
Pārtikas un veterinārā dienesta rīkojums Nr. 44
2002. gada 4. februārī
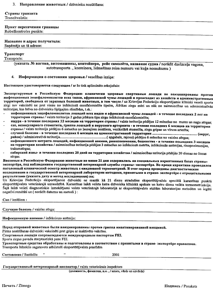
Par veterināro sertifikātu sporta zirgu izvešanai uz starptautiskām sacensībām Krievijas Federācijā
Pamatojoties uz Krievijas Federācijas veterinārā dienesta noteiktajām prasībām, nosaku:
1. Sporta zirgu izvešanai uz starptautiskām sacensībām Krievijas Federācijā uz laiku ne ilgāku par 90 dienām izsniegt rīkojuma pielikumā noteiktās formas sertifikātu.
2. Atcelt sertifikāta “Eksport 1” izsniegšanu sporta zirgu izvešanai uz starptautiskām sacensībām uz Krievijas Federāciju uz laiku ne ilgāku par 90 dienām.
3. Rīkojumu publicēt laikrakstā “Latvijas Vēstnesis”.
4. Rīkojums stājas spēkā ar parakstīšanas brīdi.
5. Kontroli pār rīkojuma izpildi uzdodu Dzīvnieku veselības un labturības departamenta direktoram I. Celmam.
Pārtikas un veterinārā dienesta direktors V.Veldre
Pielikums