
Saprašanās memorands par Eiropas Ekonomikas zonas finanšu instrumenta ieviešanu
2004.–2009.gadā
starp Islandes Republiku, Lihtenšteinas Firstisti,
Norvēģijas Karalisti (turpmāk tekstā – ebta valstis)
un Latvijas Republiku (turpmāk tekstā – Saņēmējvalsts)
turpmāk tekstā kopīgi – Puses
TĀ KĀ 2003.gada 14.oktobra Līgums par Čehijas Republikas, Igaunijas Republikas, Kipras Republikas, Latvijas Republikas, Lietuvas Republikas, Ungārijas Republikas, Maltas Republikas, Polijas Republikas, Slovēnijas Republikas un Slovākijas Republikas pievienošanos Eiropas Ekonomikas zonai (turpmāk tekstā – EEZ paplašināšanas līgums) ir spēkā no 2004.gada 1.maija;
TĀ KĀ EEZ līguma Protokols Nr.38.a , kurš iestrādāts EEZ līgumā ar EEZ paplašināšanās līguma palīdzību, izveido finanšu instrumentu, ko EBTA valstis izmantos, lai mazinātu sociālās un ekonomiskās atšķirības Eiropas Ekonomikas zonā (turpmāk tekstā – EEZ finanšu instruments (2004.– 2009.gads));
TĀ KĀ ar EBTA valstu Pastāvīgās komitejas 2004.gada 3.jūnija lēmumu Nr.4/2004/SC EBTA valstis ir nodibinājušas Finanšu instrumenta komiteju, kura pārvaldīs EEZ finanšu instrumentu (2004.– 2009.gads);
TĀ KĀ EEZ paplašināšanās līgums un EEZ finanšu instruments stiprinās saites starp EBTA valstīm un Latvijas Republiku par labu šo valstu tautām;
TĀ KĀ lielāka sadarbība starp EBTA valstīm un Latvijas Republiku palīdzēs nodrošināt stabilitāti, mieru un uzplaukumu Eiropā, pamatojoties uz pareizas pārvaldības principiem, demokrātiskām institūcijām, tiesiskumu, cilvēktiesību ievērošanu un ilgspējīgu attīstību;
TĀ KĀ Puses piekrīt izveidot sadarbības sistēmu, lai nodrošinātu efektīvu EEZ finanšu instrumenta ieviešanu;
TĀS NOLĒMUŠAS noslēgt šādu Saprašanās memorandu (turpmāk tekstā – “SM”):
1.pants
(Mērķi)
Saskaņā ar Protokola Nr.38.a 1.pantu EBTA valstis izveidojušas EEZ finanšu instrumentu, lai mazinātu sociālās un ekonomiskās atšķirības Eiropas Ekonomikas zonā. Tādēļ šī SM Pušu nolūks ir izvēlēties finansējuma piešķiršanai projektus, kuri veicina šo mērķu sasniegšanu.
2.pants
(Tiesiskais pamats)
Šis SM, kas noslēgts starp EBTA valstīm un Latvijas Republiku, lasāms kopā un pakļauts šādu dokumentu nosacījumiem, kuri veido EEZ finanšu instrumenta tiesisko pamatu:
EEZ līguma Protokols Nr.38.a (turpmāk tekstā – Protokols Nr.38.a), kas izveido EEZ finanšu instrumentu,
Noteikumi un procedūras, kas reglamentē EEZ finanšu instrumenta ieviešanu, (turpmāk tekstā – Noteikumi un procedūras) un to turpmākie grozījumi. Noteikumus un procedūras EBTA valsts pieņem saskaņā ar Protokola Nr.38.a 8.pantu,
Grantu līgumi, ko Finanšu instrumenta komiteja un saņēmējvalsts savstarpēji noslēgs katram projektam.
3.pants
(Finanšu ietvars)
1. Saskaņā ar Protokola Nr.38.a 2.pantu EBTA valstis piešķirs EEZ finanšu instrumentam 600 miljonus eiro, ikgadējās iemaksās pa daļām 120 miljonuseiro apmērā no 2004.gada 1.maija līdz 2009.gada 30.aprīlim (ieskaitot).
2. Saskaņā ar Protokola Nr.38.a 5.pantu 1.punktā minētajā laika periodā Latvijas Republikai kopumā būs pieejami 19`740`000 eiro.
3. Saskaņā ar Protokola Nr.38.a 8.pantu EEZ finanšu instrumenta vadības izmaksas sedz no iepriekš minētajām summām. Sīkāki norādījumi par to izklāstīti Noteikumos un procedūrās.
4. Saskaņā ar Protokola Nr.38.a 6.pantu 2006.gada un 2008.gada novembrī tiks veikta piešķirto līdzekļu sadalījuma izvērtēšana, lai pārdalītu neizmantotos piešķirtos līdzekļus augstas prioritātes projektiem no jebkuras saņēmējvalsts.
4.pants
(Lomas un atbildība)
1. EBTA valstis nodrošina līdzekļu pieejamību Latvijas Republikas piedāvāto, kritērijiem atbilstošo projektu finansēšanai, par ko ir noslēgts EEZ finanšu instruments, šī SM 6.pantā minēto prioritātes sektoru ietvaros.
2. Saņēmējvalsts nodrošina pilnu līdzfinansējumu ar EEZ finanšu instrumentu atbalstītajiem projektiem.
3. EEZ finanšu instrumenta komiteja īsteno EEZ finanšu instrumenta vadību un pieņem lēmumus par finanšu palīdzības piešķiršanu.
4. Komitejai palīdz Finanšu instrumenta birojs (turpmāk tekstā – FIB). FIB atbildēs par EEZ finanšu instrumenta ikdienas darbību un darbosies kā kontaktpersona.
5. Latvijas Republika ir pilnvarojusi Finanšu ministriju darboties savā vārdā kā nacionālo vadošo iestādi (turpmāk tekstā – NVI). NVI atbild par EEZ finanšu instrumenta pasākumu vadību Latvijas Republikā kopumā, tai skaitā par finanšu kontroli un auditu, kā arī darbojas kā kontaktpersona. EEZ finanšu instrumenta vadības uzbūve ir noteikta A.pielikumā.
6. NVI atbildēs un atskaitīsies par projektu identifikāciju, plānošanu, ieviešanu un uzraudzību, kā arī par līdzekļu izmantošanu EEZ finanšu instrumenta ietvaros saskaņā ar Noteikumiem un procedūrām. Par šīm darbībām tā atskaitās FIB. Par jebkura veida neatbilstībām tā nekavējoties ziņo FIB. Valsts kontrole veic neatkarīgus kontroles pasākumus.
7. Parasti, lai saņemtu projektu pieteikumus, tiek izteikts atklāts pieteikšanās uzaicinājums.
8. NVI nodrošina, lai visi projektu pieteicēji būtu pilnībā uzņēmušies saistības un tehniski gatavi veiksmīgi ieviest projektus.
5. pants
(Ikgadējās sanāksmes un ziņojumi)
1. Lai nodrošinātu efektīvu EEZ finanšu instrumenta ieviešanu, Puses piekrīt rīkot ikgadējas sanāksmes, kurās piedalīsies Finanšu instrumenta komiteja un NVI. NVI sanāksmēs prezentēs ikgadējo ziņojumu, kurā cita starpā būs informācija par:
panākto progresu EEZ finanšu instrumenta vispārējā mērķa sasniegšanā;
projektu identifikācijas progresu saņēmējvalstī;
par uzsākto projektu ieviešanu saskaņā ar noteiktiem kritērijiem;
finanšu progresu attiecībā uz finansiālajām saistībām un veiktajiem maksājumiem;
intervences jomām un pasākumiem nākamajam gadam.
2. NVI organizē sanāksmes sadarbībā ar FIB. Eiropas Komisijas pārstāvji var tikt uzaicināti piedalīties sanāksmēs kā novērotāji.
3. Sanāksmju norisi protokolē NVI.
4. Pirmā sanāksme notiek ne vēlāk kā gadu pēc šī SM stāšanās spēkā.
6.pants
(Prioritātes sektori)
1. Saskaņā ar Protokola Nr.38.a 3.pantu atbalsts pieejams projektiem šādos prioritārajos sektoros:
(a) Vides aizsardzība, tai skaitā cilvēkvides aizsardzība, cita starpā samazinot piesārņojumu un veicinot atjaunojamo enerģiju izmantošanu;
(b) Ilgspējīgas attīstības veicināšana, uzlabojot resursu izmantošanu un vadību;
(c) Eiropas kultūras mantojuma saglabāšana, tai skaitā sabiedriskais transports un pilsētvides atjaunošana;
(d) Cilvēkresursu attīstība, cita starpā veicinot izglītību un apmācību, stiprinot vietējo pašvaldību vai to institūciju administratīvo vai sabiedrisko pakalpojumu sniegšanas kapacitāti, kā arī to veicinošos demokrātiskos procesus;
(e) Veselības un bērnu aprūpe.
2. Finansējumu var saņemt arī zinātniskie pētījumi, ja vien to mērķis atbilst vienam vai vairākiem prioritārajiem sektoriem.
7.pants
(Programmēšanas ietvars)
1. Lai nodrošinātu efektīvu EEZ finanšu instrumenta finansējuma izmantošanu un neierobežotu 6.pantā minēto, īpaša uzmanība tiks veltīta šī SM B.pielikumā aprakstītajā programmēšanas ietvarā noteiktajām intervences jomām.
2. B. pielikums tiek pārskatīts 5.pantā minētajās ikgadējās sanāksmēs.
8. pants
(Īpašās atbalsta formas)
1. Saskaņā ar 6.pantā minētajiem prioritārajiem sektoriem un pievēršot īpašu uzmanību 7.pantā minētajā programmēšanas ietvarā aprakstītajām intervences jomām, Puses piekritušas, nepārsniedzot 3.pantā minēto kopsummu, izveidot C.pielikumā minētās īpašās atbalsta formas.
2. Puses slēgs Granta līgumus, ar kuriem noteiks katra atsevišķā atbalsta veida piešķiršanas nosacījumus.
3. C. pielikums tiks pārskatīts 5.pantā minētajās ikgadējās sanāksmēs.
9.pants
(Kontrole un informācijas pieejamība)
EEZ finanšu instrumenta komitejai, EBTA Auditoru padomei un to pārstāvjiem ir tiesības veikt tādas tehniskās vai finanšu pārbaudes vai uzdevumus, kādus tie uzskata par nepieciešamiem, lai pārbaudītu projektu plānošanu, ieviešanu un uzraudzību, kā arī līdzekļu izmantošanu. Latvijas Republika nodrošina jebkuru nepieciešamo palīdzību, informāciju un dokumentāciju.
10.pants
(Koordinācija)
Latvijas Republika un FIB cieši sadarbosies, lai koordinētu EEZ finanšu instrumenta un Norvēģijas finanšu instrumenta izmantošanu. Visiem projektiem, kas iesniegti, lai saņemtu finanšu instrumentu atbalstu, jāatbilst Latvijas Republikas nacionālajām prioritātēm un Eiropas Savienības tiesību normām.
11.pants
(Pamatprincipi)
1. SM ieviešanu visos aspektos nosaka EEZ finanšu instrumenta Noteikumi un procedūras un to turpmākie grozījumi.
2. Puses piekrīt EEZ finanšu instrumenta ieviešanā nodrošināt vislielāko caurskatāmību un atbildīgumu, kā arī piemērot pareizas pārvaldības, ilgspējīgas attīstības un dzimumu līdztiesības mērķus un principus.
12.pants
(Stāšanās spēkā)
Šis SM stājas spēkā tā parakstīšanas dienā.
***********
Šis Saprašanās memorands parakstīts četros oriģināleksemplāros, angļu valodā.
Briselē 2004.gada 2.decembrī.
Islandes Republikas vārdā
Latvijas Republikas vārdā
Lihtenšteinas Firstistes vārdā
Norvēģijas Republikas vārdā
A. pielikums
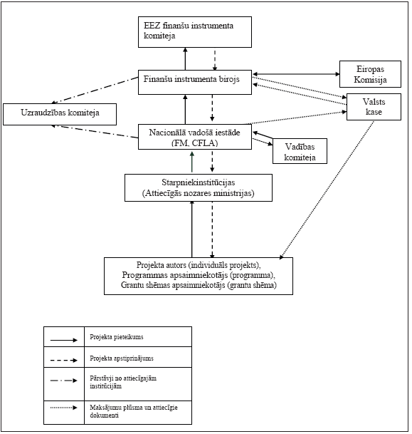
Vadības shēma Eiropas Ekonomikas zonas (EEZ) finanšu instrumenta ieviešanai
Ieviešanas sistēma
EEZ finanšu instrumenta komiteja vada EEZ finanšu instrumenta darbību un pieņem lēmumu par palīdzības piešķiršanu.
Finanšu instrumenta birojs (FIB) ir atbildīgs par ikdienas darbu veikšanu EEZ finanšu instrumenta ieviešanā un darbojas kā kontaktpersona.
A. Nacionālā vadošā iestāde
Finanšu ministrija pilda Nacionālās vadošās iestādes (NVI) funkcijas. NVI ir atbildīga par EEZ finanšu instrumenta aktivitāšu vadību Latvijas Republikā, kā noteikts šajā saprašanās memorandā (SM) un Finanšu instrumenta komitejas pieņemtajos noteikumos un procedūrās, ietverot vispārēju atbildību par līdzekļu izlietojumu, finanšu kontroli un auditu. Tās pamatpienākumi, kas vēl var tikt papildināti, ir šādi:
– nodrošināt projektu ieviešanai un uzraudzībai nepieciešamo nacionālo tiesību aktu izstrādāšanu;
– nodrošināt atbilstošu realizējamo projektu vadību un ieviešanu;
– savākt projektu pieteikumus un ar savu pamatotu viedokli iesniegt tos Finanšu instrumentu birojā (FIB);
– vadīt Uzraudzības un Vadības komiteju;
– nodrošināt efektīvu un lietderīgu pieejamo līdzekļu izlietojumu;
– nodrošināt pilnīgu un pietiekamu auditu visās iesaistītajās institūcijās;
– nodrošināt informācijas pieejamību un publicitāti par pieejamiem līdzekļiem;
– nodrošināt regulāru ziņojumu nosūtīšanu FIB par EEZ finanšu instrumenta ieviesto projektu realizēšanu, kā arī nekavējoties ziņot par jebkādām neatbilstībām;
– uzglabāt visus dokumentus, kas attiecas uz finanšu instrumenta ietvaros realizētajiem projektiem.
NVI loma tiks sīkāk aprakstīta Grantu līgumā starp EEZ finanšu instrumentu un saņēmējvalsti.
Daži no NVI uzdevumiem ir uzticēti (noslēdzot atsevišķu līgumu) Centrālai finanšu un līgumu aģentūrai (CFLA). CFLA ir valsts aģentūra Finanšu ministrijas pārraudzībā. Tās galvenās funkcijas ir šādas:
– noslēgt līgumus ar finansējuma saņēmējiem par projekta ieviešanu;
– saskaņā ar finansējuma saņēmēju noslēgto līgumu uzraudzīt un kontrolēt projektu ieviešanu un veikt nepieciešamās kontroles;
– izskatīt maksājumu pieprasījumus un pārbaudīt iesniegto dokumentu patiesumu un pareizību;
– sagatavot izdevumu deklarācijas un iesniegt tās maksājumu institūcijai (Valsts kasei);
– ziņot NVI par progresu projektu ieviešanā;
– atklāt neatbilstības un ziņot par tām NVI;
– uzglabāt visus dokumentus, kas attiecas uz Norvēģijas finanšu instrumenta ietvaros realizētajiem projektiem.
NVI izveidotā auditēšanas kārtība
NVI veiks nepārtrauktu apstiprināto projektu auditu, kā arī pārbaudes uz vietas un ziņos par tām FIB.
Valsts kontrolei ir tiesības veikt projektu auditu. Saskaņā ar nacionālo likumdošanu Valsts kontrole veic Eiropas Savienības un citu starptautisku organizāciju vai institūciju, kuru resursi iekļauti valsts budžetā vai vietējo pašvaldību budžetā, resursu izlietojuma revīziju. Valsts kontroles darbības mērķis ir noskaidrot, vai darbības ar iepriekšminētajiem resursiem ir likumīgas, korektas, ekonomiskas un efektīvas. Valsts kontrole ir pilnīgi neatkarīga no NVI un maksājumu iestādes.
NVI pienākums būs nodrošināt FIB ar visām Valsts kontroles ziņojumu kopijām par projektiem vai citām darbībām saistībā ar finanšu instrumentu.
NVI izveidotā norēķinu sistēma – maksājumu iestāde
Lai palielinātu darbības kvalitāti un nodrošinātu labu darījumu praksi, NVI deleģē finanšu vadības un kontroles uzdevumus maksājumu iestādei (Valsts kasei), kura pamatā ir atbildīga par:
– kontu apsaimniekošanu, kur tiek uzglabāti abu instrumentu līdzekļi;
– izstrādāt un piemērot principus un metodoloģiju, lai uzskaitītu saņemtos, izmaksātos, neizlietotos un atgūtos līdzekļus valsts budžeta institūcijām, kuras ir iesaistītas EEZ finanšu instrumenta vadībā;
– nodrošināt neizlietoto vai pārmaksāto līdzekļu atgriešanu Finanšu instrumentiem;
– pārbaudīt CFLA iesniegto izdevumu deklarācijas un iesniegt tās FIB;
– nodrošināt, lai maksājumi finansējuma saņēmējam tiktu veikti pēc iespējas ātrāk un iekļautos noteiktos laika termiņos;
– ziņot par finanšu plūsmu FIB.
B. ieviešanas palīgstruktūras
(Vadības komiteja, Uzraudzības komiteja un Starpniekinstitūcijas)
Vadības komiteja
Finanšu ministrija izveido vienu Vadības komiteju EEZ finanšu instrumentam un Norvēģijas finanšu instrumentam. Vadības komiteja ir NVI konsultatīva institūcija. Vadības komitejas uzdevumos ietilpst viedokļa un rekomendāciju sniegšanai par projektiem, kas ir piemēroti Finanšu instrumentu atbalsta saņemšanai, un Programmu un Grantu shēmu gadījumā, par projektu atlases kritērijiem un atlases procesu.
NVI pārstāvis vada Vadības komiteju. Vadības komitejā piedalās šādu institūciju un organizāciju pārstāvji:
– NVI;
– Attiecīgās nozares ministrijas;
– CFLA;
– Maksājumu iestāde (Valsts kases);
– Sociālie un ekonomiskie partneri;
– Nevalstiskās organizācijas (NVO);
– Reģionālie pārstāvji (no 5 plānošanas reģioniem).
Komitejas vadītājs kā novērotājus uzaicina Finanšu instrumenta biroja pārstāvjus un pēc vajadzības pārstāvjus no citām institūcijām un organizācijām, kuru klātbūtne varētu būt svarīga efektīvai finanšu instrumenta palīdzības ieviešanai.
Lai pienācīgi varētu novērtēt projektu, programmu un grantu shēmu pieteikumus, Vadības komiteja var izveidot darba grupas un iesaistīt individuālos ekspertus vai citas institūcijas
Uzraudzības komiteja
Finanšu ministrija izveido vienu Uzraudzības komiteju EEZ finanšu instrumentam un Norvēģijas finanšu instrumentam. Uzraudzības komiteja ir atbildīga par jau apstiprinātu projektu īstenošanas attīstības uzraudzību un par vispārēju palīdzības sniegšanu NVI visā projektu atlases procesa gaitā. Uzraudzības komiteja darbojas NVI vārdā.
Uzraudzības komiteja pārsvarā ir atbildīga par:
– periodisku ieviešamo projektu pārbaudi;
– ieteikumu novērtējumu par līdzekļu sadales izmaiņām starp prioritāšu sektoriem;
– periodisko ziņojumu novērtēšanu un apstiprināšanu;
– abu mehānismu ietvaros pieejamo finanšu resursu izlietojuma efektivitātes un lietderīguma novērtēšanu;
– to, lai NVI ir pilnībā informēta par projektu attīstību un neatbilstības gadījumiem granta nosacījumiem un noteikumiem.
Uzraudzības komitejas sastāvā ir pārstāvji no šādām institūcijām:
– NVI;
– Maksājumu iestādes (Valsts kases);
– Attiecīgās nozares ministrijām;
– CFLA;
– NVO;
– Sociālajiem un ekonomiskajiem partneriem;
– Reģionālie pārstāvji (no 5 plānošanas reģioniem).
Komitejas vadītājs ielūdz Finanšu instrumenta biroja pārstāvjus piedalīties sanāksmē kā novērotājus.
Starpniekinstitūcijas
Starpniekinstitūciju pienākumi ir uzticēti nozares ministrijām, kuras ir atbildīgas par attiecīgo prioritāro sektoru. Galvenie uzdevumi, kurus NVI var deleģēt attiecīgās nozares ministrijām, ir šādi:
– izvērtēt projektu pieteikumus un ieteikt izvēlētos projektus finansējuma saņemšanai;
– sagatavot projektu progresa ziņojumus;
– uzraudzīt projektu ieviešanu, jo sevišķi sagatavot NVI regulāros uzraudzības ziņojumus par finansiālo resursu izlietošanu;
– atklāt neatbilstības un ziņot par tām NVI;
– informēt sabiedrību par projektiem, kas ieviesti ar EEZ finanšu instrumenta līdzfinansējumu;
– uzglabāt visus dokumentus, kas attiecas uz ar EEZ finanšu instrumenta palīdzību realizētajiem projektiem.
C. Pieteikšanās procedūra
Projektu priekšlikumi ir jāiesniedz NVI, kura pēc sākotnējas izskatīšanas nosūta pieteikumu tālākai izskatīšanai Vadības komitejā. Kad Vadības komiteja ir devusi pozitīvu novērtējumu, un ja NVI uzskata, ka pieteikums ir atbilstoši noformēts, saskaņā ar Protokolu Nr. 38a, veicina vispārējo EEZ finanšu instrumenta mērķu sasniegšanu, tā drīkst pārsūtīt pieteikumu FIB kopā ar savu pamatotu viedokli. Ja Vadības komiteja rekomendē nesūtīt pieteikumu uz FBI, NVI paziņo par šo lēmumu pretendentam. Ja NVI atklāj, ka iesnieguma izskatīšanai ir nepieciešama papildus informācija no pretendenta, tā paziņo pretendentam un paskaidro, kādas korekcijas vai papildinājumi ir nepieciešami.
Aptuvenais laiks, kādā pieteikums tiek izskatīts Latvijā, ir 3 mēneši.
NVI paziņo kandidātam par EEZ finanšu instrumenta komitejas lēmumu par projekta apstiprināšanu vai noraidījumu. Ja pieteikums ir apstiprināts, NVI saņēmējvalsts vārdā paraksta Granta Līgumu ar EEZ finanšu instrumenta komiteju. Pēc tam NVI paraksta atsevišķu līgumu ar pretendentu, lai nodrošinātu pareizu projekta īstenošanu.
Iepirkums
Jebkura iepirkuma procedūra notiek saskaņā ar Latvijas Republikas nacionālo likumdošanu iepirkumu jomā.
Valoda
Visai sarakstei starp EEZ finanšu instrumentu un Latvijas institūcijām jānotiek angļu valodā. Ja dokumenti, kurus nosūta EEZ finanšu instrumentam, ir latviešu valodā, tiem jābūt pievienotam tulkojumam angļu valodā. Dokumenti, kurus nevajag sūtīt uz EEZ finanšu instrumentu, var būt sagatavoti latviešu valodā.
Visu prioritāšu sektoru projektu ieviešanas shēma:
B.pielikums
Saprašanās memoranda 7.pantā minētais Eiropas Ekonomikas zonas finanšu instrumenta programmēšanas ietvars
Atbilstoši šī SM 6. pantā noteiktajiem prioritārajiem sektoriem tiek noteiktas prioritātes šādās jomās:
1. Vides aizsardzība
– Integrēta vides piesārņojuma novēršana un kontrole
– Atjaunojamās enerģijas izmantošanas veicināšana
– Vides piesārņojuma kontroles sistēmu uzlabošana, īpaši lauksaimniecībā
– Elektrisko un elektronisko iekārtu atkritumu apsaimniekošanas sistēmas izveidošana
2. Ilgtspējīga attīstība
– Darbības spēju paaugstināšana ilgtspējīgas attīstības jomā un iespējama Ilgtspējīgas attīstības institūta izveidošana
– Organiskās lauksaimniecības izplatības veicināšana
– Dabas resursu pārvaldības un izmantošanas efektivitātes paaugstināšana
3. Eiropas kultūras mantojuma saglabāšana
– Amatu apmācība restaurācijā
– Latvijas pilsētu vēsturisko centru restaurācija
– Iespējama jūgendstila centra izveidošana Rīgā
– Padomju perioda nonkonformistiskā mantojuma dokumentēšana un saglabāšana
– Koka arhitektūras restaurācija
4. Veselība
– Mirstības un infekciozo slimību izplatības samazināšana
– Ar dzīvesveidu saistīto slimību samazināšana un ierobežošana
– Garīgās veselības aprūpes uzlabošana
– Veselības aprūpes iestāžu tehnisko un profesionālo spēju uzlabošana
5. Bērni ar īpašām vajadzībām (bērni invalīdi)
– Uzlabota pieeja un ārstēšanas iespējas bērniem ar īpašām vajadzībām veselības aprūpes sistēmā
– Bērnu ar īpašām vajadzībām integrācija izglītības sistēmā
6. Cilvēkresursu attīstība un izglītība
– Izglītības, apmācību un mūžizglītības sistēmu uzlabošana
– Pilsoniskās sabiedrības stiprināšana un sabiedrības integrācijas veicināšana saskaņā ar prioritātēm, kas noteiktas Latvijas pilsoniskās sabiedrības attīstības nacionālajā programmā, ieskaitot valodas apmācību
– Apmācības programmu izveide multimediju nozarē un vides aizsardzības nozarē
7. Akadēmiskie pētījumi
– 1–6 punktā minētās intervences jomas
8. Tehniskā palīdzība
– 1–6 punktā minētās intervences jomas
C. pielikums
Saprašanās memoranda 8.pantā minētās īpašās atbalsta formas
Puses ir vienojušās par šādām iespējamām grantu shēmām, turpmākai tālākai izstrādei un galīgai apstiprināšanai:
- Nevalstisko organizāciju (NVO) grantu shēmas (administratīvo spēju celšana un atbalsts projektiem)
- Stipendiju grantu shēmas
- Tehniskās palīdzības programma
- Projektu sagatavošanas fonds
- NVO grantu shēmas
NVO grantu shēmas atbalsīs nevalstiskas bezpeļņas organizācijas, kuras atbalsta sabiedrības interesēm atbilstošus pasākumus. Tā varētu atbalstīt NVO stiprināšanu, kā aktīvu partneri sabiedriskās debatēs un NVO iesaisti jomās, kas saistītas ar B. pielikumā minētajām, kā arī lēmumu pieņemšanas procesā par projektiem. Īpaša uzmanība tiks veltīta, lai veicinātu ilgstošu attīstību visās B.pielikumā definētajās jomās.
- Stipendiju grantu shēmas
Grantu shēma tiks izveidota, lai atbalstītu sadarbību Latvijas Republikas atbilstošo izglītības institūciju un EEZ EBTA valstu starpā B. pielikumā nodefinētajās jomās. Šāda sadarbība ietvers iespēju radīšanu Latvijas studentiem, lektoriem un vidusskolu, augstskolu un universitāšu ekspertiem studēt EEZ EBTA valstīs.
- Tehniskās palīdzības programma
Pasākumi, kuri attiecas uz informāciju par Norvēģijas/EEZ finanšu instrumentu fondu izmantošanas iespējām un to veicināšanu, tehniskās dokumentācijas sagatavi, dokumentu tulkošanu, ekspertu un padomdevēju palīdzību un atbalstu specifiskām NVI veiktajām darbībām atbilstoši Noteikumiem un procedūrām.
- Projektu sagatavošanas fonds
Fonds būs virzīts uz tehniskās palīdzības nodrošināšanu projektu iesniegumu izstrādāšanai. Tas tiks finansēts ar abu Finanšu instrumentu palīdzību, jo īpaši B.pielikumā nodefinētajās mērķjomās.