
Pārtikas un veterinārā dienesta rīkojums Nr. 8
2002. gada 9. janvārī
Par dzīvnieku veselības sertifikātu ādu un kažokādu eksportam uz Poliju
Pamatojoties uz Polijas veterinārā dienesta noteiktajām prasībām, nosaku:
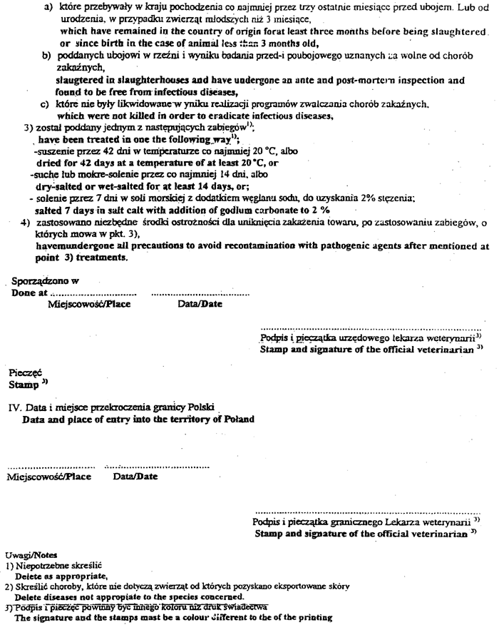
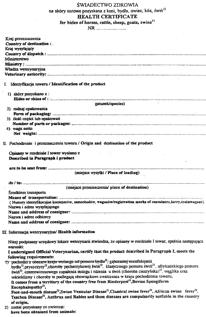
1. Ādu un kažokādu eksportam uz Poliju izsniegt rīkojuma pielikumā noteiktās formas sertifikātu.
2. Atcelt sertifikāta “Eksport 2” izsniegšanu ādu un kažokādu eksportam uz Poliju.
3. Rīkojumu publicēt laikrakstā “Latvijas Vēstnesis”.
4. Rīkojums stājas spēkā ar parakstīšanas brīdi.
5. Kontroli pār rīkojuma izpildi uzdodu Dzīvnieku veselības un labturības departamenta direktoram I. Celmam
Pārtikas un veterinārā dienesta direktors V.Veldre
Pielikums