
Finansu un kapitāla tirgus komisijas padomes
lēmums Nr. 24/4
Rīgā 2001. gada 21. decembrī
Par “Banku kapitāla pietiekamības aprēķināšanas noteikumu” apstiprināšanu
Pamatojoties uz Finansu un kapitāla tirgus komisijas likuma 6.—8. un 17. pantu un Kredītiestāžu likuma 7. pantu, Finansu un kapitāla tirgus komisijas padome n o l e m j:
1. Apstiprināt “Banku kapitāla pietiekamības aprēķināšanas noteikumus” (pielikumā).
2. Lūgt Latvijas Banku pēc 1. punktā minēto noteikumu spēkā stāšanās atcelt Latvijas Bankas padomes 16.03.2001. lēmumu Nr.72/8, ar kuru tika apstiprināti “Kapitāla pietiekamības aprēķināšanas noteikumi”.
Finansu un kapitāla tirgus komisijas
priekšsēdētāja vietnieks J. Brazovskis
Banku kapitāla pietiekamības aprēķināšanas noteikumi
1. Pamatnostādnes
1.1. “Banku kapitāla pietiekamības aprēķināšanas noteikumi” (tālāk tekstā — noteikumi) ir sagatavoti, pamatojoties uz Kredītiestāžu likumu un ievērojot Eiropas Parlamenta un padomes direktīvu Nr. 2000/12/EC “Par kredītiestāžu darbības uzsākšanu un veikšanu” un Eiropas Savienības (tālāk tekstā – ES) direktīvu Nr. 93/6/EEC “Par kredītiestāžu un investīciju sabiedrību kapitāla pietiekamību” ar grozījumiem Nr. 98/31/EC un Nr. 98/33/EC.
1.2. Noteikumi nosaka Kredītiestāžu likuma 35. un 49. pantā noteikto banku darbību regulējošās prasības raksturojošo rādītāju aprēķināšanas, kā arī attiecīgo pārskatu iesniegšanas kārtību.
2. Noteikumos lietotie termini
2.1. A zonas valstis — Ekonomiskās sadarbības un attīstības organizācijas (Organisation for Economic Co–operation and Development — OECD) pilntiesīgas dalībvalstis, kuras pēdējo piecu gadu laikā nav restrukturējušas savu ārējo parādu un nav aizkavējušas sava ārējā parāda samaksu, un valstis, kuras ir noslēgušas ar Starptautisko valūtas fondu Vispārējo vienošanos par aizņēmumiem (General Arrangement to Borrow — GAB). (A zonas valstu sarakstu sk. 1. pielikumā.)
2.2. B zonas valstis — ārvalstis, kuras nav iekļautas A zonā.
2.3. A zonas valsts kredītiestāde — jebkura A zonas valstī reģistrēta kredītiestāde, t.sk. šīs kredītiestādes nodaļa (filiāle) B zonas valstī.
2.4. B zonas valsts kredītiestāde — jebkura B zonas valstī reģistrēta kredītiestāde, t.sk. šīs kredītiestādes nodaļa (filiāle) A zonas valstī.
2.5. Starptautiskās attīstības bankas (multilateral development banks) — Āfrikas Attīstības banka (African Development Bank), Āzijas Attīstības banka (Asian Development Bank), Karību Attīstības banka (Caribbean Development Bank), Eiropas Padomes Pārceļošanas palīdzības fonds (Councilof Europe Resettlement Fund), Eiropas Rekonstrukcijas un attīstības banka (European Bankfor Reconstruction and Development), Eiropas Investīciju banka (European Investment Bank), Ziemeļamerikas un Dienvidamerikas Attīstības banka (Inter—American Development Bank), Starptautiskā Finansu korporācija (International FinanceCorporation —IFC), Starptautiskā Rekonstrukcijas un attīstības banka (International Bank forReconstruction and Development), Ziemeļvalstu Investīciju banka (Nordic Investment Bank), Eiropas Investīciju fonds (European Investment Fund), Ziemeļamerikas un Dienvidamerikas Investīciju korporācija (Inter—American Investment Corporation).
2.6. Tirdzniecības portfelis — bankas vārdā un bankas labā turēto finansu instrumentu, preču un preču atvasināto līgumu pozīciju kopums, ko banka tur pārdošanas nolūkā un/vai iegādājas ar mērķi tuvākajā laikā gūt peļņu no faktiskās un/vai gaidāmās starpības starp to pirkšanas un pārdošanas cenu vai citām cenu vai procentu likmju izmaiņām, kā arī pozīcijas, kuras banka iegādājas tirdzniecības portfeļa posteņu risku ierobežošanai. Tirdzniecības portfelis ietver arī šādus riska darījumus, kas saistīti ar tirdzniecības portfelī iekļautajiem finansu instrumentiem, precēm un preču atvasinātajiem līgumiem, uz kuriem attiecas 8. un 9. punkta nosacījumi:
2.6.1. nenokārtotie darījumi;
2.6.2. brīvās piegādes;
2.6.3. ārpusbiržas atvasinātie līgumi;
2.6.4. līgumi par aktīvu pārdošanu ar atpirkšanu un vērtspapīru un preču aizdevumi;
2.6.5. līgumi par aktīvu pirkšanu ar atpārdošanu un vērtspapīru un preču aizņēmumi, ja tiek ievēroti 2.6.5.1.—2.6.5.3. un 2.6.5.5. punkta vai 2.6.5.4. un 2.6.5.5. punkta nosacījumi:
2.6.5.1. riska darījumi tiek pārvērtēti pēc to tirgus vērtības katru darbadienu;
2.6.5.2. nodrošinājuma lielums tiek koriģēts atbilstoši vērtspapīru vai preču, kas ir līguma vai darījuma priekšmets, būtiskām vērtības izmaiņām;
2.6.5.3. līgums vai darījums paredz savstarpējo prasību un saistību tūlītēju un beznosacījumu ieskaitīšanu saistību nepildīšanas gadījumā;
2.6.5.4. līgums vai darījums ir noslēgts ar A zonas valsts kredītiestādi vai Latvijas Republikā reģistrētu kredītiestādi, vai ar investīciju sabiedrību, kas pakļauta ES direktīvas Nr. 93/6/EEC (ar grozījumiem) vai līdzvērtīgām prasībām (sk. 2. pielikumu), vai ar biržu;
2.6.5.5. līgums vai darījums tiek izmantots atbilstoši vispārpieņemtai praksei. Mākslīgie (simulatīvie) darījumi netiek iekļauti tirdzniecības portfelī, īpaši ja tie nav īstermiņa darījumi;
2.6.6. citi riska darījumi, kuri ir saistīti ar prasībām, kas izriet no uzkrātas, bet nesaņemtas komisijas naudas, procentiem un dividendēm, kā arī rezerves iemaksām biržās.
2.7. Bankas portfelis — tirdzniecības portfelī neiekļauto pozīciju un riska darījumu kopums.
2.8. Finansu instrumenti ir:
2.8.1. apgrozāmie vērtspapīri;
2.8.2. vērtspapīri, kas apliecina līdzdalību ieguldījumu fondos vai tiem pielīdzināmos kopējo ieguldījumu formējumos;
2.8.3. naudas tirgus instrumenti(izņemot kredītus un noguldījumus);
2.8.4. biržā tirgotie finansu nākotnes līgumi;
2.8.5. ārpusbiržas procentu nākotnes līgumi;
2.8.6. procentu, ārvalstu valūtas un kapitāla vērtspapīru mijmaiņas līgumi;
2.8.7. iespējas līgumi par 2.8.1.—2.8.6. punktā minēto instrumentu pirkšanu vai pārdošanu.
2.9. Parāda vērtspapīri — vērtspapīri, kuri apliecina emitenta saistības pret šo vērtspapīru turētāju. Parāda vērtspapīri ir šādi:
2.9.1. parādzīmes un obligācijas;
2.9.2. noguldījuma sertifikāti ar fiksētu procentu likmi vai peldošu procentu likmi;
2.9.3. hipotekārās ķīlu zīmes;
2.9.4. vienkāršie vekseļi un pārvedu vekseļi (tratas);
2.9.5. konvertējamie vērtspapīri, kurus var apmainīt pret kādu no 2.9.1.–2.9.3. punktā minētajiem vērtspapīriem;
2.9.6. citi būtībā līdzīgi vērtspapīri, kuru cena ir atkarīga no procentu likmju izmaiņām;
2.9.7. ieguldījumu fondu apliecības proporcionāli attiecīgā ieguldījumu fonda 2.9.1.–2.9.3. un 2.9.5.–2.9.6. punktā minētajos vērtspapīros veikto ieguldījumu vērtībai.
2.10. Kapitāla vērtspapīri — vērtspapīri, kuri apliecina līdzdalību uzņēmuma (uzņēmējsabiedrības) kapitālā un dod tiesības saņemt dividendes vai gūt ienākumus. Kapitāla vērtspapīri ir šādi:
2.10.1. akcijas;
2.10.2. depozitārie sertifikāti (Global Depositary Receipts – GDR, American Depositary Receipts – ADR);
2.10.3. konvertējamie vērtspapīri, kurus var apmainīt pret kādu no 2.10.1. vai 2.10.2. punktāminētajiem vērtspapīriem;
2.10.4. citi būtībā līdzīgi vērtspapīri, kuru cena ir atkarīga no akciju cenu izmaiņām;
2.10.5. ieguldījumu fondu apliecības proporcionāli attiecīgā ieguldījumu fonda 2.10.1.–2.10.4. punktā minētajos vērtspapīros veikto ieguldījumu vērtībai.
2.11. Atvasinātie līgumi — līgumi, kuri noslēgti uz kāda reāla vai nosacīta aktīva (tālāk tekstā — bāzes aktīvs) pamata un kuru vērtība atkarīga no procentu likmju, valūtas kursu, akciju cenu, akciju indeksu, preču cenu un citu būtībā līdzīgu faktoru izmaiņām periodā no līguma noslēgšanas datuma līdz līguma izpildes datumam. Ar atvasinātā līguma izpildi saistītie norēķini notiek nākotnes datumā, un tā iegūšanai nav nepieciešams sākotnējais vai ir nepieciešams neliels sākotnējais ieguldījums, salīdzinot ar citiem līgumu veidiem, kas ir līdzīgā veidā atkarīgi no tirgus apstākļu izmaiņām.
2.12. Nākotnes līgumi— atvasinātie līgumi, kuri nosaka saistības pirkt vai pārdot līgumā noteikto bāzes aktīva daudzumu par noteiktu cenu noteiktā datumā. Nodala biržā tirgotos nākotnes līgumus (futures) un ārpusbiržas nākotnes līgumus (forwards).
2.13. Ārpusbiržas procentu nākotnes līgumi(forward–rate agreements) — atvasinātie līgumi par kompensācijas izmaksu vienai no līgumslēdzējām pusēm, ja līguma bāzes aktīva — parāda vērtspapīra — tirgus procentu likme noteiktajā datumā atšķirsies no līgumā noteiktās procentu likmes.
2.14. Mijmaiņas līgumi (swaps) — ārpusbiržas atvasinātie līgumi, kas paredz apmaiņu ar maksājumu plūsmām, kuru lielums atkarīgs no atvasinātā līguma nosacītās pamatvērtības, starp divām līgumslēdzējām pusēm noteiktā periodā.
2.15. Iespējas līgumi (options) — atvasinātie līgumi, kuri līguma pārdevējam rada saistības un līguma pircējam dod tiesības (bet nerada saistības) nopirkt (call option) vai pārdot (put option) līgumā noteiktu bāzes aktīva daudzumu par noteiktu cenu jebkurā datumā no līguma noslēgšanas datuma līdz līguma izpildes datumam (American option) vai līguma izpildes datumā (European option).
2.16. Delta koeficients — koeficients, kas parāda attiecību starp iespējas līguma cenas un bāzes aktīva cenas izmaiņām, ja bāzes aktīva cenas izmaiņas ir nelielas.
2.17. Delta ekvivalents — iespējas līguma bāzes aktīva daudzuma tirgus cena, kas reizināta ar delta koeficientu.
2.18. Biržā tirgotā garantija (warrant) — vērtspapīrs, kas tā turētājam dod tiesības nopirkt bāzes aktīvu par līgumā noteikto cenu līdz biržā tirgotās garantijas derīguma termiņa pēdējam datumam vai pēdējā datumā. Norēķinus par biržā tirgoto garantiju var veikt, vai nu piegādājot pašu aktīvu, vai arī samaksājot naudā.
2.19. Rezerves iemaksa (margin) — garantijas noguldījums, kurš jāizvieto speciālos biržas kontos, slēdzot nākotnes vai iespējas līgumu biržā, un jāpapildina, ja nākotnes līguma vai iespējas līguma bāzes aktīva tirgus cena mainās līgumslēdzējam nelabvēlīgā virzienā no līguma noslēgšanas datuma līdz līguma izpildes datumam.
2.20. Līgumi par aktīvu pārdošanu ar atpirkšanu (repurchase agreements) — līgumi, saskaņā ar kuru nosacījumiem banka pārdod vērtspapīrus, preces vai garantētas īpašuma tiesības uz vērtspapīriem vai precēm, ja šādu garantiju nodrošina birža, kas ir attiecīgo vērtspapīru vai preču īpašuma tiesību turētāja, un kuri liedz bankai nodot vai ieķīlāt vērtspapīrus vai preces vairāk nekā vienam darījuma partnerim vienlaicīgi, ar nosacījumu atpirkt šos vērtspapīrus vai preces vai līdzvērtīgus vērtspapīrus vai preces par noteikto cenu noteiktā datumā nākotnē vai datumā, kuru noteiks banka.
2.21. Līgumi par aktīvu pirkšanu ar atpārdošanu (reverse repurchase agreements) — līgumi, saskaņā ar kuru nosacījumiem banka pērk vērtspapīrus, preces vai garantētas īpašuma tiesības uz vērtspapīriem vai precēm, ja šādu garantiju nodrošina birža, kas ir attiecīgo vērtspapīru vai preču īpašuma tiesību turētāja, ar nosacījumu atpārdot šos vērtspapīrus vai preces vai līdzvērtīgus vērtspapīrus vai preces par noteikto cenu noteiktā datumā nākotnē vai datumā, kuru noteiks darījuma partneris, kas pārdod vērtspapīrus vai preces.
2.22. Vērtspapīru vai preču aizdevumi (securities or commodities lending) — darījumi, kadbanka aizdod vērtspapīrus vai preces pret atbilstošu nodrošinājumu ar nosacījumu, ka aizņēmējs atdos atpakaļ līdzvērtīgus vērtspapīrus vai preces noteiktā datumā nākotnē vai tad, kad to pieprasīs banka.
2.23. Vērtspapīru vai preču aizņēmumi (securities or commodities borrowing) — darījumi, kad banka aizņemas vērtspapīrus vai preces pret atbilstošu nodrošinājumu ar nosacījumu, ka banka atdos atpakaļ līdzvērtīgus vērtspapīrus vai preces noteiktā datumā nākotnē vai tad, kad to pieprasīs aizdevējs.
2.24. Pozīcija — prasību vai saistību apmērs attiecībā uz kādu vērtspapīru, preci vai valūtu.
2.25. Garā pozīcija — pozīcija, kas dod tiesības vai uzliek pienākumu saņemt maksājumus, vērtspapīrus vai citus aktīvus.
2.26. Īsā pozīcija — pozīcija, kas dod tiesības vai uzliek pienākumu veikt maksājumus vai piegādāt vērtspapīrus vai citus aktīvus.
2.27. Tirgus risks — iespēja ciest zaudējumus bilances un ārpusbilances posteņu pārvērtēšanas dēļ, kas saistīta ar finansu instrumentu, preču un preču atvasināto līgumu tirgus cenas izmaiņām, kuras notiek valūtas kursu, procentu likmju izmaiņu u.c. faktoru ietekmē. Tirgus riski ir ārvalstu valūtas risks, pozīcijas risks, preču risks, norēķinu risks un darījuma partnera risks.
2.28. Pozīcijas risks — iespēja ciest zaudējumus, kāda parāda vērtspapīra vai kapitāla vērtspapīra pozīcijas pārvērtēšanas dēļ mainoties attiecīgā vērtspapīra cenai. Pozīcijas risks izpaužas kā specifiskais un vispārējais risks.
2.29. Specifiskais risks — iespēja ciest zaudējumus, ja parāda vērtspapīra vai kapitāla vērtspapīra cena mainīsies tādu faktoru dēļ, kas ir saistīti ar vērtspapīra emitentu vai (atvasinātā līguma gadījumā) ar personu, kura emitējusi vērtspapīru, kas ir atvasinātā līguma bāzes aktīvs.
2.30. Vispārējais risks — iespēja ciest zaudējumus, ja vērtspapīra cena mainīsies tādu faktoru dēļ, kas ir saistīti ar procentu likmju izmaiņām (parāda vērtspapīru gadījumā) vai ar plašām izmaiņām kapitāla tirgū (kapitāla vērtspapīru gadījumā), kuras nav saistītas ar kādu konkrētu vērtspapīru emitentu.
2.31. Priekšrocību akcijas ar dividenžu uzkrāšanu — tādas akcijas ar fiksētu dividendi, kuras to īpašniekam garantē tiesības saņemt dividendes, kas nav izmaksātas iepriekšējos gados peļņas neesamības vai nepietiekamības dēļ, pirms parasto akciju dividendēm periodā, kad kredītiestāde gūs peļņu.
2.32. Zelts — starptautiskajos finansu tirgos tirgotie zelta stieņi.
2.33. Birža — birža, kas darbojas regulāri un saskaņā ar biržas rezidences (reģistrācijas) valsts uzraudzības institūcijas pieņemtiem vai apstiprinātiem noteikumiem, kuri regulē biržas darbību, piekļūšanu biržai un nosaka prasības līgumiem, kas var tikt noslēgti biržā, un biržā darbojas klīringa mehānisms, kas nodrošina tajā tirgoto nākotnes līgumu un iespējas līgumu risku segšanai paredzēto rezerves iemaksu pietiekamu līmeni.
3. Vispārīgie jautājumi
3.1. Bankas kapitāla pietiekamība ir bankas pašu kapitāla attiecība pret riska svērto aktīva un ārpusbilances posteņu un nosacīto riska svērto aktīva un ārpusbilances posteņu kopsummu. Nosacīto riska svērto aktīva un ārpusbilances posteņu kopsummu aprēķina kā tirgus risku kapitāla prasību kopsummu, kas reizināta ar 10.
3.2. Bankas pašu kapitālam vienmēr jābūt lielākam vai vienādam ar šādu kapitāla prasību kopsummu:
3.2.1. bankas portfeļa kredītriska kapitāla prasība (saskaņā ar 4. punkta nosacījumiem);
3.2.2. tirgus risku kapitāla prasības:
3.2.2.1. bankas portfeļa un tirdzniecības portfeļa ārvalstu valūtas riska kapitāla prasība (saskaņā ar 5. punkta nosacījumiem);
3.2.2.2. tirdzniecības portfeļa parāda vērtspapīru un kapitāla vērtspapīru pozīcijas riska kapitāla prasība (saskaņā ar 6. punkta nosacījumiem);
3.2.2.3. tirdzniecības portfeļa preču riska kapitāla prasība (saskaņā ar 7. punkta nosacījumiem);
3.2.2.4. tirdzniecības portfeļa norēķinu riska kapitāla prasība (saskaņā ar 8. punkta nosacījumiem);
3.2.2.5. tirdzniecības portfeļa darījuma partnera riska kapitāla prasība (saskaņā ar 9. punkta nosacījumiem).
3.3. Kapitāla pietiekamības aprēķināšanas nolūkā bankai visi bilances un ārpusbilances posteņi jāsadala bankas portfelī un tirdzniecības portfelī atkarībā no tajos atspoguļoto darījumu būtības un finansu instrumentu iegādes nolūka.
3.4. Finansu instrumenta iegādes nolūkam jābūt zināmam pirms šā instrumenta iegādes,un bankai dokumentāri jāpamato jebkura bilances un ārpusbilances posteņa iekļaušana bankas portfelī vai tirdzniecības portfelī. Ja veikta finansu instrumenta pārklasifikācija no bankas portfeļa uz tirdzniecības portfeli, bankai dokumentāri jāpamato šādas pārklasifikācijas nepieciešamība un atbilstība tirdzniecības portfeļa politikai (ieteikumus bankas tirdzniecības portfeļa politikai sk. 3. pielikumā). Finansu instrumentu pārklasifikācija no tirdzniecības portfeļa uz bankas portfeli nav atļauta.
3.5. Visi tirdzniecības portfelī iekļautie posteņi jāpārvērtē pēc to tirgus vērtības ne retāk kā reizi dienā. Bankas iekšējā audita (revīzijas) dienestam periodiski jāpārbauda pārvērtēšanas pareizība un atbilstība bankas tirdzniecības portfeļa politikā noteiktajai finansu instrumentu, preču un preču atvasināto līgumu vērtēšanas kārtībai.
3.6. Banka var iesniegt Finansu un kapitāla tirgus komisijai (tālāk tekstā — Komisija) lūgumu atbrīvot to no pienākuma aprēķināt un ievērot pozīcijas, preču, norēķinu un darījuma partnera riska kapitāla prasību saskaņā ar 6.—9. punkta nosacījumiem, ja tiek ievēroti visi šādi kritēriji vienlaikus:
3.6.1. bankas tirdzniecības portfeļa apmērs, pamatojoties uz individuālajiem finansu pārskatiem un konsolidētajiem finansu pārskatiem, parasti (ilgāk nekā piecas darbadienas pēc kārtas) nepārsniedz 5% un nekad nepārsniedz 6% no bilances un ārpusbilances posteņu kopsummas;
3.6.2. bankas tirdzniecības portfeļa apmērs, pamatojoties uz individuālajiem finansu pārskatiem un konsolidētajiem finansu pārskatiem, parasti (ilgāk nekā piecas darbadienas pēc kārtas) nepārsniedz 9 milj. latu un nekad nepārsniedz 12 milj. latu.
3.7. Novērtējot bilances un ārpusbilances posteņu kopsummu, lai aprēķinātu 3.6.1. punktā minēto tirdzniecības portfeļa apmēra attiecību pret bilances un ārpusbilances posteņu kopsummu, bankas portfelī un tirdzniecības portfelī iekļautie parāda vērtspapīri jāvērtē pēc to tirgus cenas un atvasinātie līgumi — pēc bāzes aktīva nominālvērtības vai tirgus vērtības. Ja informācija par bankas portfeļa parāda vērtspapīru tirgus cenu nav viegli pieejama, var izmantot šo bankas portfeļa parāda vērtspapīru bilances vērtību. Garās pozīcijas un īsās pozīcijas jāsummē, saskaitot to absolūtās vērtības.
3.8. Ja bankas tirdzniecības portfelis nepārsniedz 3.6. punktā noteiktos kritērijus un Komisija ir atbrīvojusi banku no pozīcijas, preču, norēķinu un darījuma partnera riska kapitāla prasības ievērošanas, bankai jāaprēķina un jāievēro tirdzniecības portfelī iekļauto aktīva un ārpusbilances posteņu kredītriska kapitāla prasība saskaņā ar 4. punkta nosacījumiem un ārvalstu valūtas riska kapitāla prasība saskaņā ar 5. punkta nosacījumiem.
3.9. Bankai, kura ir atbrīvota no pozīcijas, preču, norēķinu un darījuma partnera riska kapitāla prasības ievērošanas, jānodrošina tirdzniecības portfeļa apmēra pastāvīga kontrole un nekavējoties jāziņo Komisijai, ja tirdzniecības portfeļa apmērs pārsniedz 3.6. punktā noteiktos kritērijus. Ja ir pamats uzskatīt, ka pārsniegums nav īslaicīgs, bankai jāievēro tirgus risku kapitāla prasība, sākot ar Komisijas noteikto datumu.
3.10. Bankai, kuras uzraudzība tiek veikta, pamatojoties uz konsolidētajiem finansu pārskatiem, šie noteikumi jāievēro, pamatojoties uz individuālajiem finansu pārskatiem.
4. Bankas portfeļa kredītrisks
4.1. Kredītrisks ir iespēja ciest zaudējumus, ja bankas parādnieks (debitors) nepildīs līgumā noteiktās saistības pret banku.
4.2. Bankas portfeļa kredītriska kapitāla prasību aprēķina kā 10% no bankas portfeļa riska svērto aktīva un ārpusbilances posteņu kopsummas. Ja banka ir atbrīvota no pozīcijas, preču, norēķinu un darījuma partnera riska kapitāla prasības ievērošanas, kredītriska kapitāla prasību aprēķina visiem aktīva un ārpusbilances posteņiem.
4.3. Aktīva un ārpusbilances posteņu riska svērto vērtību nosaka, pamatojoties uz aktīva un ārpusbilances posteņu atlikušo vērtību, t.i., aktīva un ārpusbilances posteņu bilances vērtību, kas samazināta par izveidoto uzkrājumu summu.
4.4. Aktīva posteņu riska svērto vērtību aprēķina, reizinot aktīva posteņu atlikušo vērtību ar nosacīto riska pakāpi, kas izteikta procentos.
4.4.1. Aktīva posteņi ar nosacīto 0% riska pakāpi:
4.4.1.1. nauda kasē un naudas ekvivalenti;
4.4.1.2. prasības pret Latvijas Republikas valdību un Latvijas Banku;
4.4.1.3. prasības pret A zonas valstu centrālajām valdībām un centrālajām bankām;
4.4.1.4. prasības pret Eiropas kopienām (Eiropas Ogļu un tērauda kopiena (European Coal and Steel Community), Eiropas Ekonomiskā kopiena (European Economic Community) un Eiropas Atomenerģijas kopiena (European Atomic Energy Community));
4.4.1.5. prasības, kas nodrošinātas ar Latvijas Republikas valdības galvojumiem (garantijām);
4.4.1.6. prasības, kas nodrošinātas ar galvojumiem (garantijām), kuri saskaņā ar Komisijas noslēgtajiem līgumiem pielīdzināmi Latvijas Republikas valdības galvojumiem (garantijām);
4.4.1.7. prasības, kas nodrošinātas ar Latvijas Republikas valdības vērtspapīru ķīlu;
4.4.1.8. prasības, kas nodrošinātas ar A zonas valstu centrālo valdību vai centrālo banku vai Eiropas kopienu galvojumiem (garantijām);
4.4.1.9. prasības, kas nodrošinātas ar A zonas valstu centrālo valdību vai centrālo banku vai Eiropas kopienu vērtspapīriem;
4.4.1.10. prasības, kas nodrošinātas ar šajā bankā uz noteiktu laiku izvietotu termiņnoguldījumu vai bankas emitētu noguldījuma sertifikātu, vai citu būtībā līdzīgu finansu instrumentu, kurš atrodas bankas reālā valdījumā. Lai termiņnoguldījums tiktu atzīts par risku mazinošu faktoru, jābūt noslēgtam līgumam, kurā ietverti nepārprotami noteikumi, kas bankai dod ar papildu nosacījumiem neierobežotas tiesības izmantot termiņnoguldījumu prasību un saistību savstarpējai ieskaitīšanai gadījumā, ja parādnieks neizpildīs vai nepilnīgi izpildīs savas saistības. Šādam noteikumam jābūt tiesiskam un reāli bez ierobežojumiem izpildāmam arī saskaņā ar nodrošinājuma devēja rezidences (reģistrācijas) valsts tiesību aktiem. Šāda termiņnoguldījuma atlikušajam termiņam jābūt vienādam ar prasības atlikušo termiņu vai ilgākam par to.
4.4.2. Aktīva posteņi ar nosacīto 20% riska pakāpi:
4.4.2.1. prasības pret starptautiskajām attīstības bankām;
4.4.2.2. prasības, kas nodrošinātas ar starptautisko attīstības banku galvojumiem (garantijām);
4.4.2.3. prasības, kas nodrošinātas ar starptautisko attīstības banku vērtspapīriem;
4.4.2.4. prasības pret A zonas valstu vietējām valdībām;
4.4.2.5. prasības, kas nodrošinātas ar A zonas valstu vietējo valdību galvojumiem (garantijām);
4.4.2.6. prasības pret A zonas valstu kredītiestādēm, izņemot prasības, kas veido šo kredītiestāžu pašu kapitālu;
4.4.2.7. prasības, kas nodrošinātas ar A zonas valstu kredītiestāžu galvojumiem (garantijām);
4.4.2.8. prasības uz pieprasījumu pret Latvijas Republikas kredītiestādēm;
4.4.2.9. skaidrā nauda vai naudas ekvivalenti ceļā.
4.4.3. Aktīva posteņi ar nosacīto 50% riska pakāpi:
4.4.3.1. prasības pret Latvijas Republikas kredītiestādēm, izņemot 4.4.2.8. punktā minētās prasības;
4.4.3.2. prasības, kas nodrošinātas ar Latvijas Republikas kredītiestāžu galvojumiem (garantijām);
4.4.3.3. nākamo periodu izdevumi un uzkrātie ieņēmumi, ja tos nevar attiecināt uz konkrētu darījuma partneri;
4.4.3.4. prasības pret Latvijas Republikas pašvaldībām;
4.4.3.5. prasības, kas nodrošinātas ar Latvijas Republikas pašvaldību galvojumiem (garantijām);
4.4.3.6. prasības pret B zonas valstu centrālajām valdībām un centrālajām bankām šo valstu nacionālajā valūtā;
4.4.3.7. prasības attiecīgās B zonas valsts nacionālajā valūtā, kas nodrošinātas ar B zonas valsts centrālās valdības vai centrālās bankas galvojumiem (garantijām) šajā valūtā;
4.4.3.8. kredīti, kuri pilnībā nodrošināti ar zemesgrāmatā reģistrētu nekustamā īpašuma hipotēku, ja aizņēmējs un ķīlas devējs ir viena un tā pati fiziska persona, kura šo nekustamo īpašumu apdzīvo, apdzīvos vai izīrē, un bankai ir nodibināta pirmās kārtas hipotēka. Kredīts ir jāuzskata par pilnībā nodrošinātu ar nekustamā īpašuma hipotēku, ja prasības summa nepārsniedz 70% no tā nekustamā īpašuma, uz kuru nodibināta hipotēka, tirgus vērtības vai no šī īpašuma vērtības, ko noteicis licencēts vai sertificēts nekustamā īpašuma vērtētājs vai vērtētāji;
4.4.3.9. kredīti, kas atbilst 4.4.3.8. punktā minētājiem kritērijiem un kuru nodrošinājums ir dzīvojama māja, kurā daļa no telpām tiek izmantota uzņēmējdarbībai, ja šīs mājas dzīvošanai izmantojamās platības ir ne mazāk par 50% no mājas kopējās platības;
4.4.3.10. kredīti, kas noformēti saskaņā ar finansu līzinga noteikumiem un atbilst 4.4.3.8. vai 4.4.3.9. punktā minētajiem kritērijiem.
4.4.4. Aktīva posteņi ar nosacīto 100% riska pakāpi:
4.4.4.1. prasības pret B zonas valstu centrālajām valdībām un centrālajām bankām, izņemot 4.4.3.6. punktā minētās prasības;
4.4.4.2. prasības pret B zonas valstu vietējām valdībām;
4.4.4.3. prasības pret B zonas valstu kredītiestādēm;
4.4.4.4. prasības pret aizņēmējiem, kuri nav kredītiestādes, centrālās valdības, centrālās bankas, vietējās valdības (pašvaldības), Eiropas kopienas, starptautiskās attīstības bankas, izņemot prasības, kurām noteikta zemāka riska pakāpe, ņemot vērā to nodrošinājumu;
4.4.4.5. līdzdalība pamatkapitālā un citi pašu kapitāla elementi citās kredītiestādēs, kuri nav atskaitīti no bankas pašu kapitāla;
4.4.4.6. pamatlīdzekļi;
4.4.4.7. pārējie aktīvi, izņemot no pašu kapitāla atskaitītos aktīvus un aktīvus pārvaldīšanā.
4.5. Ja ārpusbilances postenis ir nodrošināts ar galvojumu (garantiju), ārpusbilances posteņa riska pakāpe jānosaka atbilstoši personai, kas sniegusi šo galvojumu (garantiju), nevis atbilstoši darījuma partnera saistību riska pakāpei, ja šādas personas saistībām ir noteikta zemāka riska pakāpe.
4.6. Ja ārpusbilances postenis ir pilnīgi nodrošināts ar aktīviem, kuri atzīti par 4.4.1.6., 4.4.1.8., 4.4.1.9. vai 4.4.2.3. punktā minētajām prasībām atbilstošu nodrošinājumu, ārpusbilances posteņa nosacītā riska pakāpe ir šāda:
4.6.1. ja nodrošinājums atbilst 4.4.1.6., 4.4.1.8. vai 4.4.1.9. punkta nosacījumiem — 0%;
4.6.2. ja nodrošinājums atbilst 4.4.2.3. punkta nosacījumiem — 20%.
4.7. Ja aktīva vai ārpusbilances posteņi ir tikai daļēji nodrošināti ar tādu nodrošinājumu, kuram saskaņā ar 4.4.–4.6. punktā noteikto ir zemāka nosacītā riska pakāpe nekā darījuma partnera saistībām, tad:
4.7.1. pilnīgi nodrošinātā aktīva vai ārpusbilances posteņu daļa jānovērtē atbilstoši nodrošinājuma nosacītajai riska pakāpei;
4.7.2. nenodrošinātā aktīva vai ārpusbilances posteņu daļa jānovērtē atbilstoši darījuma partnera saistībām noteiktajai nosacītajai riska pakāpei.
4.8. Atvasinātie līgumi, kuri atzīti par finanšu aktīviem (iekļauti bilances aktīvā), jāizslēdz no aktīva posteņu riska svērtās vērtības aprēķina un jāiekļauj kopā ar pārējiem atvasinātajiem līgumiem ārpusbilances posteņu riska svērtās vērtības aprēķinā saskaņā ar 4.12.–4.17. punkta nosacījumiem.
4.9. Riska svērtās vērtības noteikšanai ārpusbilances posteņus iedala:
4.9.1. ārpusbilances posteņos, kuru kredītrisks ir atkarīgs no darījuma pilnas vērtības (sk. 4.10. punktu);
4.9.2. ārpusbilances posteņos, kuru kredītrisks ir atkarīgsno līguma termiņa un procentu likmju, valūtas kursu, parāda vērtspapīru, kapitāla vērtspapīru, dārgmetālu un citu preču, kas ir līguma pamatā, cenu svārstībām (sk. 4.12. punktu).
4.10. 4.9.1. punktā minēto ārpusbilances posteņu riska svērto vērtību aprēķina šādi:
4.10.1. aprēķina ārpusbilances posteņu kredītekvivalentu (sk. 4.11. punktu);
4.10.2. kredītekvivalentu reizina ar darījuma partnera saistībām noteikto nosacīto riska pakāpi (sk. 4.4.–4.7. punktu). Darījumos par aktīvu pārdošanu ar atpārdošanas iespēju un darījumos par aktīvu pirkšanu noteiktā datumā nākotnē, ja vienlaikus nav noslēgta vienošanās tos atpārdot, jālieto riska pakāpe, kas noteikta aktīvam, kurš ir darījuma pamatā, nevis riska pakāpe, kas noteikta darījuma partnera saistībām.
4.11. Ārpusbilances posteņu kredītekvivalentu aprēķina, ārpusbilances posteņu atlikušo vērtību reizinot ar nosacīto korekcijas pakāpi, kuras lielums atkarīgs no ārpusbilances posteņu veida.
4.11.1. Ārpusbilances posteņi ar nosacīto 100% korekcijas pakāpi (pilns risks):
4.11.1.1. galvojumi (garantijas) trešajām personām, kuriem piemīt kredīta aizstājēja raksturs;
4.11.1.2. akceptētie pārvedu vekseļi (tratas);
4.11.1.3. indosamenti uz vekseļiem, uz kuriem iepriekš nav veikts citas kredītiestādes indosaments;
4.11.1.4. darījumi ar regresa tiesībām, t.i., līgumi par bankas aktīvu pārdošanu, ja banka uzņemas šo aktīvu kredītrisku un apņemas, samazinoties nopirkto aktīvu vērtībai, segt pircējam zaudējumus;
4.11.1.5. neatsaucamie rezerves akreditīvi, kuriem piemīt kredīta aizstājēja raksturs;
4.11.1.6. līgumi par aktīvu pirkšanu noteiktā datumā nākotnē, ja vienlaikus nav noslēgta vienošanās tos atpārdot;
4.11.1.7. līgumi par noguldījumu izvietošanu noteiktā datumā nākotnē ar noteiktu procentu likmi;
4.11.1.8. daļēji samaksāto akciju un citu vērtspapīru nesamaksātā daļa, ja tā jāsamaksā pēc pieprasījuma;
4.11.1.9. citi ārpusbilances posteņi ar pilnu risku.
4.11.2. Ārpusbilances posteņi ar nosacīto 50% korekcijas pakāpi (vidējs risks):
4.11.2.1. atvērtie un apstiprinātie dokumentārie akreditīvi, izņemot 4.11.3.1. punktā minētos dokumentāros akreditīvus;
4.11.2.2. līgumi ar piegādātāju par atlīdzības samaksu pircējam, ja piegādātājs līguma saistības pret pircēju neizpildīs pilnā apmērā, vai par to zaudējumu segšanu, kuri radušies pircējam līguma izpildes gaitā (līguma garantijas), biržā tirgotās garantijas un galvojumi (garantijas), kuriem nepiemīt kredīta aizstājēja raksturs;
4.11.2.3. līgumi par aktīvu pārdošanu ar atpārdošanas iespēju, kuros noteikts bankas pienākums atpirkt šos aktīvus līgumā noteiktajā laikā un par noteikto cenu, ja darījuma partneris to pieprasīs;
4.11.2.4. neatsaucami rezerves akreditīvi, kam nepiemīt kredīta aizstājēja raksturs;
4.11.2.5. līgumi par aizdevuma izsniegšanu, kredītlīnijas atvēršanu, vērtspapīru pirkšanu, galvojuma (garantijas) vai akcepta izsniegšanu u.tml. līgumi, kurus banka nav tiesīga vienpusēji lauzt vai atteikties no to izpildes;
4.11.2.6. citi ārpusbilances posteņi ar vidēju risku.
4.11.3. Ārpusbilances posteņi ar nosacīto 20% korekcijas pakāpi (risks zemāks par vidējo):
4.11.3.1. dokumentārie akreditīvi, kas nodrošināti ar preču nosūtīšanu vai iekraušanu apliecinošu dokumentu ķīlu, un citi būtībā līdzīgi darījumi;
4.11.3.2. citi ārpusbilances posteņi ar risku, kas zemāks par vidējo.
4.11.4. Ārpusbilances posteņi ar nosacīto 0% korekcijas pakāpi (zems risks):
4.11.4.1. līgumi par aizdevuma izsniegšanu, kredītlīnijas atvēršanu, vērtspapīru pirkšanu, galvojuma (garantijas) vai akcepta izsniegšanu, kurus banka ir tiesīga vienpusēji, bez papildnosacījumu izpildes vai iestāšanās un bez otras puses iepriekšējas brīdināšanas lauzt vai atteikties no to izpildes;
4.11.4.2. citi ārpusbilances posteņi ar zemu risku.
4.12. 4.9.2. punktā minētie ārpusbilances posteņi ietver procentu, ārvalstu valūtas un zelta un citus atvasinātos līgumus.
4.12.1. Procentu atvasinātie līgumi ir šādi:
4.12.1.1. vienas valūtas procentu mijmaiņas līgumi (single–currency interest–rate swaps);
4.12.1.2. bāzes mijmaiņas līgumi (basis swaps);
4.12.1.3. biržā tirgotie procentu nākotnes līgumi (interest–rate futures);
4.12.1.4. ārpusbiržas procentu nākotnes līgumi (forward–rate agreements);
4.12.1.5. nopirktie procentu iespējas līgumi (interest–rate options purchased);
4.12.1.6. citi procentu atvasinātie līgumi, kas būtībā līdzīgi 4.12.1.1.–4.12.1.5. punktā minētajiem atvasinātajiem līgumiem.
4.12.2. Ārvalstu valūtas un zelta atvasinātie līgumi ir šādi:
4.12.2.1. starpvalūtu procentu mijmaiņas līgumi (cross–currency interest–rate swaps);
4.12.2.2. biržā tirgotie ārvalstu valūtas nākotnes līgumi (currency futures);
4.12.2.3. ārpusbiržas ārvalstu valūtas nākotnes līgumi(forward foreign–exchange contracts);
4.12.2.4. nopirktie ārvalstu valūtas iespējas līgumi (currency options purchased);
4.12.2.5. citi ārvalstu valūtas atvasinātie līgumi, kas būtībā līdzīgi 4.12.2.1.–4.12.2.4. punktā minētajiem atvasinātajiem līgumiem;
4.12.2.6. atvasinātie līgumi, kuri būtībā līdzīgi 4.12.2.1.–4.12.2.5. punktā minētajiem atvasinātajiem līgumiem un kuru bāzes aktīvs ir zelts.
4.12.3. Citi atvasinātie līgumi ir līgumi, kuri būtībā līdzīgi 4.12.1.1.–4.12.1.5. un 4.12.2.1.–4.12.2.4. punktā minētajiem atvasinātajiem līgumiem, bet kuru bāzes aktīvs ir kapitāla vērtspapīri, akciju indeksi, dārgmetāli (izņemot zeltu) un citas preces.
4.13. 4.12. punktā minēto ārpusbilances posteņu riska svērtās vērtības aprēķinā neiekļauj tos atvasinātos līgumus, kurus tirgo biržās, kā arī ārvalstu valūtas atvasinātos līgumus, kuru sākotnējais termiņš ir 14 dienu vai īsāks.
4.14. Bankai, kurai jāaprēķina un jāievēro pozīcijas, preču, norēķinu un darījuma partnera riska kapitāla prasība, nosakot 4.12.1. un 4.12.2. punktā minēto atvasināto līgumu riska svērto vērtību, jālieto tirgus vērtības metode, bet banka, kura ir atbrīvota no pozīcijas, preču, norēķinu un darījuma partnera riska kapitāla prasības ievērošanas, nosakot 4.12.1. un 4.12.2. punktā minēto atvasināto līgumu riska svērto vērtību, var izvēlēties vai nu tirgus vērtības metodi, vai arī sākotnējās vērtības metodi. Izvēlētā metode jālieto konsekventi. Ja banka vēlasmainīt aprēķina metodi, tai jāsaņem Komisijas piekrišana. 4.12.3. punktā minēto atvasināto līgumu riska svērto vērtību nosaka saskaņā ar tirgus vērtības metodi.
4.15. Lietojot tirgus vērtības metodi, atvasināto līgumu riska svērto vērtību aprēķina šādi:
4.15.1. aprēķina atvasinātā līguma aizvietošanas vērtību. Līguma aizvietošanas vērtība ir izdevumi, kas var rasties bankai, ja darījuma partneris nepilda saistības saskaņā ar līgumu un bankai ar citu darījuma partneri jānoslēdz jauns līdzīgs līgums par citu cenu, t.i., tirgus cenu. Aizvietošanas vērtību aprēķina kā starpību starp līguma tekošo tirgus vērtību un tā pirkšanas cenu, aprēķinā iekļaujot tikai līgumus ar pozitīvu aizvietošanas vērtību;
4.15.2. aprēķina potenciālo kredītekvivalentu (izņemot vienas valūtas divus peldošo procentu likmju mijmaiņas līgumus (single–currency floating/floating interest rate swaps), kuriem aprēķina tikai aizvietošanas vērtību), reizinot atvasinātā līguma nosacīto pamatvērtību ar atbilstošo reizinātāju (sk. 4.1. vai 4.2. tabulu);
4.15.3. atvasinātā līguma aizvietošanas vērtības un potenciālā kredītekvivalenta kopsummu reizina ar nosacīto riska pakāpi, kas noteikta šā darījuma partnera saistībām saskaņā ar 4.4.–4.7. punkta nosacījumiem.
4.1. tabula. Ar A zonas valstu un Latvijas Republikas rezidentiem noslēgto atvasināto līgumu reizinātāji1
(%)
|
Nr. |
Atvasināto līgumu |
Atlikušais termiņš . |
||
|
p.k. |
veidi |
līdz 1 gadam |
no 1 gada |
ilgāks par |
|
(ieskaitot) |
līdz 5 gadiem |
5 gadiem |
||
|
(ieskaitot) |
||||
|
1. Procentu atvasinātie līgumi |
0,0 |
0,5 |
1,5 |
|
|
2. Ārvalstu valūtas un zelta atvasinātie līgumi |
1,0 |
5,0 |
7,5 |
|
|
3. Kapitāla vērtspapīru atvasinātie līgumi |
6,0 |
8,0 |
10,0 |
|
|
4. Dārgmetālu (izņemot zeltu) |
||||
|
atvasinātie līgumi |
7,0 |
7,0 |
8,0 |
|
|
5. Citu preču atvasinātie līgumi2 |
10,0 |
12,0 |
15,0 |
1 Atvasinātajiem līgumiem, kuros noteikta daudzkārtēja pamatsummas apmaiņa, tabulā norādītie procenti jāreizina ar atlikušo maksājumu skaitu.
2 Tie atvasinātie līgumi, kurus nevar iekļaut tabulas 1.–4. rindā, jāklasificē kā citu preču atvasinātie līgumi.
4.2. tabula. Ar B zonas valstu rezidentiem noslēgto atvasināto līgumu reizinātāji1
(%)
|
Nr. |
Atvasināto līgumu |
Atlikušais termiņš . |
||
|
p.k. |
veidi |
līdz 1 gadam |
no 1 gada |
ilgāks par |
|
(ieskaitot) |
līdz 5 gadiem |
5 gadiem |
||
|
(ieskaitot) |
||||
|
1. Procentu atvasinātie līgumi |
0,5 |
1,0 |
2,0 |
|
|
2. Ārvalstu valūtas un zelta atvasinātie līgumi |
1,5 |
6,0 |
9,0 |
|
|
3. Kapitāla vērtspapīru atvasinātie līgumi |
10,0 |
12,0 |
15,0 |
|
|
4. Dārgmetālu (izņemot zeltu) |
||||
|
atvasinātie līgumi |
7,0 |
7,0 |
8,0 |
|
|
5. Citu preču atvasinātie līgumi2 |
10,0 |
12,0 |
15,0 |
1 Atvasinātajiem līgumiem, kuros noteikta daudzkārtēja pamatsummas apmaiņa, tabulā norādītie procenti jāreizina ar atlikušo maksājumu skaitu.
2 Tie atvasinātie līgumi, kurus nevar iekļaut tabulas 1.–4. rindā, jāklasificē kā citu preču atvasinātie līgumi.
4.16. Lietojot sākotnējās vērtības metodi, atvasināto līgumu riska svērto vērtību nosaka šādi:
4.16.1. aprēķina potenciālo kredītekvivalentu, reizinot atvasinātā līguma nosacīto pamatvērtību ar atbilstošo reizinātāju (sk. 4.3. tabulu);
4.16.2. aprēķināto potenciālo kredītekvivalentu reizina ar darījuma partnera saistībām noteikto nosacīto riska pakāpi saskaņā ar 4.4.–4.7. punkta nosacījumiem.
4.3. tabula. Atvasināto līgumu reizinātāji
(%)
|
Nr. |
Atvasināto līgumu veidi |
Sākotnējais termiņš . |
||
|
p.k. |
līdz |
no 1 gada |
no 2 ga- |
|
|
1 gadam |
līdz 2 |
diem līdz 3 |
||
|
(ieskaitot) |
gadiem |
gadiem |
||
|
(ieskaitot) |
(ieskaitot)1 |
|||
|
1. Procentu atvasinātie līgumi |
0,5 |
1,0 |
2,0 |
|
|
2. Ārvalstu valūtas un zelta atvasinātie līgumi |
2,0 |
5,0 |
8,0 |
1 Par katru nākamo gadu procentu atvasināto līgumu reizinātājam pieskaita 1,0 procentu punktu, bet ārvalstu valūtas un zelta atvasināto līgumu reizinātājam — 3,0 procentu punktus.
4.17. Atvasināto līgumu nosacīto pamatvērtību nosaka:
4.17.1. ārvalstu valūtas atvasinātajiem līgumiem, kad notiek ārvalstu valūtas pirkšana vai pārdošana par latiem, — ārvalstu valūtas daudzums, kuru banka pērk vai pārdod;
4.17.2. ārvalstu valūtas atvasinātajiem līgumiem, kad notiek vienas ārvalstu valūtas apmaiņa pret citu ārvalstu valūtu, — tās ārvalstu valūtas daudzums, kuru banka saņems;
4.17.3. procentu atvasinātajiem līgumiem — to parāda vērtspapīru vērtība vai nosacītā vērtība, kuri ir atvasinātā līguma bāzes aktīvs;
4.17.4. kapitāla vērtspapīru atvasinātajiem līgumiem — to kapitāla vērtspapīru vai akciju indeksu vērtība, kuri ir atvasinātā līguma bāzes aktīvs;
4.17.5. preču atvasinātajiem līgumiem — to preču daudzums, kuras ir atvasinātā līguma bāzes aktīvs. Preču atvasinātie līgumi kredītriska kapitāla prasības aprēķinā jāiekļauj saskaņā ar to nosacīto pamatvērtību, kas reizināta ar attiecīgās preces tirgus cenu pārskata datumā.
5. Ārvalstu valūtas risks
5.1. Ārvalstu valūtas risks ir iespēja ciest zaudējumus no ārvalstu valūtā denominēto bilances un ārpusbilances posteņu pārvērtēšanas, mainoties valūtas kursam. Zelts tiek pielīdzināts ārvalstu valūtai.
5.2. Ārvalstu valūtas riska lielumu raksturo bankas ārvalstu valūtas kopējās tīrās pozīcijas un zelta tīrās pozīcijas kopsumma.
5.3. Bankas ārvalstu valūtas kopējo tīro pozīciju aprēķina divos posmos. Pirmajā posmā tiek aprēķināta katras ārvalstu valūtas tīrā atklātā pozīcija. Otrajā posmā tiek aprēķināta bankas ārvalstu valūtas kopējā tīrā pozīcija.
5.4. Katras ārvalstu valūtas tīrā atklātā pozīcija tiek aprēķināta kā šādu lielumu (pozitīvo vai negatīvo) kopsumma:
5.4.1. tīrā bilances pozīcija, t.i., starpība starp bankas bilances aktīviem un bilances pasīviem, ieskaitot uzkrātos procentus un nepabeigtos norēķinus par valūtas pirkšanas un pārdošanas tagadnes līgumiem (spot);
5.4.2. tīrā nākotnes pozīcija (net forward position), t.i., starpība starp visām nākotnē saņemamām un maksājamām summām par noslēgtajiem ārvalstu valūtas nākotnes līgumiem, ieskaitot biržā tirgotos ārvalstu valūtas nākotnes līgumus un bilances pozīcijā neiekļautās ārvalstu valūtas mijmaiņas līgumu pamatsummas;
5.4.3. saistības par neatsaucamiem galvojumiem (garantijām) u.tml. saistības, ja bankai ir pamats uzskatīt, ka darījuma partneris pieprasīs to izpildi un pastāv iespēja, ka samaksātie līdzekļi nebūs atgūstami;
5.4.4. nākamo periodu tīrie ieņēmumi/izdevumi, kuri vēl nav uzkrāti, bet kuru risks jau ir pilnīgi ierobežots ar ārvalstu valūtas nākotnes līgumiem;
5.4.5. ārvalstu valūtas iespējas līgumu tīrais delta ekvivalents, ja Komisija ir piekritusi iespējas līgumu vērtēšanas modeļa izmantošanai.
5.5. Bankai, kurai Komisija nav devusi piekrišanu iespējas līgumu vērtēšanas modeļa izmantošanai, ārvalstu valūtas iespējas līgumi nav jāiekļauj ārvalstu valūtas tīrās atklātās pozīcijas aprēķinā.
5.6. Zelta tīro pozīciju aprēķina tāpat kā ārvalstu valūtas tīro atklāto pozīciju.
5.7. Nosakot ārvalstu valūtas tīro nākotnes pozīciju, banka drīkst iekļaut aprēķinā tikai tādus ārvalstu valūtas atvasinātos līgumus, kuri ārvalstu valūtas pozīcijas ierobežošanai ir noslēgti ar Latvijas Republikas un A zonas valstu kredītiestādēm vai tiek kotēti Latvijas Republikas un A zonas valstubiržās.
5.8. Saliktās valūtas (composite currencies), piemēram, XDR, var sadalīt tās veidojošās valūtās atbilstoši spēkā esošajām kvotām un iekļaut attiecīgās ārvalstu valūtas tīrās atklātās pozīcijas aprēķinā.
5.9. Bankai nav jāiekļauj ārvalstu valūtas tīrās atklātās pozīcijas aprēķinā tie ieguldījumi ārvalstu uzņēmumu pamatkapitālā un subordinētajā kapitālā, kuri, aprēķinot kapitāla pietiekamības rādītāju, ir atskaitīti no pašu kapitāla, ja Komisija tam ir piekritusi.
5.10. Katras ārvalstu valūtas tīro atklāto pozīciju, t.sk. zelta tīro pozīciju, pārvērtē latos pēc Latvijas Bankas noteiktā attiecīgās valūtas un zelta kursa attiecīgajā datumā.
5.11. Bankas ārvalstu valūtas kopējā tīrā pozīcija ir atsevišķu ārvalstu valūtu tīro garo pozīciju summas vai tīro īso pozīciju summas lielākā absolūtā vērtība.
5.12. Ārvalstu valūtas riska kapitāla prasību aprēķina kā 10% no bankas ārvalstu valūtas kopējās tīrās pozīcijas un zelta tīrās pozīcijas absolūtās vērtības kopsummas. Līdz 2004. gada 31. decembrim, aprēķinot ārvalstu valūtas riska kapitāla prasību, ārvalstu valūtas kopējās tīrās pozīcijas un zelta tīrās pozīcijas kopsumma samazināma par 2% no pirmā līmeņa kapitāla un otrā līmeņa kapitāla kopsummas, no kuras atskaitīts saskaņā ar 10.5. punkta nosacījumiem aprēķinātais pašu kapitāla samazinājums.
5.13. Ja saņemta Komisijas piekrišana, ārvalstu valūtas riska kapitāla prasība var tikt aprēķināta kā 5% no savstarpēji cieši saistīto ārvalstu valūtu (closely correlatedcurrencies) sakrītošajām pozīcijām, kas ir latos pārrēķinātu šo valūtu pozīciju mazākā absolūtā vērtība.
5.14. Divas ārvalstu valūtas uzskata par savstarpēji cieši saistītām, ja jebkuru secīgu desmit darbadienu laikā šo valūtu latos pārrēķinātās sakrītošās pozīcijas zaudējumi nepārsniedz 4% no tās vērtības ar varbūtību 99%, ja izmanto trīs gadu novērošanas periodu, vai ar varbūtību 95%, ja izmanto piecu gadu novērošanas periodu. Aprēķinā izmanto iepriekšējo trīs vai piecu gadu attiecīgās valūtas dienas kursu datus.
5.15. Ja bankas ārvalstu valūtas kopējās tīrās pozīcijas un zelta tīrās pozīcijas kopsumma nepārsniedz 2% no bankas pirmā līmeņa kapitāla un otrā līmeņa kapitāla kopsummas, no kuras atskaitīts saskaņā ar 10.5. punkta nosacījumiem aprēķinātais pašu kapitāla samazinājums, kapitāla prasība ārvalstu valūtas riskam nav jāaprēķina.
5.16. Bankai, kura ārvalstu valūtas tīrās atklātās pozīcijas aprēķinā iekļauj attiecīgās ārvalstu valūtas iespējas līgumu tīro delta ekvivalentu, ārvalstu valūtas riska kapitāla prasība, kas aprēķināta saskaņā ar 5.12. punkta nosacījumiem, jāpalielina par ārvalstu valūtas iespējas līgumu gamma riska un vega riska kapitāla prasību, kas aprēķinātas saskaņā ar delta–plus metodi (sk. 4. pielikumu).
5.17. Bankai, kura ārvalstu valūtas tīrās atklātās pozīcijas aprēķinā neiekļauj attiecīgās ārvalstu valūtas iespējas līgumu tīro delta ekvivalentu, ārvalstu valūtas riska kapitāla prasība, kas aprēķināta saskaņā ar 5.12. punkta nosacījumiem, jāpalielina par ārvalstu valūtas iespējas līgumu kapitāla prasību, kas aprēķināta saskaņā ar iespējas līgumu kapitāla prasības aprēķina vienkāršo metodi (sk. 5. pielikumu).
5.18. Ārvalstu valūtas tīrā atklātā pozīcija, t.sk. zelta tīrā pozīcija, nedrīkst pārsniegt 10% no pirmā līmeņa kapitāla un otrā līmeņa kapitāla kopsummas, no kuras atskaitīts saskaņā ar 10.5. punkta nosacījumiem aprēķinātais pašu kapitāla samazinājums. Ārvalstu valūtas kopējās tīrās pozīcijas un zelta tīrās pozīcijas kopsumma nedrīkst pārsniegt 20% no pirmā līmeņa kapitāla un otrā līmeņa kapitāla kopsummas, no kuras atskaitīts saskaņā ar 10.5. punkta nosacījumiem aprēķinātais pašu kapitāla samazinājums.
6. Pozīcijas risks
Pozīciju aprēķināšana
6.1. Parāda vērtspapīra vai kapitāla vērtspapīra tīrā pozīcija ir starpība starp attiecīgā vērtspapīra garajām un īsajām pozīcijām.
6.2. Atvasinātais līgums, kura bāzes aktīvs ir parāda vērtspapīrs vai kapitāla vērtspapīrs, pozīcijas riska kapitāla prasības aprēķinā jāiekļauj kā bāzes aktīva pozīcija, ko var savstarpēji ieskaitīt ar attiecīgā vērtspapīra pozīciju.
6.3. Biržā tirgotie procentu nākotnes līgumi, ārpusbiržas procentu nākotnes līgumi un parāda vērtspapīru pirkšanas vai pārdošanas nākotnes līgumi jāiekļauj attiecīgā parāda vērtspapīra tīrās pozīcijas aprēķinā kā garo un īso pozīciju kombinācija. Piemēram:
6.3.1. nopirktais biržā tirgotais procentu nākotnes līgums jāiekļauj aprēķinā kā aizņēmums (īsā pozīcija) ar atlikušo termiņu līdz nākotnes līguma izpildes datumam un aktīvs (garā pozīcija) ar atlikušo termiņu līdz līguma bāzes aktīva dzēšanas datumam. Aprēķinot biržā tirgotā procentu nākotnes līguma specifiskā riska un vispārējā riska kapitāla prasību, abas pozīcijas jārāda kā centrālās valdības diskonta parāda vērtspapīru ar nosacīto 0% riska pakāpi pozīcijas;
6.3.2. pārdotais ārpusbiržas procentu nākotnes līgums jāiekļauj aprēķinā kā garā pozīcija ar atlikušo termiņu līdz līguma izpildes datumam, pieskaitot tam līguma periodu, un īsā pozīcija ar atlikušo termiņu līdz līguma izpildes datumam. Aprēķinot ārpusbiržas procentu nākotnes līguma specifiskā riska un vispārējā riska kapitāla prasību, abas pozīcijas jārāda kā centrālās valdības diskonta parāda vērtspapīru ar nosacīto 0% riska pakāpi pozīcijas;
6.3.3. parāda vērtspapīra pirkšanas nākotnes līgums jāiekļauj aprēķinā kā aizņēmums (īsā pozīcija) ar atlikušo termiņu līdz līguma izpildes datumam un attiecīgā parāda vērtspapīra garā pozīcija ar atlikušo termiņu līdz šā parāda vērtspapīra dzēšanas datumam. Aprēķinot parāda vērtspapīra pirkšanas nākotnes līguma specifiskā riska un vispārējā riska kapitāla prasību, īsā pozīcija jārāda kā centrālās valdības diskonta parāda vērtspapīra ar nosacīto 0% riska pakāpi pozīcija un garā pozīcija kā parāda vērtspapīra ar tā emitentam atbilstošu nosacīto riska pakāpi pozīcija.
6.4. Procentu mijmaiņas līgums, saskaņā ar kuru banka saņem peldošu procentu likmi un maksā fiksētu procentu likmi, jārāda kā vērtspapīra ar peldošu procentu likmi un dzēšanas datumu, kas vienāds ar nākamo procentu likmes pārskatīšanas datumu, garā pozīcija un vērtspapīra ar fiksētu procentu likmi un atlikušo termiņu līdz mijmaiņas līguma beigu datumam īsā pozīcija. Abas pozīcijas jārāda kā centrālās valdības diskonta parāda vērtspapīru ar nosacīto 0% riska pakāpi pozīcijas.
6.5. Iespējas līgumi jāiekļauj tīrās pozīcijas aprēķinā kā bāzes aktīva delta ekvivalents, ja Komisija piekritusi iespējas līgumu vērtēšanas modeļa izmantošanai.
6.6. Bankai, kurai Komisija nav devusi piekrišanu iespējas līgumu vērtēšanas modeļa izmantošanai, iespējas līgumi nav jāiekļauj bāzes aktīva tīrās pozīcijas aprēķinā.
6.7. Biržā tirgotās garantijas jāiekļauj tīrās pozīcijas aprēķinā tāpat kā iespējas līgumi.
6.8. Vērtspapīri vai garantētas īpašuma tiesības uz vērtspapīriem, kuri ir pārdoti saskaņā ar līgumu par aktīvu pārdošanu ar atpirkšanu vai aizdoti saskaņā ar vērtspapīru aizdevuma darījumu, jāiekļauj attiecīgā vērtspapīra pozīcijā.
6.9. Aprēķinot parāda vērtspapīra vai kapitāla vērtspapīra tīro pozīciju, var savstarpēji ieskaitīt viena veida vērtspapīru pretējās pozīcijas. Viena veida vērtspapīri ir parāda vērtspapīri vai kapitāla vērtspapīri:
6.9.1. kurus emitējis viens un tas pats emitents;
6.9.2. kuriem noteikti vienādi līdzekļu atgūšanas nosacījumi emitenta bankrota, likvidācijas vai pašlikvidācijas gadījumā;
6.9.3. kuri ir denominēti vienā un tajā pašā valūtā;
6.9.4. parāda vērtspapīri, kuriem ir vienāds līdz dzēšanai atlikušais termiņš un procentu maksājumu grafiks;
6.9.5. parāda vērtspapīri, kuriem fiksētas procentu likmes gadījumā ir vienāda kupona procentu likme (starpība nepārsniedz 0,15 procentu punktu) vai peldošas procentu likmes gadījumā ir vienāds pamats (piem., LIBOR) procentu likmes noteikšanai.
6.10. Pirms attiecīgā vērtspapīra pozīciju savstarpējās ieskaitīšanas saskaņā ar 6.9. punkta nosacījumiem banka ar Komisijas piekrišanu var savstarpēji pilnīgi ieskaitīt viena veida atvasināto līgumu pozīcijas, ja šiem atvasinātajiem līgumiem ir viens un tas pats bāzes aktīvs, pozīcijām ir vienāda nominālvērtība un tās ir denominētas vienā un tajā pašā valūtā, kā arī ir ievērotas šādas prasības:
6.10.1. starpība starp biržā tirgoto nākotnes līgumu pozīciju slēgšanas datumiem nepārsniedz septiņas dienas;
6.10.2. mijmaiņas līgumu un ārpusbiržas procentu nākotnes līgumu bāzes aktīviem:
6.10.2.1. fiksētas procentu likmes gadījumā ir vienāda kupona procentu likme (starpība nepārsniedz 0,15 procentu punktu) vai peldošas procentu likmes gadījumā ir vienāds pamats (piem., LIBOR) procentu likmes noteikšanai;
6.10.2.2. līdz fiksētas procentu likmes pozīcijas slēgšanai atlikušā termiņa un līdz peldošas procentu likmes kārtējai pārskatīšanai atlikušā termiņa starpība nepārsniedz 6.1. tabulā norādīto pieļaujamo termiņu starpību.
6.1. tabula. Pieļaujamā termiņu starpība
|
Nr. p.k. |
Atlikušais termiņš |
Pieļaujamā termiņu starpība |
|
1. |
<1 mēnesis |
0 |
|
2. |
³1 mēnesis <1 gads |
7 dienas |
|
3. |
³1 gads |
30 dienu |
6.11. Banka, kas vērtspapīra tīrās pozīcijas aprēķinā neiekļauj attiecīgā vērtspapīra iespējas līgumu delta ekvivalentu, nevar attiecināt 6.10. punktā norādīto pozīciju savstarpējās ieskaitīšanas kārtību uz šo iespējas līgumu pozīcijām.
6.12. Visas tīrās pozīcijas, kuras noteiktas ārvalstu valūtā, jāpārrēķina latos pēc Latvijas Bankas noteiktā ārvalstu valūtas kursa.
Parāda vērtspapīri
6.13. Bankai jāaprēķina un jāievēro bankas tirdzniecības portfelī iekļauto parāda vērtspapīru specifiskā riska un vispārējā riska kapitāla prasība un procentu, procentu indeksu, ārvalstu valūtas un preču atvasināto līgumu un bankas pašas emitēto parāda vērtspapīru vispārējā riska kapitāla prasība. (Specifiskā riska un vispārējā riska kapitāla prasības aprēķināšanas nosacījumus atkarībā no bāzes aktīva sk. 6. pielikumā.)
6.14. Parāda vērtspapīru tīrās pozīcijas jāklasificē atkarībā no valūtas, kurā denominēts parāda vērtspapīrs, un jāaprēķina specifiskā riska un vispārējā riska kapitāla prasība katras valūtas pozīcijām atsevišķi.
6.15. Parāda vērtspapīru specifiskā riska kapitāla prasību aprēķina šādi:
6.15.1. katru tīro pozīciju, kas ir aprēķināta saskaņā ar 6.1.—6.12. punkta nosacījumiem, iedala vienā no 6.2. tabulā norādītajām kategorijām un reizina ar attiecīgosvēršanas likmi;
6.15.2. summē svērto garo un svērto īso pozīciju absolūtās vērtības.
6.2. tabula. Parāda vērtspapīru specifiskā riska kapitāla prasības aprēķinā izmantojamās svēršanas likmes
|
Nr. |
Kategorija |
Svēršanas |
|
p.k. |
likme (%) |
|
|
1. |
Latvijas Republikas un A zonas valstu centrālo valdību |
|
|
un centrālo banku parāda vērtspapīri, kuriem |
||
|
ir nosacītā 0% riska pakāpe |
0,00 |
|
|
2. |
Kvalificētie parāda vērtspapīri, kuriem līdz dzēšanai |
|
|
atlikušais termiņš ir līdz 6 mēnešiem (ieskaitot) |
0,25 |
|
|
3. |
Kvalificētie parāda vērtspapīri, kuriem līdz dzēšanai |
|
|
atlikušais termiņš ir no 6 mēnešiem |
||
|
līdz 24 mēnešiem (ieskaitot) |
1,00 |
|
|
4. |
Kvalificētie parāda vērtspapīri, kuriem līdz dzēšanai |
|
|
atlikušais termiņš ir ilgāks par 24 mēnešiem |
2,00 |
|
|
5. |
Citi parāda vērtspapīri |
10,00 |
6.16. Kvalificētie parāda vērtspapīri ir parāda vērtspapīri:
6.16.1. kuru emitentu nosacītā riska pakāpe saskaņā ar 4.4.2. punkta nosacījumiem ir 20%;
6.16.2. kuru emitentam vismaz divas starptautiskās reitinga aģentūras piešķīrušasinvestīciju līmeņa reitingu (investment grade rating) (starptautisko reitinga aģentūru minimālos reitingus, kuri atbilst investīciju līmenim, sk. 7. pielikumā) un neviena cita starptautiskā reitinga aģentūra nav piešķīrusi reitingu zem investīciju līmeņa. Ja kaut viena no šīm aģentūrām samazina emitenta reitingu zem investīciju līmeņa, attiecīgais parāda vērtspapīrs specifiskā riska kapitāla prasības aprēķināšanas nolūkā nekavējoties jāpārklasificē kategorijā “Citi parāda vērtspapīri”.
6.17. Parāda vērtspapīru vispārējā riska kapitāla prasību nosaka, lietojot termiņa metodi vai — ar Komisijas piekrišanu — ilguma metodi.
6.18. Izvēlētā parāda vērtspapīru vispārējā riska kapitāla prasības aprēķina metode (ilguma metode vai termiņa metode) jālieto konsekventi, un to var mainīt tikai izņēmuma gadījumā, ja Komisija tam ir piekritusi.
Termiņa metode
6.19. Parāda vērtspapīru vispārējā riska kapitāla prasību, lietojot termiņa metodi, aprēķina šādi:
6.19.1. visas parāda vērtspapīru tīrās pozīcijas izvieto attiecīgās zonas attiecīgajā termiņa intervālā (sk. 6.3. tabulu) atkarībā no tā:
6.19.1.1. vai parāda vērtspapīra kupona procentu likme ir mazāka, vienāda vai lielāka par 3%. Diskonta vērtspapīrus izvieto ailē “Kupona procentu likme mazāka par 3%”;
6.19.1.2. kāds ir atlikušais termiņš. Parāda vērtspapīriem ar fiksētu procentu likmi tas ir līdz vērtspapīra dzēšanai atlikušais termiņš. Parāda vērtspapīriem ar peldošu procentu likmi tas ir līdz kārtējai procentu likmes pārskatīšanai atlikušais termiņš;
6.19.2. visas parāda vērtspapīru tīrās pozīcijas reizina ar svēršanas likmi, kas atbilst termiņa intervālam, kurā iekļauj attiecīgo tīro pozīciju;
6.19.3. katram termiņa intervālam aprēķina svērto garo pozīciju summu un svērto īso pozīciju summu;
6.19.4. katrā termiņa intervālā nosaka svērto garo pozīciju un svērto īso pozīciju summu sakrītošo svērto pozīciju kā svērto garo pozīciju un svērto īso pozīciju summu mazāko absolūto vērtību. Termiņa intervāla svērto garo (īso) pozīciju summas pārsniegums pār termiņa intervāla sakrītošo svērto pozīciju ir termiņa intervāla nesakrītošā svērtā garā (īsā) pozīcija;
6.19.5. katras zonas termiņa intervālu nesakrītošās svērtās garās pozīcijas un svērtās īsās pozīcijas summē atsevišķi un katrai zonai aprēķina zonas sakrītošo svērto pozīciju kā termiņa intervālu nesakrītošo svērto garo pozīciju un nesakrītošo svērto īso pozīciju summu mazāko absolūto vērtību. Zonas nesakrītošo svērto garo (īso) pozīciju summas pārsniegums pār zonas sakrītošo svērto pozīciju ir zonas nesakrītošā svērtā garā (īsā) pozīcija;
6.19.6. sakrītošo svērto pozīciju starp I un II zonu aprēķina kā I zonas nesakrītošās svērtās garās (īsās) pozīcijas un II zonas nesakrītošās svērtās īsās (garās) pozīcijas mazāko absolūto vērtību;
6.19.7. ja pēc sakrītošās svērtās pozīcijas starp I un II zonu noteikšanas nesakrītošā svērtā garā (īsā) pozīcija paliek II zonā, aprēķina sakrītošo svērto pozīciju starp II un III zonu kā II zonas nesakrītošās svērtās garās (īsās) pozīcijas un III zonas nesakrītošās svērtās īsās (garās) pozīcijas mazāko absolūto vērtību;
6.19.8. ja pēc sakrītošās svērtās pozīcijas starp I un II zonu noteikšanas nesakrītošā svērtā garā (īsā) pozīcija paliek I zonā un pēc sakrītošās svērtās pozīcijas noteikšanas starp II un III zonu nesakrītošā svērtā īsā (garā) pozīcija paliek III zonā, aprēķina sakrītošo svērto pozīciju starp I un III zonu kā I zonas nesakrītošās svērtās garās (īsās) pozīcijas un III zonas nesakrītošās svērtās īsās (garās) pozīcijas mazāko absolūto vērtību;
6.19.9. summē atlikušās nesakrītošās svērtās pozīcijas visās zonās;
6.19.10. parāda vērtspapīru vispārējā riska kapitāla prasību aprēķina kā šādu lielumu summu:
6.19.10.1. 10% no katra termiņa intervāla sakrītošās svērtās pozīcijas;
6.19.10.2. 40% no I zonas sakrītošās svērtās pozīcijas;
6.19.10.3. 30% no II zonas sakrītošās svērtās pozīcijas;
6.19.10.4. 30% no III zonas sakrītošās svērtās pozīcijas;
6.19.10.5. 40% no sakrītošās svērtās pozīcijas starp I un II zonu;
6.19.10.6. 40% no sakrītošās svērtās pozīcijas starp II un III zonu;
6.19.10.7. 150% no sakrītošās svērtās pozīcijas starp I un III zonu;
6.19.10.8. atlikušo nesakrītošo svērto pozīciju kopsumma.
6.3. tabula. Zonas, termiņu intervāli un svēršanas likmes parāda vērtspapīru vispārējā riska kapitāla prasības aprēķināšanai, lietojot termiņa metodi
|
Zona |
Termiņa intervāls . |
Svēršanas |
Paredzētās |
|
|
kupona procentu |
kupona procentu |
likme |
procentu |
|
|
likme 3% |
likme mazāka |
(%) |
likmju |
|
|
un lielāka |
par 3% |
izmaiņas |
||
|
(%) |
||||
|
I |
0²1 mēnesis |
0²1 mēnesis |
0,00 |
— |
|
>1²3 mēneši |
>1²3 mēneši |
0,20 |
1,00 |
|
|
>3²6 mēneši |
>3²6 mēneši |
0,40 |
1,00 |
|
|
>6²12 mēnešu |
>6²12 mēnešu |
0,70 |
1.00 |
|
|
II |
>1² 2 gadi |
>1² 1,9 gadi |
1.25 |
0.90 |
|
>2² 3 gadi |
>1,9² 2,8 gadi |
1,75 |
0,80 |
|
|
>3² 4 gadi |
>2,8² 3,6 gadi |
2.25 |
0,75 |
|
|
III |
>4² 5 gadi |
>3,6² 4,3 gadi |
2,75 |
0,75 |
|
>5² 7 gadi |
>4,3² 5,7 gadi |
3.25 |
0,70 |
|
|
>7² 10 gadu |
>5,7² 7,3 gadi |
3,75 |
0.65 |
|
|
>10² 15 gadu |
>7,3² 9,3 gadi |
4,50 |
0,60 |
|
|
>15² 20 gadu |
>9,3² 10,6 gadi |
5,25 |
0.60 |
|
|
>20 gadu |
>10,6² 12 gadu |
6,00 |
0,60 |
|
|
— |
>12² 20 gadu |
8.00 |
0.60 |
|
|
— |
>20 gadu |
12,50 |
0,60 |
6.20. Procentu, procentu indeksu, ārvalstu valūtas un preču atvasināto līgumu vispārējā riska kapitāla prasību, lietojot termiņa metodi, aprēķina tāpat kā parāda vērtspapīriem.
Ilguma metode
6.21. Parāda vērtspapīru vispārējā riska kapitāla prasību, lietojot ilguma metodi, aprēķina šādi:
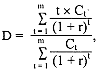
6.21.1. katram parāda vērtspapīram aprēķina modificēto (pārveidoto) ilgumu (modified duration) saskaņā ar šādu formulu.
|
D |
|
| Dm = |
———— , |
|
1 + r |
kur
kur:
D — ilgums,
Dm — modificētais ilgums,
r — ienesīgums līdz dzēšanai atlikušajā termiņā (yield to maturity), kas aprēķināts, pamatojoties uz parāda vērtspapīra tirgus vērtību, un, ja šim parāda vērtspapīram ir peldoša procentu likme, pieņemot, ka pamatsumma tiek samaksāta kārtējās procentu likmes pārskatīšanas datumā,
Ct — naudas plūsma t periodā,
m — līdz dzēšanai atlikušais periodu skaits fiksētas procentu likmes parāda vērtspapīriem vai līdz kārtējai procentu likmes pārskatīšanai atlikušais periodu skaits peldošas procentu likmes parāda vērtspapīriem;
6.21.2. katru atsevišķo parāda vērtspapīra pozīciju novieto vienā no 6.4. tabulā parādītajām zonām atkarībā no modificētā ilguma un aprēķina modificētā ilguma svērto pozīciju kā pozīcijas tirgus vērtību, kas reizināta ar tās modificēto ilgumu un paredzēto procentu likmju izmaiņu;
6.21.3. aprēķina katras zonas modificētā ilguma svērto garo pozīciju summu un modificētā ilguma svērto īso pozīciju summu. Zonas modificētā ilguma svērto garo pozīciju un modificētā ilguma svērto īso pozīciju summu mazākā absolūtā vērtība ir attiecīgās zonas sakrītošā modificētā ilguma svērtā pozīcija;
6.21.4. zonas modificētā ilguma svērto garo (īso) pozīciju kopsummas pārsniegums pār zonas sakrītošo modificētā ilguma svērto pozīciju veido šīs zonas nesakrītošo modificētā ilguma svērto garo (īso) pozīciju;
6.21.5. sakrītošo modificētā ilguma svērto pozīciju starp I un II zonu aprēķina kā I zonas nesakrītošās modificētā ilguma svērtās garās (īsās) pozīcijas un II zonas nesakrītošās modificētā ilguma svērtās īsās (garās) pozīcijas mazāko absolūto vērtību;
6.21.6. ja pēc sakrītošās modificētā ilguma svērtās pozīcijas starp I un II zonu noteikšanas nesakrītošā modificētā ilguma svērtā garā (īsā) pozīcija paliek II zonā, aprēķina sakrītošo modificētā ilguma svērto pozīciju starp II un III zonu kā II zonas nesakrītošās modificētā ilguma svērtās garās (īsās) pozīcijas un III zonas nesakrītošās modificētā ilguma svērtās īsās (garās) pozīcijas mazāko absolūto vērtību;
6.21.7. ja pēc sakrītošās modificētā ilguma svērtās pozīcijas starp I un II zonu nesakrītošā modificētā ilguma svērtā garā (īsā) pozīcija paliek I zonā un pēc sakrītošās modificētā ilguma svērtās pozīcijas starp II un III zonu noteikšanas nesakrītošā modificētā ilguma svērtā īsā (garā) pozīcija paliek III zonā, aprēķina sakrītošo modificētā ilguma svērto pozīciju starp I un III zonu kā I zonas nesakrītošās modificētā ilguma svērtās garās (īsās) pozīcijas un III zonas nesakrītošās modificētā ilguma svērtās īsās (garās) pozīcijas mazāko absolūto vērtību;
6.21.8. summē visas atlikušās nesakrītošās modificētā ilguma svērtās pozīcijas visās zonās;
6.21.9. parāda vērtspapīru vispārējā riska kapitāla prasību aprēķina kā šādu lielumu summu:
6.21.9.1. 2% no sakrītošajām modificētā ilguma svērtajām pozīcijām katrā zonā;
6.21.9.2. 40% no sakrītošās modificētā ilguma svērtās pozīcijas starp I un II zonu;
6.21.9.3. 40% no sakrītošās modificētā ilguma svērtās pozīcijas starp II un III zonu;
6.21.9.4. 150% no sakrītošās modificētā ilguma svērtās pozīcijas starp I un III zonu;
6.21.9.5. atlikušo nesakrītošo modificētā ilguma svērto pozīciju kopsumma.
6.4. tabula. Zonas, modificētais ilgums un paredzētās procentu likmju izmaiņas parāda vērtspapīru vispārējā riska kapitāla prasības aprēķināšanai, lietojot ilguma metodi
|
Zona |
Modificētais ilgums (gados) |
Paredzētās procentu |
|
|
likmju izmaiņas (%) |
|||
|
I |
>0 ²1 |
1,0 |
|
|
II |
>1 ² 3,6 |
0,85 |
|
|
III |
> 3,6 |
0,7 |
6.22. Procentu, procentu indeksu, ārvalstu valūtas un preču atvasināto līgumu vispārējā riska kapitāla prasību, lietojot ilguma metodi, aprēķina tāpat kā parāda vērtspapīriem.
6.23. Parāda vērtspapīru un procentu, procentu indeksu, ārvalstu valūtas un preču atvasināto līgumu kapitāla prasību aprēķina kā to kapitāla prasību summu, kuras aprēķinātas saskaņā ar 6.15., 6.19. un 6.20. vai 6.21. un 6.22. punkta nosacījumiem.
6.24. Bankai, kura parāda vērtspapīru tīro pozīciju, aprēķinā iekļauj iespējas līgumu delta ekvivalentu, parāda vērtspapīru specifiskā riska un vispārējā riska kapitāla prasība, kas aprēķinātas saskaņā ar 6.23. punkta nosacījumiem, jāpalielina par parāda vērtspapīru iespējas līgumu gamma riska un vega riska kapitāla prasību, kas aprēķinātas saskaņā ar delta—plus metodi (sk. 4. pielikumu).
6.25. Bankai, kura parāda vērtspapīru tīro pozīciju aprēķinā neiekļauj iespējas līgumu delta ekvivalentu, parāda vērtspapīru specifiskā riska un vispārējā riska kapitāla prasība, kas aprēķinātas saskaņā ar 6.23. punkta nosacījumiem, jāpalielina par parāda vērtspapīru iespējas līgumu kapitāla prasību, kura aprēķināta saskaņā ar iespējas līgumu kapitāla prasības aprēķina vienkāršo metodi (sk. 5. pielikumu).
Kapitāla vērtspapīri
6.26. Bankai jāaprēķina un jāievēro kapitāla vērtspapīru specifiskā riska un vispārējā riska kapitāla prasība, izņemot tos kapitāla vērtspapīrus, kuri veido pašu kapitāla samazinājumu, un citu finansu instrumentu, kuru cena ir atkarīga no akciju cenu izmaiņām (akciju indeksu atvasinātie līgumi u.c.), specifiskā riska un vispārējā riska kapitāla prasība.
6.27. Kapitāla vērtspapīru pozīcijas atkarībā no tā, kādas valsts uzņēmumu reģistrā vai analogā institūcijā reģistrēts šo vērtspapīru emitents, jāapvieno grupās (tālāk tekstā — nacionālais tirgus). Kapitāla vērtspapīru specifiskā riska un vispārējā riska kapitāla prasību aprēķina katram nacionālajam tirgum atsevišķi.
6.28. Kapitāla vērtspapīru specifiskā riska kapitāla prasību aprēķina šādi:
6.28.1. aprēķina katra kapitāla vērtspapīra tīro garo pozīciju vai tīro īso pozīciju saskaņā ar 6.1.–6.11. punkta nosacījumiem;
6.28.2. aprēķina katra nacionālā tirgus kopējo pozīciju, kas ir attiecīgā nacionālā tirgus kapitāla vērtspapīru tīro garo pozīciju un tīro īso pozīciju absolūto vērtību summa;
6.28.3. aprēķina kapitāla vērtspapīru specifiskā riska kapitāla prasību attiecīgajā nacionālajā tirgū:
6.28.3.1. kā 10% no B zonas valsts nacionālā tirgus un Latvijas Republikā reģistrēto kapitāla vērtspapīru kopējās pozīcijas;
6.28.3.2. kā 5% no A zonas valsts nacionālā tirgus kapitāla vērtspapīru kopējās pozīcijas;
6.28.3.3. neņemot vērā 6.28.3.2. punkta nosacījumus, augsti likvīdu akciju diversificētā portfeļa kapitāla prasību aprēķina kā 2.5% no šo akciju kopējās pozīcijas. Akciju portfelis uzskatāms par diversificētu, ja vienas šajā portfelī iekļautas akcijas tīrā pozīcija nepārsniedz 5% no kopējās kapitāla vērtspapīru pozīcijas, kas ir visu nacionālo tirgu kapitāla vērtspapīru kopējo pozīciju kopsumma. Par augsti likvīdām akcijām uzskatāmas 8. pielikumā uzskaitītajos akciju indeksos iekļautās akcijas.
6.29. Kapitāla vērtspapīru vispārējā riska kapitāla prasību aprēķina kā 10% no attiecīgā nacionālā tirgus kopējās tīrās pozīcijas, kas ir kapitāla vērtspapīru tīro garo pozīciju summas un tīro īso pozīciju summas starpības absolūtā vērtība.
6.30. Akciju indeksu atvasināto līgumu vispārējā riska kapitāla prasību aprēķina tāpat kā kapitāla vērtspapīriem. Akciju indeksu atvasinātos līgumus iekļauj vispārējā riska kapitāla prasības aprēķinā kā vienu attiecīgā indeksa pozīciju. Akciju indeksu atvasināto līgumu specifiskā riska kapitāla prasība nav jāaprēķina.
6.31. Kapitāla vērtspapīru specifiskā riska un vispārējā riska kapitāla prasību nosaka kā visu nacionālo tirgu kapitāla vērtspapīru kapitāla prasību, kas aprēķinātas saskaņā ar 6.28.–6.30. punkta nosacījumiem, kopsummu.
6.32. Bankai, kura kapitāla vērtspapīru tīro pozīciju aprēķinā iekļauj attiecīgā vērtspapīra iespējas līgumu delta ekvivalentu, kapitāla vērtspapīru specifiskā riska un vispārējā riska kapitāla prasība, kas aprēķinātas saskaņā ar 6.31. punkta nosacījumiem, jāpalielina par gamma riska un vega riska kapitāla prasību, kas aprēķinātas saskaņā ar delta–plus metodi (sk. 4. pielikumu).
6.33. Bankai, kura kapitāla vērtspapīru tīro pozīciju aprēķinā neiekļauj iespējas līgumu delta ekvivalentu, kapitāla vērtspapīru specifiskā riska un vispārējā riska kapitāla prasība, kas aprēķinātas saskaņā ar 6.31. punkta nosacījumiem, jāpalielina par kapitāla vērtspapīru iespējas līgumu kapitāla prasību, kas aprēķināta saskaņā ar iespējas līgumu kapitāla prasības aprēķina vienkāršo metodi (sk. 5. pielikumu).
7. Preču risks
7.1. Preču risks ir iespēja ciest zaudējumus, kādas preču pozīcijas pārvērtēšanas dēļ, mainoties attiecīgās preces cenai. Prece šo noteikumu izpratnē ir ķermeniska lieta, kuru tirgo vai var tirgot otrreizējā tirgū, piemēram, lauksaimniecības produkti, nafta, dārgmetāli (izņemot zeltu).
7.2. Visām precēm un preču atvasinātajiem līgumiem jābūt iekļautiem bankas tirdzniecības portfelī.
7.3. Preču atvasinātos līgumus preču riska kapitāla prasības aprēķinā iekļauj kā attiecīgās preces pozīciju šādi:
7.3.1. biržā tirgotos un ārpusbiržas preču nākotnes līgumus — saskaņā ar atvasinātā līguma nosacīto pamatvērtību. Prece, kura bankai saskaņā ar atvasinātā līguma nosacījumiem jāsaņem nākotnē, jāuzrāda kā garā pozīcija ar atlikušo termiņu līdz preču atvasinātā līguma izpildes datumam. Prece, kuru banka piegādās nākotnē, jāuzrāda kā īsā pozīcija ar atlikušo termiņu līdz preču atvasinātā līguma izpildes datumam;
7.3.2. preču mijmaiņas līgumus, kuros vienam darījuma partnerim norēķini noteikti fiksētās cenās, bet otram darījuma partnerim — tekošajās tirgus cenās, — saskaņā ar izvēlēto preču riska kapitāla prasības aprēķināšanas metodi. Lietojot vienkāršoto metodi (sk. 7.8. punktu), aprēķinā jāiekļauj preču mijmaiņas līguma nosacītās pamatvērtības un šajā līgumā paredzēto maksājumu skaita reizinājums. Lietojot termiņa metodi (sk. 7.9. punktu), preču mijmaiņas līgumi aprēķinā jāiekļauj kā attiecīgās preces pozīciju virkne, kurā katras pozīcijas apjoms ir vienāds ar līguma nosacīto pamatvērtību un katra pozīcija tiek iekļauta termiņa intervālā, kas atbilst līdz katram līgumā paredzētajam maksājuma datumam atlikušajam termiņam. Ja banka maksā fiksēto cenu, bet maksājumus saņem saskaņā ar peldošo cenu, šīs pozīcijas ir garās. Ja banka maksājumus saņem saskaņā ar fiksēto cenu, bet maksā saskaņā ar peldošo cenu, šīs pozīcijas ir īsās;
7.3.3. preču mijmaiņas līgumus, kuri noslēgti, pamatojoties uz atšķirīgām precēm, iekļauj katras preces pozīcijas aprēķinā;
7.3.4. preču iespējas līgumus — kā attiecīgās preces delta ekvivalentu, ja Komisija ir piekritusi bankas preču iespējas līgumu vērtēšanas modeļa izmantošanai. Bankai, kurai Komisija nav devusi piekrišanu iespējas līgumu vērtēšanas modeļa izmantošanai, iespējas līgumi nav jāiekļauj attiecīgās preces tīrās pozīcijas aprēķinā;
7.3.5. biržā tirgotās garantijas, kuru bāzes aktīvs ir prece, — tāpat kā preču iespējas līgumus (sk. 7.3.4. punktu);
7.3.6. citus atvasinātos līgumus, kuru bāzes aktīvs ir prece, — kā garo pozīciju ar atlikušo termiņu līdz preču atvasinātā līguma izpildes datumam, ja šādi līgumi paredz, ka banka saņems preci nākotnē, un kā īso pozīciju ar atlikušo termiņu līdz preču atvasinātā līguma izpildes datumam, ja bankai saskaņā ar līgumu ir pienākums piegādāt preci nākotnē.
7.4. Bankai tās preces vai garantētās īpašuma tiesības attiecībā uz precēm, kuras tā pārdod, noslēdzot līgumus par preču pārdošanu ar atpirkšanu, vai aizdod saskaņā ar preču aizdevuma līgumu, jāiekļauj attiecīgās preces pozīcijas aprēķinā.
7.5. Pirms preču pozīcijas noteikšanas banka var savstarpēji ieskaitīt viena veida atvasināto līgumu pozīcijas, ja šiem līgumiem ir viens un tas pats bāzes aktīvs (prece), vienāds bāzes aktīva daudzums, vienāds termiņš un tie ir denominēti vienā valūtā.
7.6. Banka var izvēlēties vienu no divām preču riska kapitāla prasības aprēķina metodēm, t.i., vienkāršoto metodi vai termiņa metodi. Izvēlētā metode jālieto konsekventi. Ja banka vēlas mainīt aprēķina metodi, tai jāsaņem Komisijas piekrišana.
7.7. Katras preces pozīcija jānosaka standarta mērvienībās (barelos, gramos, tonnās u.tml.). Ja preces tirgus cena, saskaņā ar kuru aprēķina preču riska kapitāla prasību attiecīgajai precei, ir noteikta ārvalstu valūtā, tā jāpārrēķina latos pēc Latvijas Bankas noteiktā ārvalstu valūtas kursa.
7.8. Lietojot vienkāršoto metodi, preču riska kapitāla prasību aprēķina šādi:
7.8.1. aprēķina attiecīgās preces tīro pozīciju kā starpību starp attiecīgās preces garo pozīciju un īso pozīciju absolūtajām vērtībām. Ja šī starpība ir pozitīva, tā ir attiecīgās preces tīrā garā pozīcija, bet, ja negatīva, — tīrā īsā pozīcija;
7.8.2. aprēķina attiecīgās preces kopējo pozīciju kā šīs preces garo pozīciju un īso pozīciju absolūto vērtību kopsummu;
7.8.3. aprēķina attiecīgās preces preču riska kapitāla prasību kā šādu lielumu kopsummu:
7.8.3.1. 15% no attiecīgās preces tīrās pozīcijas, kas reizināta ar preces tirgus cenu pārskata datumā;
7.8.3.2. 3% no attiecīgās preces kopējās pozīcijas, kas reizināta ar preces tirgus cenu pārskata datumā;
7.8.4. aprēķina kopējo preču riska kapitāla prasību kā saskaņā ar 7.8.1.—7.8.3. punkta nosacījumiem aprēķināto katras preces preču riska kapitāla prasību kopsummu.
7.9. Lietojot termiņa metodi, preču riska kapitāla prasību aprēķina šādi:
7.9.1. katras preces pozīcijas izvieto attiecīgajos termiņa intervālos saskaņā ar atlikušo termiņu līdz noteiktajam līguma vai darījuma izpildes datumam vai — preču mijmaiņas līgumu gadījumā — līdz maksājumu veikšanas datumiem, lietojot 7.1. tabulā minētos termiņa intervālus;
7.9.2. katrā termiņa intervālā novērtē garo pozīciju summas un īso pozīciju summas sakrītošās pozīcijas un aprēķina sakrītošo pozīciju kapitāla prasību kā sakrītošās garās pozīcijas un sakrītošās īsās pozīcijas kopsummas, attiecīgā termiņa intervāla cenu svārstību faktora un attiecīgās preces tirgus cenas pārskata datumā reizinājumu;
7.9.3. katrā termiņa intervālā novērtē nesakrītošo pozīciju (garo vai īso) kā attiecīgā termiņa intervāla garo pozīciju summas vai īso pozīciju summas pārsniegumu pār šā termiņa intervāla sakrītošo garo pozīciju vai sakrītošo īso pozīciju un novirza to uz nākamo termiņa intervālu, kurā ir pretējā (īsā vai garā) nesakrītošā pozīcija. Katrā termiņa intervālā aprēķina novirzītās nesakrītošās pozīcijas kapitāla prasību kā 0.6% no novirzītās nesakrītošās pozīcijas apjoma, to intervālu skaita, par kuriem tā tika novirzīta, un attiecīgās preces tirgus cenas pārskata datumā reizinājumu;
7.9.4. pēc termiņa intervāla nesakrītošās pozīcijas novirzīšanas atkārtoti veic pozīciju saskaņošanu tajā termiņa intervālā, uz kuru tika novirzīta nesakrītošā pozīcija, un aprēķina starp termiņu intervāliem sakrītošo pozīciju kapitāla prasību saskaņā ar 7.9.2. punkta nosacījumiem;
7.9.5. pēc pozīciju saskaņošanas visos termiņa intervālos (ieskaitot pozīciju novirzīšanu uz citu termiņa intervālu) paliek atlikusī nesakrītošā pozīcija, kas ir attiecīgās preces tīrā pozīcija. Tīrās pozīcijas kapitāla prasību aprēķina kā 15% no attiecīgās preces tīrās pozīcijas, kas reizināta ar attiecīgās preces tirgus cenu pārskata datumā;
7.9.6. aprēķina katras preces preču riska kapitāla prasību kā saskaņā ar 7.9.2.–7.9.5. punkta nosacījumiem aprēķināto kapitāla prasību kopsummu;
7.9.7. aprēķina kopējo preču riska kapitāla prasību kā saskaņā ar 7.9.6. punkta nosacījumiem aprēķināto katras preces preču riska kapitāla prasību kopsummu.
7.1. tabula. Preču riska kapitāla prasību aprēķinā izmantojamie termiņa intervāli un cenu svārstību faktors
|
Nr. p.k. |
Termiņa intervāli |
Cenu svārstību faktors (%) |
|
|
1. |
0 ²1 mēnesis1 |
1,5 |
|
|
2. |
>1 ² 3 mēneši |
1,5 |
|
|
3. |
>3 ² 6 mēneši |
1,5 |
|
|
4. |
>6 ² 12 mēnešu |
1,5 |
|
|
5. |
>1 ² 2 gadi |
1,5 |
|
|
6. |
>2 ² 3 gadi |
1,5 |
|
|
7. |
>3 gadi |
1,5 |
1 Šajā termiņa intervālā iekļauj fiziskos krājumus.
7.10. Bankai, kura iekļauj preču pozīcijas aprēķinā attiecīgo preču iespējas līgumu delta ekvivalentu, preču riska kapitāla prasība, kas aprēķināta saskaņā ar 7.8. vai 7.9. punkta nosacījumiem, jāpalielina par iespējas līgumu gamma riska un vega riska kapitāla prasību, kas aprēķinātas saskaņā ar delta–plus metodi (sk. 4. pielikumu).
7.11. Bankai, kura neiekļauj preču pozīcijas aprēķinā attiecīgo preču iespējas līgumu delta ekvivalentu, preču riska kapitāla prasība, kas aprēķināta saskaņā ar 7.8. vai 7.9. punkta nosacījumiem, jāpalielina par preču iespējas līgumu kapitāla prasību, kura aprēķināta saskaņā ar iespējas līgumu kapitāla prasības aprēķina vienkāršo metodi (sk. 5. pielikumu).
7.12. Jāievēro, ka preču pozīcijas var būt pakļautas arī citiem tirgus riskiem un bankai jāaprēķina kapitāla prasības arī tiem.
7.13. Ja preces īsās pozīcijas termiņš iestājas pirms šīs preces garās pozīcijas termiņa, bankai jāaizsargājas pret likviditātes trūkumu, kas varētu būt raksturīgs dažiem tirgiem.
8. Norēķinu risks
8.1. Norēķinu risks ir risks, kam banka ir pakļauta nenokārtotajos darījumos ar tirdzniecības portfeļa finansu instrumentiem, precēm un preču atvasinātajiem līgumiem, ja bankai par parāda vērtspapīru, kapitāla vērtspapīru vai preču piegādi vai saņemšanu ir attiecīgi jāsaņem nauda vai tā jāmaksā, bet norēķini nav veikti vismaz piecu dienu laikā pēc noteiktā norēķinu datuma un bankai var rasties zaudējumi, kuru lielumu nosaka starpība starp attiecīgo parāda vērtspapīru, kapitāla vērtspapīru vai preču līgumā noteikto norēķinu cenu un to tekošo tirgus cenu.
8.2. Norēķinu riska kapitāla prasību nosaka šādi:
8.2.1. aprēķina starpību starp parāda vērtspapīra, kapitāla vērtspapīra vai preces norēķinu cenu, par kuru darījuma partneri vienojušies, un attiecīgā parāda vērtspapīra, kapitāla vērtspapīra vai preces tirgus cenu. Ja šī starpība nosaka potenciālo zaudējumu summu, bankai jāaprēķina norēķinu riska kapitāla prasība, reizinot potenciālo zaudējumu absolūto vērtību ar darījuma norēķinu termiņa kavējumam atbilstošu A koeficientu (sk. 8.1. tabulu);
8.2.2. ja Komisija piekritusi, banka norēķinu riska kapitāla prasību var aprēķināt darījumiem, par kuriem norēķini nav veikti vismaz piecas dienas, bet ne vēlāk kā 45 dienas pēc datuma, par kuru vienojušies darījuma partneri, reizinot parāda vērtspapīra, kapitāla vērtspapīra vai preces norēķinu cenu, par kuru darījuma partneri vienojušies, ar darījuma norēķinu termiņa kavējumam atbilstošu B koeficientu (sk. 8.1. tabulu). Darījumiem, par kuriem norēķini nav veikti 46 dienas un ilgāk pēc datuma, par kuru vienojušies darījuma partneri, norēķinu riska kapitāla prasība jāaprēķina saskaņā ar 8.2.1. punkta nosacījumiem;
8.2.3. aprēķina saskaņā ar 8.2.1. vai 8.2.2. punkta nosacījumiem aprēķināto norēķinu riska kapitāla prasību kopsummu.
8.1. tabula. Darījuma norēķinu termiņa kavējuma koeficienti
|
Nr. p.k. |
Norēķinu termiņa |
A koeficients |
B koeficients |
|
kavējums (dienās) |
|||
|
1. |
5–15 |
0,08 |
0,005 |
|
2. |
16–30 |
0,50 |
0,040 |
|
3. |
31–45 |
0,75 |
0,090 |
|
4. |
46 un ilgāk |
1,00 |
– |
8.3. Norēķinu riska kapitāla prasība nav jāaprēķina līgumiem par aktīvu pārdošanu ar atpirkšanu, līgumiem par aktīvu pirkšanu ar atpārdošanu un vērtspapīru vai preču aizdevumiem un aizņēmumiem.
8.4. Tā kā 8.1. punktā minētie nenokārtotie darījumi ar parāda vērtspapīriem, kapitāla vērtspapīriem un precēm var būt pakļauti ne tikai norēķinu riskam, bet arī citiem tirgus riskiem, bankai jāaprēķina kapitāla prasība arī tiem.
9. Darījuma partnera risks
9.1. Darījuma partnera risks ir iespēja ciest zaudējumus, ja bankas parādnieks (debitors) nepildīs līguma vai darījuma akta noteikumos paredzētās saistības pret banku, kuras izriet no tirdzniecības portfeļa riska darījumiem.
9.2. Darījuma partnera riska kapitāla prasība jāaprēķina šādiem tirdzniecības portfelī iekļautajiem posteņiem:
9.2.1. brīvajām piegādēm, ja banka ir samaksājusi par vērtspapīriem vai precēm, pirms saņēmusi tās, vai nodevusi darījuma partnerim vērtspapīrus vai preces, pirms saņēmusi samaksu par tām, vai arī darījumā ar ārvalstu partneri pagājusi viena darbadiena vai vairākas darbadienas, kopš banka veikusi samaksu vai piegādi;
9.2.2. līgumiem par aktīvu pārdošanu ar atpirkšanu un vērtspapīru vai preču aizdevumiem, kuru pamatā ir tirdzniecības portfeļa vērtspapīri vai preces;
9.2.3. līgumiem par aktīvu pirkšanu ar atpārdošanu un vērtspapīru vai preču aizņēmumiem, kuru pamatā ir tirdzniecības portfeļa vērtspapīri vai preces;
9.2.4. ārpusbiržas atvasinātajiem līgumiem;
9.2.5. citām prasībām, kuras ir saistītas ar tirdzniecības portfelī iekļautajiem posteņiem (piemēram, komisijas nauda, procenti, dividendes, rezerves iemaksas biržā), bet kuras nav minētas 6., 7., 8. un 9.2.1.–9.2.4. punktā.
9.3. Darījuma partnera riska kapitāla prasību brīvo piegāžu gadījumā nosaka šādi:
9.3.1. aprēķina katras brīvās piegādes darījuma partnera riska svērto vērtību, reizinot vērtspapīru vai preču vērtību vai naudas summu, kuru darījuma partneris ir bankai parādā, ar nosacīto riska pakāpi, kuru nosaka attiecīgā darījuma partnera saistībām saskaņā ar 4.4. un 9.9. punkta nosacījumiem;
9.3.2. aprēķina saskaņā ar 9.3.1. punkta nosacījumiem aprēķināto riska svērto vērtību kopsummu;
9.3.3. aprēķina darījuma partnera riska kapitāla prasību kā 10% no kopsummas, kas aprēķināta saskaņā ar 9.3.2. punkta nosacījumiem.
9.4. Darījuma partnera riska kapitāla prasību līgumu par aktīvu pārdošanu ar atpirkšanu un vērtspapīru vai preču aizdevuma darījumu gadījumā aprēķina šādi:
9.4.1. aprēķina katra līguma vai darījuma aizvietošanas vērtību kā starpību starp pārdoto vai aizdoto vērtspapīru vai preču tirgus vērtību un saņemto naudas summu vai ķīlas tirgus vērtību;
9.4.2. līguma vai darījuma aizvietošanas vērtību, ja tā ir pozitīva, reizina ar nosacīto riska pakāpi, kuru nosaka attiecīgā darījuma partnera saistībām saskaņā ar 4.4. un 9.9. punkta nosacījumiem;
9.4.3. aprēķina saskaņā ar 9.4.2. punkta nosacījumiem aprēķināto riska svērto vērtību kopsummu;
9.4.4. aprēķina darījuma partnera riska kapitāla prasību kā 10% no kopsummas, kas aprēķināta saskaņā ar 9.4.3. punkta nosacījumiem.
9.5. Darījuma partnera riska kapitāla prasību līgumu par aktīvu pirkšanu ar atpārdošanu un vērtspapīru vai preču aizņēmuma darījumu gadījumā aprēķina šādi:
9.5.1. aprēķina katra līguma vai darījuma aizvietošanas vērtību kā starpību starp samaksāto naudas summu vai nodotās ķīlas tirgus vērtību un nopirkto vai saņemto vērtspapīru vai preču tirgus vērtību;
9.5.2. līguma vai darījuma aizvietošanas vērtību, ja tā ir pozitīva, reizina ar nosacīto riska pakāpi, kuru nosaka attiecīgā darījuma partnera saistībām saskaņā ar 4.4. un 9.9. punkta nosacījumiem;
9.5.3. aprēķina saskaņā ar 9.5.2. punkta nosacījumiem aprēķināto riska svērto vērtību kopsummu;
9.5.4. aprēķina darījuma partnera riska kapitāla prasību kā 10% no kopsummas, kas aprēķināta saskaņā ar 9.5.3. punkta nosacījumiem.
9.6. Veicot 9.4. un 9.5. punktā minētos aprēķinus, uzkrātie procenti jāpievieno aizņēmuma vai aizdevuma summai un ķīlas tirgus vērtībai.
9.7. Ārpusbiržas atvasināto līgumu darījuma partnera riska kapitāla prasība jāaprēķina kā 10% no riska svērto vērtību kopsummas, kas aprēķināta saskaņā ar 4.12.–4.17. punkta nosacījumiem, lietojot tirgus metodi un nosacīto riska pakāpi, kura noteikta darījuma partnera saistībām saskaņā ar 4.4.–4.7. un 9.9. punkta nosacījumiem.
9.8. Darījuma partnera riska kapitāla prasība 9.2.5. punktā minētajām prasībām jāaprēķina kā 10% no riska svērto vērtību kopsummas, kas aprēķināta, reizinot katras prasības vērtību ar nosacīto riska pakāpi, kura noteikta darījuma partnera saistībām saskaņā ar 4.4.–4.7. un 9.9. punkta nosacījumiem.
9.9. Veicot darījuma partnera riska kapitāla prasības aprēķinu, banka prasībām pret biržām un investīciju sabiedrībām, kas pakļautas ES direktīvas Nr. 93/6/EEC (ar grozījumiem) vai līdzvērtīgām prasībām (sk. 2. pielikumu), var piemērotnosacīto riska pakāpi, kura saskaņā ar 4.4. punkta nosacījumiem noteikta prasībām pret kredītiestādēm.
10. Pašu kapitāls
10.1. Bankas pašu kapitālu veido pirmā līmeņa kapitāla un otrā līmeņa kapitāla kopsumma, no kuras atskaitīts saskaņā ar 10.5. punkta nosacījumiem aprēķinātais pašu kapitāla samazinājums un kura ar Komisijas piekrišanu var būt papildināta ar izmantoto trešā līmeņa kapitālu.
10.2. Pirmā līmeņa kapitālu veido šādi elementi:
10.2.1. apmaksātais pamatkapitāls, kas samazināts par priekšrocību akciju ar dividenžu uzkrāšanu vērtību;
10.2.2. akciju emisijas uzcenojums;
10.2.3. rezerves kapitāls un pārējās rezerves, kas izveidotas no pārskata gada un iepriekšējo gadu peļņas;
10.2.4. vispārējo risku rezerve, kas izveidota no iepriekšējo gadu peļņas;
10.2.5. iepriekšējo gadu auditētā nesadalītā peļņa vai zaudējumi;
10.2.6. kārtējā darbības gada peļņa, kas samazināta par peļņu no pārdošanai pieejamo finansu aktīvu pārvērtēšanas, — ja ir auditora atzinums par peļņas esamību, tā aprēķināta, ņemot vērā nepieciešamos uzkrājumus aktīvu vērtības samazinājumam, paredzamajiem nodokļu maksājumiem un dividendēm un saņemta Komisijas piekrišana. Ja banka pēc starpposma peļņas apstiprināšanas kādu mēnesi strādā ar zaudējumiem, aprēķinā jāiekļauj auditētā starpposma peļņa, kas samazināta par šiem zaudējumiem;
10.2.7. samazinājums par bankas īpašumā esošajām pašas akcijām, nemateriālajiem aktīviem, kārtējā darbības gada zaudējumiem, pārdošanai pieejamo finansu aktīvu pārvērtēšanas rezervi, kas iekļauta bilances postenī “Pārvērtēšanas rezerves”, ja tā ir negatīva.
10.3. Otrā līmeņa kapitālu veido šādi elementi, kas kopsummā nedrīkst pārsniegt pirmā līmeņa kapitālu:
10.3.1. subordinētais kapitāls, kas atbilst “Kredītiestāžu likuma” 1. panta 8. punkta nosacījumiem un kura apmērs nepārsniedz 50% no pirmā līmeņa kapitāla;
10.3.2. pārvērtēšanas rezerve, kas izveidojas pamatlīdzekļu pārvērtēšanas rezultātā, ja ir saņemta Komisijas piekrišana. Pārvērtēšanas rezerve iekļaujama aprēķinā 70% apmērā no pamatlīdzekļu vērtības pieauguma, kas apstiprināts ar vismaz divu neatkarīgu, savstarpēji nesaistītu, atbilstoši profesionāli kvalificētu ekspertu (vērtētāju) atzinumu;
10.3.3. pārvērtēšanas rezerve, kas izveidojas pārdošanai pieejamo finansu aktīvu pārvērtēšanas rezultātā, ja tā ir pozitīva, vai peļņa no pārdošanai pieejamo finansu aktīvu pārvērtēšanas, ja ir saņemta Komisijas piekrišana. Minētā pārvērtēšanas rezerve vai peļņa iekļaujama aprēķinā 55% apmērā no pārdošanai pieejamo finansu aktīvu vērtības pieauguma.
10.4. Aprēķinot otrā līmeņa kapitālu, subordinētā kapitāla vērtība pēdējos piecus gadus pirms tā samaksas termiņa katru gadu jāsamazina par 20%. Šo subordinētā kapitāla samazinājumu nedrīkst iekļaut trešā līmeņa kapitālā.
10.5. Pašu kapitāla samazinājumu, kas tiek atskaitīts no pirmā līmeņa kapitāla un otrā līmeņa kapitāla kopsummas, veido:
10.5.1. ieguldījumi to kredītiestāžu un finansu iestāžu pamatkapitālā un subordinētajā kapitālā, kurās bankai ir būtiska līdzdalība, izņemot šādus ieguldījumus to bankas meitasuzņēmumu pamatkapitālā, kuri ir bankas un finansu iestādes (izņemot apdrošināšanas sabiedrības), kas ir pakļautas konsolidētajai uzraudzībai;
10.5.2. ieguldījumu kopsummas daļa, kura pārsniedz 10% no bankas pirmā un otrā līmeņa kapitāla kopsummas, to kredītiestāžu un finansu iestāžu pamatkapitālā un subordinētajā kapitālā, kurās bankai nav būtiskas līdzdalības.
10.6. Trešā līmeņa kapitālu veido pakārtotās saistības, t.i., aizņēmuma, noguldījuma u.tml. līgumu radītās saistības, kuras bankas bankrota vai likvidācijas gadījumā apmierināmas pēc visu citu kreditoru, bet pirms akcionāru prasību apmierināšanas un kuras atbilst šādiem nosacījumiem:
10.6.1. pakārtoto saistību sākotnējais termiņš nav īsāks par trim gadiem vai, ja termiņš nav noteikts, līgums paredz, ka kreditoram jāpieprasa parāda samaksa ne vēlāk kā trīs gadus pirms tās;
10.6.2. līgums paredz, ka pakārtotās saistības nevar samaksāt pirms termiņa bez Komisijas piekrišanas, izņemot bankas likvidācijas gadījumu;
10.6.3. līgums paredz, ka netiks samaksāti ne procenti, ne pakārtoto saistību pamatsumma, iestājoties samaksas termiņam, ja netiek ievērota vai maksājumu rezultātā netiks ievērota 3.2. punktā noteiktā prasība bankas pašu kapitālam.
10.7. Bankai jāinformē Komisija par trešā līmeņa kapitālu veidojošo pakārtoto saistību samaksu, ja tās rezultātā bankas pašu kapitāls samazināsies zem 120% no kapitāla prasību kopsummas, kas aprēķināta saskaņā ar 3.2. punkta nosacījumiem.
10.8. Izmantojamais (eligible) trešā līmeņa kapitāls ir 10.6. punkta nosacījumiem atbilstošas pakārtotās saistības, kuru apjoms nepārsniedz 200% no pirmā līmeņa kapitāla daļas, kas nav izmantota bankas portfeļa kredītriska kapitāla prasības segšanai un var tikt izmantota tirgus risku kapitāla prasību segšanai.
10.9. Izmantotais (eligible used) trešā līmeņa kapitāls ir izmantojamā trešā līmeņa kapitāla izmantotā daļa, kas nepārsniedz 66.7% no tirgus risku kapitāla prasību kopsummas, kura aprēķināta saskaņā ar 3.2.2. punkta nosacījumiem.
10.10. Neizmantotais (eligible unused) trešā līmeņa kapitāls ir starpība starp izmantojamo trešā līmeņa kapitālu un izmantoto trešā līmeņa kapitālu. Neizmantotais trešā līmeņa kapitāls rāda tirdzniecības darbības paplašināšanas iespējas.
11. Komisijas piekrišanas saņemšanas kārtība
11.1. Lai saņemtu 6.17. punktā minēto Komisijas piekrišanu lietot ilguma metodi parāda vērtspapīru vispārējā riska kapitāla prasības aprēķinam, bankai jāiesniedz Komisijai iesniegums, kuram jāpievieno dokumenti, kas apliecina, ka bankai ir atbilstoša informācijas sistēma un personāla kvalifikācija, bankas vadība izprot šo metodi un spēj pareizi interpretēt aprēķina rezultātus.
11.2. Lai saņemtu 5.4.5., 6.5. un 7.3.4. punktā minēto Komisijas piekrišanu bankas iespējas līgumu vērtēšanas modeļa izmantošanai, bankai jāiesniedz Komisijai iesniegums, kuram jāpievieno šādi dokumenti:
11.2.1. iespējas līgumu vērtēšanas modeļa apraksts;
11.2.2. informācija par modeļa izmantošanu tirgus risku pārvaldīšanā;
11.2.3. apkopotie dati par iespējas līgumu vērtēšanas modeļa izmantošanu trīs gadu laikā, t.sk. aprēķinos izmantojamās cenu un cenu mainīguma informācijas avoti, modeļa aprēķinu salīdzināšana ar reālo ikdienas peļņu/zaudējumiem (bankā jābūt pieejamai pilnai dokumentētai informācijai);
11.2.4. apkopotie dati par iespējas līgumu vērtēšanas modeļa pārbaudēm kritiskās situācijās (stress testing) un tā izmantošanu tirgus risku pārvaldīšanas politikas un darījumu limitu noteikšanā;
11.2.5. auditora atzinums par modeļa konceptuālo pareizību, tā iekļaušanu tirgus risku pārvaldīšanas politikā un izmantošanas pozitīvo pieredzi;
11.2.6. citi dokumenti, kas pēc bankas vērtējuma dod pamatu Komisijas piekrišanas saņemšanai.
11.3. Lai saņemtu 4.14., 5.9., 5.13., 6.10., 6.18., 7.6., 8.2.2., 10.1., 10.2.6. 10.3.2. un 10.3.3. punktā minēto Komisijas piekrišanu, bankai jāiesniedz Komisijai motivēts iesniegums, kuram jāpievieno dokumenti Komisijas piekrišanas saņemšanas pamatojumam.
11.4. Komisija izskata bankas iesniegumu un 30 dienu laikā pēc visas iesnieguma izskatīšanai nepieciešamās informācijas saņemšanas dod rakstisku piekrišanu vai motivētu atteikumu.
12. Pārskatu iesniegšanas kārtība
12.1. Bankai jāsagatavo kapitāla pietiekamības aprēķins atbilstoši UPDK 0651050 veidlapai (9. pielikums) par stāvokli pārskata mēneša pēdējā datumā un jāiesniedz Komisijai līdz nākamā mēneša 15. datumam.
12.2. UPDK 0651050 veidlapas 5.1.1.1., 5.2.1.1.1. vai 5.2.2.1.1. punkts jāsagatavo līdz nākamā mēneša 15. datumam un pēc pieprasījuma piecu dienu laikā jāiesniedz Komisijai.
1. pielikums
A zonas valstis
Amerikas Savienotās Valstis
Austrālija
Austrijas Republika
Beļģijas Karaliste
Čehijas Republika
Dānijas Karaliste
Francijas Republika
Grieķijas Republika
Islandes Republika
Itālijas Republika
Īrija
Japāna
Jaunzēlande
Kanāda
Lielbritānijas un Ziemeļīrijas Apvienotā Karaliste
Luksemburgas Lielhercogiste
Nīderlandes Karaliste
Norvēģijas Karaliste
Polijas Republika
Portugāles Republika
Saūda Arābijas Karaliste
Slovākijas Republika
Somijas Republika
Spānijas Karaliste
Šveices Konfederācija
Turcijas Republika
Ungārijas Republika
Vācijas Federatīvā Republika
Zviedrijas Karaliste
2. pielikums
Valstis, kurās investīciju sabiedrību darbību regulējošās prasības
ir līdzvērtīgas ES direktīvas Nr. 93/6/EEC prasībām
Investīciju sabiedrību darbību regulējošās prasības ir līdzvērtīgas ES direktīvas Nr. 93/6/EEC (ar grozījumiem) prasībām šādās valstīs1.
Amerikas Savienotās Valstis
Austrālija
Islandes Republika
Japāna
Kanāda
Lihtenšteinas Firstiste
Norvēģijas Karaliste
Šveices Konfederācija
1 Citu valstu investīciju sabiedrību darbību regulējošās prasības var tikt atzītas par līdzvērtīgām ES direktīvas Nr. 93/6/EEC (ar grozījumiem) prasībām pēc saskaņošanas ar Komisiju.
3. pielikums
Ieteikumi kredītiestāžu tirdzniecības portfeļa politikai
1. Tirdzniecības portfeļa politikā jānosaka:
1.1. kādās tirdzniecības aktivitātēs un cik lielā mērā iesaistās banka. Jānosaka finansu instrumenti un valūtas, kurās paredzēta tirdzniecība, un preces, ar kurām paredzēts tirgoties, finansu instrumentu termiņstruktūra, emitenti vai kritēriji, kuriem jāatbilst emitentiem;
1.2. kritēriji, pēc kuriem finansu instrumenti iekļaujami tirdzniecības portfelī;
1.3. izņēmuma gadījumi, kad pieļaujama finansu instrumentu pārklasifikācija no bankas portfeļa uz tirdzniecības portfeli. Jānosaka arī šādas pārklasifikācijas atļaujas saņemšanas kārtība un tās bankas amatpersonas, kuras ir tiesīgas pieņemt lēmumu par šādas pārklasifikācijas nepieciešamību;
1.4. ar tirdzniecības portfelī iekļautajiem finansu instrumentiem, precēm un preču atvasinātajiem līgumiem saistīto tirgus risku apmēra noteikšanas un pārvaldīšanas metodes;
1.5. tirdzniecības portfelī iekļaujamo finansu instrumentu, preču un preču atvasināto līgumu vērtēšanas politika un procedūras, t.sk. izmantojamās tirgus cenas un vērtēšanas kārtība tiem finansu instrumentiem, kuriem nav tirgus cenas vai arī esošā cenu informācija nav droša. Pirms vērtēšanas politikas noteikšanas tā jāsaskaņo ar Komisiju;
1.6. darījumu limiti dīleriem, bankas vadības apstiprinātais darījumu partneru saraksts un darījumu partneru limitu noteikšanas principi;
1.7. iekšējā audita (revīzijas) dienesta pienākumi bankas tirdzniecības portfeļa politikas ievērošanas nodrošināšanai.
4. pielikums
Delta–plus metode
1. Saskaņā ar delta—plus metodi bankai iespējas līgumi bāzes aktīva pozīcijas aprēķinā jāiekļauj kā delta ekvivalents, nosakot ārvalstu valūtas, pozīcijas un preču riska kapitāla prasības, un vienlaikus jāaprēķina kapitāla prasības iespējas līgumu gamma riskam un vega riskam, kuru lielumu nosaka gamma koeficients un vega koeficients. Gamma koeficients parāda gaidāmo delta koeficienta izmaiņas līmeniatkarībā no bāzes aktīva tirgus cenas izmaiņām. Vega koeficients parāda gaidāmo iespējas līguma cenas jutīgumu gadījumā, ja mainās bāzes aktīva cenu, ienesīguma, augļu u.tml. faktoru mainīguma (volatility) līmenis.
2. Gamma riska kapitāla prasību aprēķina katram iespējas līgumam kā 50% no gamma koeficienta absolūtās vērtības un bāzes aktīva tirgus cenas izmaiņas kvadrāta reizinājuma.
3. Bāzes aktīva tirgus cenas izmaiņu nosaka šādi:
3.1. procentu iespējas līgumiem, kuru bāzes aktīvs ir parāda vērtspapīri, — reizinot parāda vērtspapīra tirgus cenu ar atbilstošo svēršanas likmi, kas uzrādīta noteikumu 6.3. tabulas ailē “Svēršanas likme (%)”;
3.2. pārējiem procentu iespējas līgumiem — reizinot līguma nosacīto pamatvērtību ar attiecīgo paredzēto procentu likmju izmaiņu, kas uzrādīta noteikumu 6.3. tabulas ailē “Paredzētās procentu likmju izmaiņas (%)”;
3.3. kapitāla vērtspapīru, akciju indeksu, ārvalstu valūtas un zelta iespējas līgumiem — reizinot bāzes aktīva tirgus cenu ar koeficientu 0,10;
3.4. preču iespējas līgumiem — reizinot bāzes aktīva tirgus cenu ar koeficientu 0,15.
4. Gamma riska kapitāla prasību aprēķina kā saskaņā ar šā pielikuma 2. punkta nosacījumiem aprēķināto kapitāla prasību kopsummu.
5. Vega riska kapitāla prasību aprēķina katram iespējas līgumam kā vega koeficienta, bāzes aktīva tirgus cenas mainīguma un koeficienta 0.25 reizinājumu. Vega riska kapitāla prasību aprēķina kā atsevišķo iespējas līgumu kapitāla prasību kopsummu.
5. pielikums
Iespējas līgumu kapitāla prasības aprēķina vienkāršā metode
1. Banka var lietot iespējas līgumu kapitāla prasības aprēķina vienkāršo metodi vienīgi tad, ja tās tirdzniecības portfeli veido tikai nopirktie iespējas līgumi vai visu pārdoto iespējas līgumu risku ierobežošanai ir noslēgti identiski nopirktie iespējas līgumi.
2. Gadījumos, kad bankai nav attiecīgā instrumenta (vērtspapīra, ārvalstu valūtas vai preces) vai nav saistību par attiecīgā instrumenta piegādi, bet ir nopirktais pārdošanas vai pirkšanas iespējas līgums, kura bāzes aktīvs ir šis instruments, tirdzniecības portfelī iekļauto iespējas līgumu kapitāla prasību aprēķina kā mazāko no šādiem diviem rādītājiem:
2.1. iespējas līguma bāzes aktīva tirgus vērtība, kas reizināta ar atbilstošu koeficientu saskaņā ar šā pielikuma 4. punkta nosacījumiem;
2.2. iespējas līguma tirgus vērtība.
3. Gadījumos, kad bankai ir attiecīgais instruments un ir nopirktais iespējas līgums par tā pārdošanu vai bankai ir saistības piegādāt attiecīgo instrumentu un ir nopirktais iespējas līgums par tā pirkšanu, tirdzniecības portfelī iekļauto iespējas līgumu kapitāla prasību aprēķina kā starpību starp iespējas līguma bāzes aktīva tirgus vērtību, kas reizināta ar atbilstošu koeficientu saskaņā ar šā pielikuma 4. punkta nosacījumiem, un iespējas līguma potenciālās peļņas lielumu.
4. Atkarībā no iespējas līguma bāzes aktīva veida bāzes aktīva tirgus vērtība jāreizina ar šādu koeficientu:
4.1. parāda vērtspapīru iespējas līgumiem — ar koeficientu, kas vienāds ar koeficienta, kurš parāda atbilstoši 6.15. punkta prasībām noteikto attiecīgā parāda vērtspapīra specifiskā riska kapitāla prasības lielumu, un koeficienta 0,10 kopsummu;
4.2. procentu un procentu indeksu iespējas līgumiem — ar koeficientu 0,10;
4.3. kapitāla vērtspapīru iespējas līgumiem — ar koeficientu, kas vienāds ar koeficienta, kurš parāda atbilstoši 6.27. punkta prasībām noteikto attiecīgā kapitāla vērtspapīra specifiskā riska kapitāla prasības lielumu, un koeficienta 0,10 kopsummu;
4.4. akciju indeksu iespējas līgumiem — ar koeficientu 0,10;
4.5. ārvalstu valūtas iespējas līgumiem — ar koeficientu 0,10;
4.6. preču iespējas līgumiem — ar koeficientu 0,15.
5. Nopirktajam pārdošanas iespējas līgumam (putoption) ir potenciālā peļņa, ja iespējas līguma bāzes aktīva cena ir augstāka par šā aktīva tekošo tirgus cenu (iespējas līgumiem ar atlikušo termiņu līdz 6 mēnešiem) vai nākotnes cenu (iespējas līgumiem ar atlikušo termiņu ilgāku par 6 mēnešiem). Iespējas līguma bāzes aktīva cenas un tā tekošās tirgus cenas vai nākotnes cenas starpība, kas, reizināta ar bāzes aktīva vienību skaitu, ir nopirktā pārdošanas iespējas līguma potenciālās peļņas lielums.
6. Nopirktajam pirkšanas iespējas līgumam (call option) ir potenciālā peļņa, ja iespējas līguma bāzes aktīva cena ir zemāka par šā aktīva tekošo tirgus cenu (iespējas līgumiem ar atlikušo termiņu līdz 6 mēnešiem) vai nākotnes cenu (iespējas līgumiem ar atlikušo termiņu ilgāku par 6 mēnešiem). Iespējas līguma bāzes aktīva tekošās tirgus cenas vai nākotnes cenas un iespējas līguma bāzes aktīva cenas starpība, kas, reizināta ar bāzes aktīva vienību skaitu, ir nopirktā pirkšanas iespējas līguma potenciālās peļņas lielums.
7. Ja bankas rīcībā nav ticamas informācijas par to iespējas līgumu bāzes aktīva nākotnes cenu, kuri minēti šā pielikuma 3. punktā un kuru atlikušais termiņš pārsniedz 6 mēnešus, šādu iespējas līgumu kapitāla prasība jāaprēķina, pieņemot, ka iespējas līguma potenciālās peļņas lielums ir nulle.
6. pielikums
Pozīcijas riskam pakļauto atvasināto līgumu specifiskā riska un vispārējā riska kapitāla prasības aprēķināšanas nosacījumi
|
Nr. |
Atvasināto |
Specifiskā |
Vispārējā riska |
|
p.k. |
līgumu veidi |
riska |
kapitāla prasība |
|
kapitāla |
|||
|
prasība |
|||
|
1. |
Biržā tirgotie nākotnes līgumi |
||
|
ar pienākumu pirkt vai pārdot: |
|||
|
1.1. |
Latvijas Republikas |
nav |
ir visiem pielikuma |
|
valdības vērtspapīrus |
1. punktā minētajiem |
||
|
1.2. |
A zonas valstu centrālo valdību |
nav |
birža tirgotiem nākotnes |
|
un centrālo banku vērtspapīrus |
līgumiem;iekļaujami kā |
||
|
1.3. |
B zonas valstu centrālo valdību |
ir |
garās un īsās pozīcijas |
|
un centrālo banku vērtspapīrus |
kombinācija |
||
|
1.4. |
vietējo valdību (pašvaldību) |
ir |
|
|
parāda vērtspapīrus |
|||
|
1.5. |
starptautisko attīstības banku |
ir |
|
|
parāda vērtspapīrus |
|||
|
1.6. |
uzņēmumu (uzņēmējsabiedrību) |
ir |
|
|
parāda vērtspapīrus |
|||
|
1.7. |
procentu indeksus (piem., LIBOR) |
nav |
|
|
2. |
Ārpusbiržas nākotnes līgumi ar |
||
|
pienākumu pirkt vai pārdot: |
|||
|
2.1. |
Latvijas Republikas valdības |
nav |
ir visiem pielikuma |
|
vērtspapīrus |
2. punktā minētajiem |
||
|
2.2. |
A zonas valstu centrālo valdību |
nav |
ārpusbiržas nākotnes |
|
un centrālo banku vērtspapīrus |
līgumiem; iekļaujami kā |
||
|
2.3. |
B zonas valstu centrālo valdību |
ir |
garās un īsās pozīcijas |
|
un centrālo banku vērtspapīrus |
kombinācija |
||
|
2.4. |
vietējo valdību (pašvaldību) |
ir |
|
|
parāda vērtspapīrus |
|||
|
2.5. |
starptautisko attīstības banku |
ir |
|
|
parāda vērtspapīrus |
|||
|
2.6. |
uzņēmumu (uzņēmējsabiedrību) |
ir |
|
|
parāda vērtspapīrus |
|||
|
2.7. |
procentu indeksus (piem., LIBOR) |
nav |
|
|
3. |
Ārpusbiržas procentu nākotnes |
nav |
ir; iekļaujami kā garās |
|
līgumi un mijmaiņas līgumi |
un īsās pozīcijas |
||
|
kombinācija |
|||
|
4. |
Ārpusbiržas ārvalstu valūtas |
nav |
ir; viena pozīcija |
|
nākotnes līgumi |
katrā valūtā |
||
|
5. |
Iespējas līgumi, kuru bāzes aktīvs ir: |
||
|
5.1. |
Latvijas Republikas valdības vērtspapīri |
nav |
|
|
5.2. |
A zonas valstu centrālo valdību |
nav |
ir visiem pielikuma |
|
un centrālo banku vērtspapīri |
5. punktā minētajiem |
||
|
5.3. |
B zonas valstu centrālo valdību un |
ir |
iespējas līgumiem; |
|
centrālo banku vērtspapīri |
delta–plus metode |
||
|
5.4. |
vietējo valdību (pašvaldību) |
ir |
(sk. 4. pielikumu) vai |
|
parāda vērtspapīri |
vienkāršā metode |
||
|
5.5. |
starptautisko attīstības banku |
ir |
(sk. 5. pielikumu) |
|
parāda vērtspapīri |
|||
|
5.6. |
uzņēmumu (uzņēmējsabiedrību) |
ir |
|
|
parāda vērtspapīri |
|||
|
5.7. |
procentu indeksi |
nav |
|
|
5.8. |
procentu nākotnes un mijmaiņas līgumi |
nav |
7. pielikums
Starptautisko reitinga aģentūru minimālie reitingi, kuri atbilst investīciju līmenim
|
Nr. |
Reitinga aģentūras nosaukums |
Minimālais reitings . |
|
|
p.k. |
ilgtermiņa |
īstermiņa |
|
|
saistībām |
saistībām |
||
|
1. |
Moody¢s Investors Service |
Baa3 |
P3 |
|
2. |
Standard & Poor’s Corporation |
BBB— |
A3 |
|
3. |
Fitch—IBCA |
BBB— |
F—3 |
|
4. |
Thomson BankWatch |
BBB— |
A3 |
|
5. |
Canadian Bond Rating Service |
B++ low |
A—3 |
|
6. |
Dominion Bond Rating Service |
BBB low |
R—2 |
|
7. |
Japan Credit Rating Agency, Ltd |
BBB— |
J—2 |
|
8. |
Nippon Investor Services |
BBB— |
a—3 |
|
9. |
The Japan Bond Research Institute |
BBB— |
A—2 |
|
10. |
Duff & Phelps, Inc |
BBB— |
3 |
8. pielikums
Augsti likvīdu akciju indeksi
|
Nr. |
Valsts nosaukums |
Indeksa |
|
p.k. |
nosaukums |
|
|
1. |
Amerikas Savienotās Valstis |
S&P 500 |
|
2. |
Austrālija |
All Ords |
|
3. |
Austrijas Republika |
ATX |
|
4. |
Beļģijas Karaliste |
BEL 20 |
|
5. |
Francijas Republika |
CAC40 |
|
6. |
Japāna |
Nikkei 225 |
|
7. |
Kanāda |
TSE 35 |
|
8. |
Lielbritānijas un Ziemeļīrijas Apvienotā Karaliste |
FTSE 100 |
|
9. |
Nīderlandes Karaliste |
EOE25 |
|
10. |
Spānijas Karaliste |
IBEX35 |
|
11. |
Šveices Konfederācija |
SMI |
|
12. |
Vācijas Federatīvā Republika |
DAX |
|
13. |
Zviedrijas Karaliste |
OMX |
9. pielikums
1.lapa
2.lapa
3.lapa
4.lapa
5.lapa
6.lapa
7.lapa
8.lapa
9.lapa
10.lapa
11.lapa
12.lapa
13.lapa
14.lapa
15.lapa
16.lapa
17.lapa
18.lapa
19.lapa
20.lapa
21.lapa
22.lapa
23.lapa
24.lapa
25.lapa
26.lapa
27.lapa
28.lapa
29.lapa
30.lapa
31.lapa
32.lapa
33.lapa
34.lapa
35.lapa
36.lapa
37.lapa
38.lapa