
Pārtikas un veterinārā dienesta rīkojums Nr.53
2002.gada 5.februārī
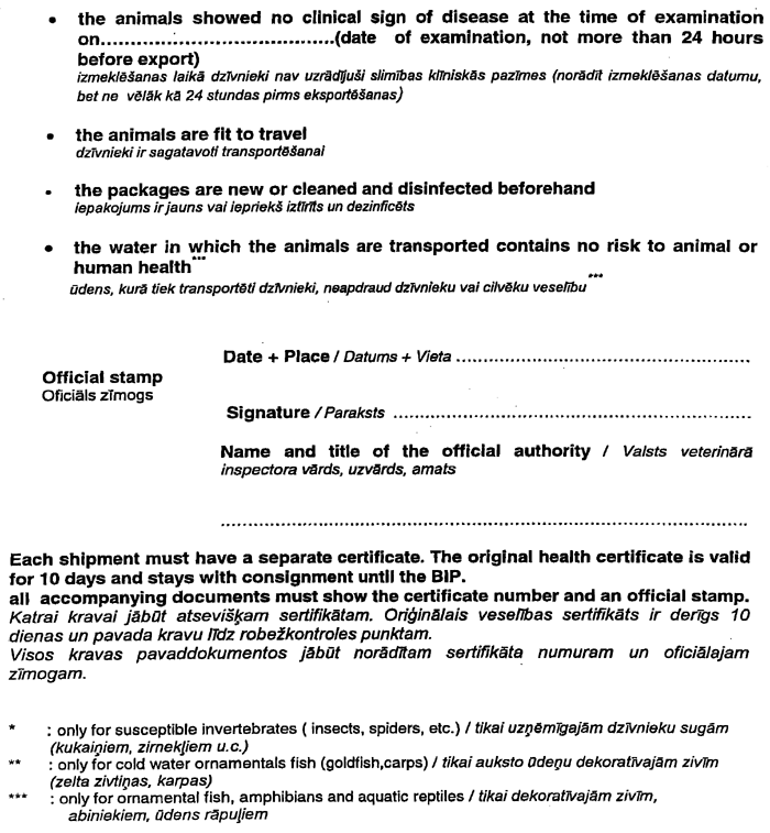
Par dzīvnieku veselības sertifikātu rāpuļu, abinieku, dekoratīvo zivju un bezmugurkaulnieku izvešanai uz Nīderlandi
Pamatojoties uz Nīderlandes Lauksaimniecības ministrijas Vides un zivsaimniecības pārvaldes prasībām, nosaku:
1. Rāpuļu, abinieku, dekoratīvo zivju un bezmugurkaulnieku izvešanai uz Nīderlandi izsniegt rīkojuma pielikumā noteiktā parauga veterināro veselības sertifikātu.
2. Atcelt sertifikāta “Eksport 1” izsniegšanu rāpuļu, abinieku, dekoratīvo zivju un bezmugurkaulnieku izvešanai uz Nīderlandi.
3. Rīkojumu publicēt laikrakstā “Latvijas Vēstnesis”.
4. Rīkojums stājas spēkā ar parakstīšanas brīdi.
5. Kontroli pār rīkojuma izpildi uzdodu Dzīvnieku veselības un labturības departamenta direktoram I.Celmam.
Pārtikas un veterinārā dienesta direktors V.Veldre
Pielikums