
Valsts kase
Informācija
Par valsts un pašvaldību budžetiem: janvāris — jūlijs
1.tabula
Valsts konsolidētā budžeta izpilde
(1998. gada janvāris — jūlijs)
(tūkst.latu)
2.tabula
Valsts pamatbudžeta ieņēmumi (1998.gada janvāris — jūlijs)
(tūkst.latu)
3.tabula
Valsts pamatbudžeta izdevumi pa ministrijām
un pasākumiem (1998. gada janvāris — jūlijs)
(tūkst.latu)
4.tabula
Valsts pamatbudžeta izdevumi pēc ekonomiskās klasifikācijas
(1998. gada janvāris — jūlijs)
(tūkst.latu)
5.tabula
Valsts speciālā budžeta ieņēmumi pa ministrijām
(1998. gada janvāris — jūlijs)
(tūkst. latu)
6.tabula
Valsts speciālā budžeta izdevumi pa ministrijām
(1998. gada janvāris — jūnijs)
(tūkst.latu)
7.tabula
Valsts speciālā budžeta izdevumi pēc ekonomiskās klasifikācijas
(1998. gada janvāris — jūlijs)
(tūkst.latu)
8.tabula
Pašvaldību pamatbudžeta ieņēmumi
(1998. gada janvāris — jūlijs)
(tūkst.latu)
9.tabula
Pašvaldību pamatbudžeta izdevumi
(1998. gada janvāris — jūlijs)
(tūkst.latu)
10.tabula
Pašvaldību pamatbudžeta izdevumi
pēc ekonomiskās klasifikācijas (1998. gada janvāris — jūlijs)
(tūkst.latu)
11.tabula
Pašvaldību speciālā budžeta ieņēmumi un izdevumi
(1998. gada janvāris — jūlijs)
(tūkst.latu)
12.tabula
Pašvaldību speciālā budžeta izdevumi
pēc ekonomiskās klasifikācijas
(1998. gada janvāris — jūlijs)
(tūkst.latu)
15.tabula
Pašvaldību finansu izlīdzināšanas fonda līdzekļi
(1998. gada janvāris — jūlijs)
(latos)
16.tabula
No pašvaldību finansu izlīdzināšanas fonda
pārskaitītie līdzekļi
(1998. gada janvāris — jūlijs)
(latos)
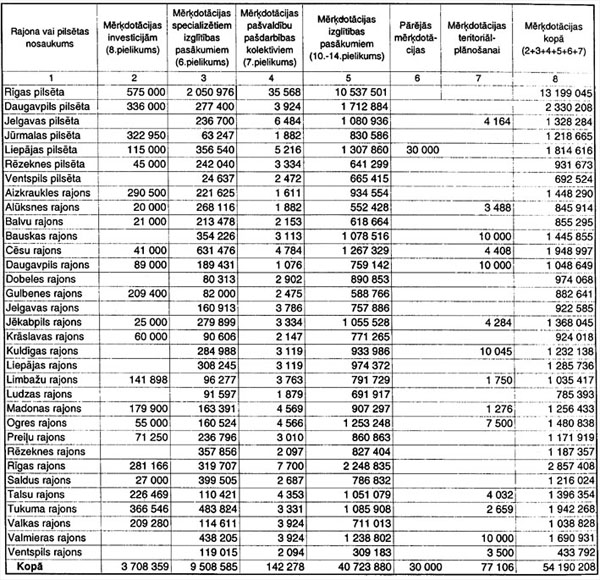
17.tabula
No valsts budžeta pārskaitītās
mērķdotācijas pašvaldībām
(1998. gada janvāris — jūlijs)
(latos)
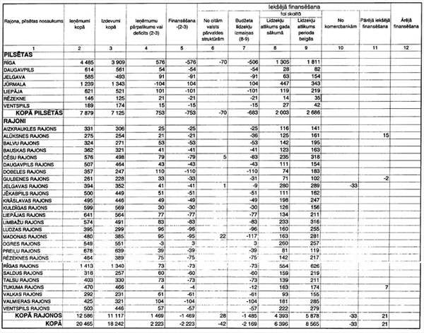
13.tabula
Pašvaldību pamatbudžeta izpildes rādītāji (1998. gada janvāris — jūlijs)
(tūkst.latu)
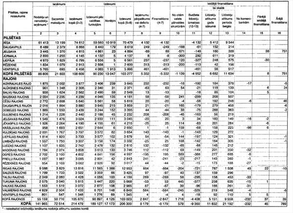
14.tabula
Pašvaldību speciālā pamatbudžeta izpildes rādītāji (1998. gada janvāris — jūlijs)
(tūkst.latu)
18.tabula
Valsts pamatbudžeta izdevumi
pēc valdības funkcijām (1998. gada janvāris — jūlijs)
(tūkst.latos)
19.tabula
Valsts speciālā budžeta izdevumi
pēc valdības funkcijām (1998. gada janvāris — jūlijs)
Valsts pārvaldnieks A.Veiss