
Valsts kases informācija
1998.gada 15.jūnijā
Par valsts un pašvaldību budžetiem
Valsts kases oficiālais mēneša pārskats par valsts kopbudžeta izpildi (1998. gada janvāris — maijs)
(tūkst.latu)
1.tabula
Valsts konsolidētā budžeta izpilde
(1998. gada janvāris — maijs)
(tūkst.latu)
2.tabula
Valsts pamatbudžeta ieņēmumi (1998.gada janvāris — maijs)
(tūkst.latu)
3.tabula
Valsts pamatbudžeta izdevumi pa ministrijām
un pasākumiem (1998. gada janvāris — maijs)
(tūkst.latu)
4.tabula
Valsts pamatbudžeta izdevumi pēc ekonomiskās klasifikācijas
(1998. gada janvāris — maijs)
(tūkst.latu)
5.tabula
Valsts speciālā budžeta ieņēmumi pa ministrijām
(1998. gada janvāris — maijs)
(tūkst. latu)
6.tabula
Valsts speciālā budžeta izdevumi pa ministrijām
(1998. gada janvāris — maijs)
(tūkst.latu)
7.tabula
Valsts speciālā budžeta izdevumi pēc ekonomiskās klasifikācijas
(1998. gada janvāris — maijs)
(tūkst.latu)8.tabula
Pašvaldību pamatbudžeta ieņēmumi
(1998. gada janvāris — maijs)
(tūkst.latu)9.tabula
Pašvaldību pamatbudžeta izdevumi
(1998. gada janvāris — maijs)
(tūkst.latu)10.tabula
Pašvaldību pamatbudžeta izdevumi
pēc ekonomiskās klasifikācijas (1998. gada janvāris — maijs)
(tūkst.latu)
11.tabula
Pašvaldību speciālā budžeta ieņēmumi un izdevumi
(1998. gada janvāris — maijs)
(tūkst.latu)
12.tabula
Pašvaldību speciālā budžeta izdevumi
pēc ekonomiskās klasifikācijas (1998. gada janvāris — maijs)
(tūkst.latu)
15.tabula
Pašvaldību finansu izlīdzināšanas fonda līdzekļi
(1998. gada janvāris — maijs)
(latos)16.tabula
No pašvaldību finansu izlīdzināšanas fonda
pārskaitītie līdzekļi (1998. gada janvāris — maijs)
(latos)17.tabula
No valsts budžeta pārskaitītās mērķdotācijas
pašvaldībām (1998. gada janvāris — maijs)
(latos)18.tabula
Valsts pamatbudžeta izdevumi pēc valdības funkcijām
(1998. gada janvāris — maijs)
(tūkst.latu)19.tabula
Valsts speciālā budžeta izdevumi pēc valdības funkcijām
(1998. gada janvāris — maijs)
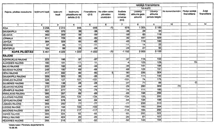
(tūkst.latu)13.tabula
Pašvaldību pamatbudžeta izpildes rādītāji (1998. gada janvāris — maijs)
(tūkst.latu)
14.tabula
Pašvaldību speciālā pamatbudžeta izpildes rādītāji (1998. gada janvāris — maijs)
(tūkst.latu)
Valsts kases pārvaldnieks A. Veiss