demokrātijas principu nostiprināšanai. Izmantojot līdzdalības un personiskās ieinteresētības mehānismu un pamatojoties uz to, ka nevalstiskām organizācijām ir iespējas piesaistīt papildu līdzekļus, tās var ievirzīt darbībā tādās jomās, kuras nav pa spēkam valdībai un pašvaldībām. Tādas ir rūpes par kultūras pieejamību, mazāk privileģēto sociālo grupu interešu aizsardzība utt. Pašlaik ir aktīvāka Rīgā nevalstisko organizāciju darbība kultūras jomā, bet lauku teritorijās tā gandrīz nav jūtama. Lai sekmētu nevalstisko organizāciju veidošanos un aktivizētu to darbību laukos un mazpilsētā, Kultūras ministrijā tuvāko trīs gadu laikā jāieceļ par to atbildīgs darbinieks, šobrīd to nevar izdarīt, jo tikai pēc reģionu administratīvi teritoriālās reformas būs zināmas reģionu funkcijas un to īstenošanas mehānismi. III. Kultūras apakšnozaru struktūrā:
Koordinējošo institūciju uzdevums ir saskaņot pasākumus, kas pārsniedz vienas nozares, pakšnozares, teritorijas vai kultūras iestādes ietvarus. Koordinējošo institūciju ieviešana dažādos līmeņos ir nepieciešama, lai novērstu kultūras apakšnozaru un kultūras institūciju norobežošanos, veicinātu nacionālo kultūru savstarpēju bagātināšanos, resursu mobilizāciju un labāku izlietošanu izmantojot lielu ekonomisko veidojumu priekšrocības. Sabiedrības integrācijas aspektā ir svarīgi izveidot koordinējošas institūcijas, kas veicina nacionālo kultūru (vadītāju) savstarpējo sapratni, sadarbību un saskaņu. Koordinējošām institūcijām nav obligāti jābūt valsts vai pašvaldību institūcijām, bet valstij un pašvaldībām ir jārūpējas, lai šādas institūcijas tiktu izveidotas un varētu pastāvēt. Profesionālā līmeņa uzturēšanā palielinās padomdevēju un starpnieku institūciju loma. Nozares mērķu īstenošanas aspektā ir svarīgi novērst subjektīvisma un priekšrocību ietekmi. To izdarīt mazā valstī ir īpaši grūti, jo speciālistu loks ir neliels, un speciālisti tieši vai netieši nonāk interešu konfliktā. Tāpēc ieteicams ieviest ārvalstu ekspertu dienestu, nodrošinot tā darba kontroli. Kvalitātes nodrošināšanas mehānisma un institūciju izveidošana un nostiprināšana visās kultūras apakšnozarēs ir nepieciešama, lai uzturētu kultūras procesa profesionalitāti, ierobežotu brīvā tirgus negatīvo ietekmi uz kultūras kvalitāti, nodrošinātu kultūras institūciju iedalījumu pēc nozīmības un noteiktu tām atbilstošu finansēšanas kārtību, rūpētos par nekomerciālu kultūras projektu atbalstīšanu un ierobežoto finansu resursu efektīvu sadali. Kultūras ministrijai jāuzrauga un jāveicina inovāciju process kultūrā - jāparedz, ka jaunievedumu (jaunas tehnoloģijas, jauns izpildījuma veids, netradicionālas interpretācijas) atbalstam tiek izlietota noteikta daļa no kultūrai atvēlēto valsts līdzekļu finansu iespējām, un jāveicina pašvaldību interese par inovāciju projektiem kultūrā. Likumības uzraudzības (nodrošināšanas) institūciju pārziņā ir autortiesību aizstāvības, pirātisma novēršanas un citi ar kultūras produkta kvalitātes uzturēšanu saistīti jautājumi. Programmās noteikti izglītības kā institucionālās bāzes nostiprināšanas pasākumi, paredzot arī speciālu nozarei atbilstošas uzņēmējdarbības iemaņu un jaunu tehnoloģiju apgūšanas iespējas, kā arī turpināt kultūrmenedžmenta mācīšanu, un veicināt citu pieprasītu specialitāšu apguvi. Zinātnes un pētniecības sistēmas izveidošana un nostiprināšana ir nepieciešama, lai vispusīgi novērtētu esošo kultūrsituāciju, veicinātu kultūras attīstību un sekmētu inovācijas procesu kā arī novērstu sekas, kas var rasties ārējo procesu iespaidā (vienkāršošana, internacionalizācija, multikulturālisms, talantu migrācija, globālā tirgus un resursu pieejamība, starpvalstu sakaru nostiprināšanās). Programmā noteikti galvenie pētījumu virzieni katrā kultūras apakšnozarē. Jaunu apkalpojošo un pakalpojumu institūciju izveidošanas mērķis ir efektīvāk un lētāk organizēt kultūras procesu vairākos virzienos: kultūras "produkta" tirgus veidošana, infrastruktūras uzturēšana, nodarbinātība un resursu sagāde. Programmas mērķis ir nodrošināt mehānismu, lai panāktu privātuzņēmumu veidošanos šajā jomā. Programma paredz pasākumus sabiedrisko un nevalstisko institūciju (neatkarīgā sektora) lomas palielināšanai kultūras nozares un apakšnozaru pārvaldībā un attīstībā. Latvijā darbojas vienpadsmit radošās savienības, tās visas apvieno Radošo savienību padome. Izveidoti vairāki fondi, un paredzēts, ka, pārejot uz kultūras vairākkanālu finansēšanas kārtību, mērķa fondu veidošanās varētu paplašināties. Programma paredz ar kultūru saistīto bezpeļņas sabiedrisko un nevalstisko organizāciju darbības atvieglošanai palielināt sabiedrisko un nevalstisko institūciju tiesības uz valsts finansējumu profesionālu jautājumu risināšanai, Nevalstisku kultūras institūciju veidošanās (neatkarīgie teātri, muzeji, koncerttrupas, koncertapvienības utt.) ir jauns process, kas pagaidām netiek pietiekoši vadīts un atbalstīts. Nacionālā programma paredz, ka neatkarīgās kultūras institūcijas ir pilnvērtīgas valsts institūciju partneres, kas bauda vienādas tiesības visās ar kultūras darbu saistītajās jomās. Tās var pretendēt uz valsts finansējumu, saņemt ziedojumus un nodokļu atvieglojumus un nodrošināt māksliniekiem sociālās garantijas. Lai uzlabotu kultūras institūciju darbības apstākļus, programma pieļauj kultūras iestāžu pārveidošanu valsts vai privātajos uzņēmumos. Tas var uzlabot valsts un privātā sektora sadarbību kultūras finansēšanā un nodrošināt kultūras iestādēm tiesības rīkoties ar to rīcībā nodotiem un pašu iniciatīvas rezultātā iegūtiem līdzekļiem, elastīgāk piemēroties mainīgiem ekonomiskajiem apstākļiem, veidot uzkrājumus investīcijām un lielu projektu īstenošanai. Kultūras institūciju darbības formas paredzēts pārveidot pakāpeniski un ļoti uzmanīgi, vairākos posmos, ievērojot visas kultūras nozares un katras kultūras institūcijas īpatnības, nepieciešamību mainīt darbības formu un iespējas darboties jaunajā formā. Paredzēts pie Kultūras ministrijas izveidot darba grupas kultūras institūciju pārveidošanai piemērotākā formā (2000.g.). Principiālie kultūras institūciju darbības formas pārveidošanas posmi ir:
Izšķiroties par kultūras iestāžu darbības formas maiņu, jāievēro divi obligāti nosacījumi:
1.3. Likumdošanas pilnīgošana, sociālā aizsardzība Galvenie likumdošanas pilnīgošanas pasākumi:
1.4. Finansēšanas pilnīgošana Kultūras finansēšanā paredzēti šādi jaunievedumi:
Nacionālā programma "Kultūra" nosaka, ka kultūras finansējuma apjoms attiecībā pret IKP nedrīkst samazināties, un paredz dažādot finansējuma tehnoloģiju. Programmu princips kultūras finansu vajadzības noteikšanā ļauj labāk pamatot līdzekļu nepieciešamību un precīzāk atbalstīt prioritātes, bet tajā slēpjas briesmas pazaudēt nozares kopsakaru. Paredzēts palielināt citu finansēšanas avotu līdzdalību kultūras finansēšanā, veicināt finansēšanas avotu un tehnoloģiju (tiešais un netiešais finansējums, finansējums konkursa kārtībā u.c.) dažādošanu. Šajā nolūkā ieteikts pastiprināt Kultūrkapitāla fonda darbību papildu līdzekļu piesaistīšanā, neaizliegt, bet veicināt speciālu mērķu (projektu) atbalsta fondu izveidošanu un sakārtot likumdošanu, lai atvieglotu ziedojumu kārtību. Kultūras integrācija tautsaimniecībā veicinās kultūras projektu pastarpinātu finansēšanu citu projektu ietvaros, bet, lai to panāktu, kultūras darba organizatoriem aktīvāk jāsadarbojas ar pašvaldībām. Citu finansēšanas avotu lielāka līdzdalība nekādā ziņā nenozīmē valsts un pašvaldību finansējuma samazināšanu, bet gan valsts, pašvaldību un privāto līdzekļu saskanīgu izmantošanu. Finansēšanas sistēmas pamatā jāliek tiešās un netiešās finansēšanas līdzsvarošana. Valsts un pašvaldību tieši piešķirtie līdzekļi pēc iespējas būtu izmantojami kultūrprocesa vajadzībām, bet infrastruktūras uzturēšanai, atbilstoši valsts kultūrpolitikas nostādnēm atkarībā no konkrētās situācijas un objektīvajām iespējām var piesaistīt citus līdzekļus. Šajā sakarā paredzēts:
Konkurences elementu ieviešana valsts finansējuma sadalē ir nepieciešama, lai efektīvāk izmantotu trūcīgos resursus un nodrošinātu kultūras produkta kvalitāti. Jaunās kultūras finansēšanas shēmas būtība ir:
Programma paredz palielināt Kultūrkapitāla fonda lomu kultūras finansēšanā un vienlaicīgi veikt pasākumus Kultūrkapitāla fonda darbības efektivitātes paaugstināšanai trīs virzienos:
Finansu vadības speciālistu sagatavošanas paplašināšana ir saistīta ar programmu un projektu finansēšanas principu ieviešanu kultūrā. Finansu vadības speciālisti nepieciešami visos līmeņos. Paredzams, ka katrai kultūras iestādei būs grūti uzturēt savu finansu vadības speciālistu, tāpēc šajā jomā savlaicīgi jāveido konsultāciju un pakalpojumu dienesti (sākumā valsts vai pašvaldību, vēlāk privāti), kas apkalpotu vairākas kultūras iestādes. 2. Kultūras produkta izmantošanas efektivitātes paaugstināšana 2.1. Bērni un jaunatne Programmas mērķis ir iesaistīt bērnus un jaunatni kultūras dzīvē, lai viņos veidotos kultūridentitātes apziņa, pašlepnums un pašcieņa, kas sakņojas kopējā darbībā un vietējās kultūras tradīcijās, un lai tādējādi audzinātu nākotnes kultūras produkta patērētāju un līdz ar to - pilnvērtīgu sabiedrības locekli. Bērnu un jaunatnes iesaistīšana visās kultūras apakšprogrammās. Paredzēts dažādot un modernizēt kultūras piedāvājuma paņēmienus, padarīt to bērniem un jaunatnei saprotamu un pieņemamu dažādo piedāvājumu klāstā, ieviest kultūras mācību priekšmetu vispārizglītojošo skolu programmās, izdot bērnu un jauniešu preses izdevumus par kultūras tēmu, paplašināt bērnu un jauniešu jaunrades iespējas. 2.2. Valoda Programmas mērķis ir aktivizēt kultūras resursus nacionālās valodas saglabāšanai, attīstībai, funkcionālās pilnvērtības nodrošināšanai un valodas kultūras nostiprināšanai. Visā programmā, bet īpaši apakšprogrammās "Teātris", "Literatūra" un "Bibliotēkas" paredzēti pasākumi latviešu valodas popularizēšanai, attīstībai un izkopšanai, sabiedrības integrācijai uz latviešu valodas bāzes. Vienlaicīgi programma atzīst citu Latvijā dzīvojošo tautu un etnisko grupu valodas vides pastāvēšanu, kas nodrošina to attīstību, neaizliedz, bet veicina lietošanu un izkopšanu, paredz pasākumus izzūdošo valodu (piemēram, lībiešu valodas) vides uzlabošanai. Lībiešu valodai ir īpaša vērtība, jo tā ir viena no senākām somu ugru valodu grupā. Lībiešu valoda ir nepelnīti noniecināta, kaut arī tā ir neatņemama Latvijas kultūras mantojuma sastāvdaļa. Tādēļ nepieciešams atjaunot un attīstīt lībiešu valodu. Lai to izdarītu, valoda jāiemācās, tajā jāraksta, jārunā un jālasa. Nacionālā programma "Kultūra" var dot priekšlikumus vispārējās izglītības sistēmai par 1ībiešu valodas jautājumiem un veicināt tās atdzimšanu un attīstību kultūrizglītības sistēmā:
2.3. Sabiedrības integrācija Sabiedrības integrācijas aspektā Nacionālās programmas uzdevums ir veicināt visu Latvijā dzīvojošo tautu iespējami pilnvērtīgas kultūrvides veidošanos. Kultūras ministrija piedalās piecu ministriju darba grupā, kas strādā pie sabiedrības integrācijas jautājumiem. Nacionālā programma "Kultūra" atbalsta un papildina Kultūras ministrijas uzdevumus, kas formulēti Sabiedrības integrācijas programmā. Papildus jau realizētajiem pasākumiem Nacionālā programma paredz:
Nacionālās programmas "Kultūra" uzdevums ir saglabāt kultūru daudzveidību un ievērot visu Latvijā dzīvojošo tautu un etnisko grupu kultūras intereses. Šajā aspektā īpaša vieta ir lībiešu kultūrai. Latvijai ir jāatzīst unikālā situācija, ka mazā valstī pastāv divas atšķirīgas, bet līdzvērtīgas tautas ar dažādu valodas bāzi, no kurām viena ir attīstījusies, bet otras attīstība tikusi vardarbīgi liegta. Pareizi vadīts, lībiešu tautas atdzimšanas process veicinātu labskaņu un apmierinātību sabiedrībā, sekmētu patiesāku Latvijas vēstures izpratni un sabiedrības integrāciju. Nacionālā programma "Kultūra" var papildināt mērķprogrammu "Lībieši Latvijā", kuras mērķis ir atjaunot lībiešu kultūru, apzināties lībiešu kultūras nozīmi latviešu kultūras mantojumā, rūpēties par labvēlīgas kultūras vides veidošanu. Atbilstoši pasākumi paredzēti gandrīz visās apakšprogrammās, kas ietver:
2.4. Kultūras popularizēšana un tās nozīmes palielināšana Latvijas tēla veidošanā Nacionālā programma paredz plašus pasākumus kultūras popularizēšanai Latvijā un ārvalstīs, bet šo pasākumu īstenošana prasa ievērojamus finansu līdzekļus un augstāku kultūras infrastruktūras tehnisko līmeni. Latvijas kultūras institūcijām jau izveidojusies laba sadarbība ar ārvalstu kultūras institūcijām un sabiedriskajām organizācijām. Galvenā problēma ir līdzekļu trūkums tās uzturēšanai, līdzdalības maksājumu un dalības maksu segšanai. Programma paredz aktivizēt kultūras institūciju, Latvijas Ārlietu ministrijas, Latvijas institūta un Latvijas Tūrisma attīstības aģentūras sadarbību Latvijas tēla veidošanā. Kultūras nozīmes paaugstināšanai Latvijas tēla veidošanā ir būtiski šādi nosacījumi:
3. Kultūras infrastruktūras attīstība un izmantošanas efektivitātes paaugstināšana Kultūras infrastruktūra ir objektu, nosacījumu un sistēmu kopums, kas nodrošina kultūras procesu (1.9.zīmējums). Plašākā nozīmē kultūras procesu iespaido arī tautsaimniecības infrastruktūras stāvoklis - ceļi, transporta tīkli, sakaru sistēmas, komunālie dienesti, speciālie informācijas un sakaru tīkli, ēkas, būves, iekārtas u.c. Piemēram, labiem ceļiem ir liela nozīme iedzīvotāju dzīves līmeņa paaugstināšanā, tradicionālās Latvijas kultūrvides saglabāšanā un vispār valsts tālākā attīstībā. Kultūras nozares attīstību ietekmē telekomunikāciju izmantošanas iespējas un cenas. Kultūras infrastruktūru nosacīti var sagrupēt 3 daļās: institucionālā, funkcionālā un procesu nodrošinošā infrastruktūra. I. Institucionālā infrastruktūra Institucionālā infrastruktūra pilda kultūras kā tautsaimniecības nozares vadības un pārvaldes funkcijas, vada un virza kultūras procesu. To veido:
1.9. zīmējums Kultūras procesu vadība, pārraudzība un sadarbības struktūra Latvijā 4. Nevalstiskās organizācijas: apmēram 64 nacionālās kultūras un draudzības biedrības, apmēram 50 profesionālās kultūras un mākslas organizācijas, savienības, asociācijas (Latvijas Mākslinieku savienība, Latvijas Komponistu savienība, Latvijas Rakstnieku savienība, Latvijas Aktieru asociācija, Teātra darbinieku savienība u.c.). Problēmas un institucionālās infrastruktūras uzlabošanas pasākumi ir uzrādīti apakšprogrammās un iepriekšējā izklāstā. II. Funkcionālā infrastruktūra Funkcionālā infrastruktūra tieši nodrošina kultūras funkciju. To veido: 1. Valsts kultūras institūcijas:
2. Pašvaldību kultūras institūcijas: 133 mākslas un mūzikas skolas, 3 vidējās kultūrizglītības mācību iestādes, 83 muzeji, 937 bibliotēkas, 595 tautas/kultūras nami, kultūras centri, brīvdabas estrādes, koncertzāles, teātri, izstāžu zāles, galerijas, u.c. 3. Privātās kultūras institūcijas: kultūrizglītības iestādes, muzeji, bibliotēkas, kultūras centri, kultūras nami, filmu studijas, u.c. Esošā kultūras funkcionālā infrastruktūra ir veidojusies pakāpeniski ilgā laika posmā (skat.1.10.zīm.). Kopš deviņdesmito gadu sākuma ir mainījusies atbildība par infrastruktūras uzturēšanu, palielinājusies pašu kultūras institūciju iniciatīvas nozīme, mainījušies finansēšanas apstākļi. Problēmas infrastruktūras sakārtošanā rada īpašumtiesību dažādība. Pašlaik kultūras iestādes darbojas: - valstij piederošā īpašumā; - pašvaldībām piederošā īpašumā; - privātīpašumā. Nepieciešama kultūras infrastruktūras modernizācija, gādājot arī par to, lai infrastruktūra būtu piemērota indivīdiem ar kustību traucējumiem. Kultūras infrastruktūras tehniskais stāvoklis ir slikts, vispār kultūras procesā trūkst moderno tehnoloģiju. Latvijā ir samērā augstas kultūras infrastruktūras izmaksas. Sakarā ar kultūras iestāžu slikto inženiertehnisko stāvokli lielus līdzekļus prasa maksa par telpu apkuri. Vērojama dažādu kultūras nozaru un to infrastruktūru savstarpēja nošķirtība: tās pastāv un attīstās katra par sevi, ar savu materiālo bāzi. Kultūras iestāžu izvietojumu turpmākajos gados ietekmēs administratīvi teritoriālā reforma. Šie pārkārtojumi palielinās katras pašvaldības atbildību kultūras iestāžu tīkla pilnveidē, kultūras infrastruktūras saglabāšanā un attīstīšanā. Tādēļ prognozējama esošo kultūras iestāžu pārprofilēšana un to funkciju dažādošana. Konkrētas problēmas un funkcionālās infrastruktūras sakārtošanas pasākumi ir uzrādīti apakšprogrammās. III. Kultūras procesu nodrošinošā infrastruktūra Kultūras procesu nodrošinošo infrastruktūru veido valsts, pašvaldību un nevalstiski uzņēmumi un iestādes, kas nodrošina, veicina un atvieglo kultūras procesa norisi (konsultāciju un apmācības iespējas, informācijas pakalpojumi, finansu pakalpojumi, tirgus, reklāmas pakalpojumi kultūrai u.c.). To veido:
Kultūras funkcionālā infrastruktūra un kultūras procesu nodrošinošā infrastruktūra kopā veido kultūras fizisko infrastruktūru. Kultūra nevar pastāvēt bez fiziskās infrastruktūras, bet kultūras infrastruktūras optimālais izmantošanas režīms parasti pārsniedz kultūras vajadzības. Tas noved pie kultūras fiziskās infrastruktūras nepilnīga noslogojuma, kas ir galvenais zemas izmantošanas efektivitātes un dārdzības iemesls. Kultūras fiziskās infrastruktūras izmantošanas efektivitātes paaugstināšanas galvenie ceļi: • kultūras infrastruktūras un kultūras procesa nodalīšana infrastruktūras izmantošanā, kur tas ir iespējams, • kultūras iestāžu darbības formas pielāgošana jauniem ekonomiskiem apstākļiem, • kultūras infrastruktūras tīkla optimizācija, apvienojot kultūras iestādes, • papildu līdzekļu piesaistīšana infrastruktūras uzturēšanā, paplašinot tās izmantošanu ar kultūru tieši nesaistītiem, bet kultūru nediskriminējošiem mērķiem, • kopējas lietošanas infrastruktūras objektu veidošana pēc tehnoloģisko parku (kultūras centru) principa, • sadarbība kultūras fiziskās infrastruktūras izmantošanā. Kultūras infrastruktūras izmantošanas uzlabošanai nepieciešami labi speciālisti, tāpēc kultūrizglītības iestādēs līdztekus mākslinieciskajām specialitātēm mērķtiecīgi un labā kvalitātē jāgatavo kultūras administratori un mākslas menedžeri. Programma paredz īstenot starpsektoru kultūrizglītības programmu, kas ietver: • jaunu mācību nodaļu atvēršanu Kultūras akadēmijā un citās kultūrizglītības iestādēs, • ārvalstu speciālistu (pasniedzēju) nodarbināšanu, • iespēju paplašināšanu studijām ārvalstīs. Programmā paredzēts sekmēt konsultāciju un pakalpojumu uzņēmumu veidošanos kultūras infrastruktūras apkalpošanai, sākumā organizējot šādus uzņēmumus pilotprojektu veidā. 4. Kultūras decentralizācija, novadu kultūras attīstība, reģionālās attīstības veicināšana un aktivitātes paaugstināšana citās tautsaimniecības nozarēs Programmas mērķis ir veicināt kultūras decentralizāciju un novadu kultūras attīstību. Kultūras decentralizācija nozīmē kultūras pārvaldības un finansēšanas decentralizāciju un kultūras iestāžu izvietojuma decentralizāciju. Kultūras pārvaldības decentralizācijas principus paredzēts izstrādāt un īstenot programmas izpildes gaitā, bet jau tagad ir skaidrs, ka kultūras decentralizācija prasīs modernākas kultūras pārvaldības metodes un lielāka uzmanība būs jāpievērš sertifikācijas un profesionalitātes jautājumiem, uzskaites, analīzes un informācijas sistēmām. Latvijā izveidojies samērā vienmērīgs kultūras iestāžu teritoriālais izvietojums (1.10.zīmējums), tomēr to attīstība un pieejamība nav visur vienāda un ir atkarīga no pašvaldību attieksmes pret kultūru un to finansu iespējām. Pēdējā laikā gan galvaspilsētā, gan ārpus tās intensīvi veidojas jaunas kultūras institūcijas (privātas un pašvaldību), bet vērojams arī kultūras iestāžu slēgšana. Tas nozīmē, ka decentralizēto kultūras institūciju pastāvēšanā ir problēmas, kuras jārisina šīs programmas ietvaros. Kultūras decentralizācija un novadu kultūras attīstība ir būtiski reģionālas attīstības veicināšanas faktori. Lai sekmētu novadu kultūras attīstību, jāapzina kultūras tradīcijas, mērķtiecīgi jāapgūst un jāizmanto novadu kultūras mantojums.
4. Nacionālās programmas "Kultūra" struktūras pamatojums Nacionālo programmu "Kultūra" veido 10 apakšprogrammas:
Programmas struktūru pamats ir veidojies kultūras jomu sadalījums vēsturiski kas tiek atpazīts sabiedrībā. Pēc šādas struktūras būvēta arī Kultūras ministrijas pārziņā un pārraudzībā esošā kultūras procesu administrēšanas sistēma. Valsts kultūrpolitikas pamatnostādnēs uzsvērta nepieciešamība atbalstīt kultūras infrastruktūras pastāvēšanu un atbildības sadalījumu starp valsti, pašvaldībām un privāto sektoru kultūras sfērā. Tam jāgarantē Latvijas iedzīvotāju tiesības uz kultūru un jānodrošina kultūras dzīves daudzveidība - gan profesionālās un amatieru jaunrades procesi, gan kultūras mantojuma saglabāšana un iesaiste mūsdienu apritē, gan kultūrizglītības uzturēšana visā Latvijas teritorijā. Nacionālās programmas struktūra aptver arī atsevišķas tās kultūras jomas, par kurām saskaņā ar valsts kultūrpolitiku atbild (pamatojoties uz likumdošanu, finansēšanas struktūru) arī citas ministrijas vai vietējās pašvaldības. Kultūras iestāžu infrastruktūra Latvijā 1999.g. 1.10.zīmējums
|