
Rīgā 2009.gada 21.jūlijā (prot. Nr.49 10.§)
21.panta pirmo daļu un likuma “Par atbilstības novērtēšanu” 7.pantu
1.1. prasības tekstilizstrādājumu marķējumam un tekstilšķiedru sastāva norādīšanai tekstilizstrādājumu marķējumā;
1.2. tekstilizstrādājumu sastāva atbilstības noteikšanu marķējumā norādītajai informācijai, lai ievērotu šo noteikumu 1.1.apakšpunktā minētās prasības;
1.3. dažādšķiedru maisījumu sastāva kvantitatīvās pārbaudes, lai īstenotu tekstilizstrādājumu sastāva atbilstības noteikšanu marķējumā norādītajai informācijai un nodrošinātu patērētājiem patiesu un pilnīgu informāciju par preci;
1.4. tekstilšķiedru marķēšanas tirgus uzraudzības kārtību.
2.1. tekstilizstrādājums – neapstrādāts, daļēji apstrādāts, apstrādāts, daļēji pārstrādāts un rūpnieciski ražots pusgatavs vai gatavs izstrādājums (pusfabrikāts vai fabrikāts), kas veidots tikai no tekstilšķiedrām neatkarīgi no maisīšanas vai saistīšanas paņēmieniem;
2.2. tekstilšķiedra – lokans un smalks vielisks veidojums, kura garums ir ievērojami lielāks nekā maksimālais šķērsgriezums un kuru var izmantot tekstilizstrādājumu ražošanai, kā arī lokanas strēmeles vai caurules, kuru nosakāmais platums (strēmeles vai caurules platums, kad tā ir salocīta, saplacināta, saspiesta vai savīta) vai vidējais platums (ja strēmeles vai caurules platums nav viscaur vienāds) nav lielāks par 5 mm (arī platākas strēmeles vai plēves, kas iegūtas no vielām, kuras izmanto šo noteikumu 1.pielikuma 19.līdz 47.punktā minēto šķiedru izgatavošanā un kuras var izmantot tekstilizstrādājumos).
3.1. izstrādājumi, kuru sastāvā ir vismaz 80 % tekstilšķiedras no kopējās izstrādājuma masas;
3.2. mēbeles, lietussargi un saulessargi, kuros ir vismaz 80 % tekstilsastāvdaļu no kopējās izstrādājuma masas;
3.3. daudzslāņainie grīdas pārklāji, matrači, tūrisma preces, apavu siltās oderes, cimdi (pirkstaiņi un dūraiņi), ja to daļās vai oderēs ir vismaz 80 % tekstilsastāvdaļu no kopējās izstrādājuma masas;
3.4. citos izstrādājumos iestrādāti tekstilizstrādājumi, ja tie ir attiecīgo izstrādājumu neatdalāma daļa un ja to tekstilšķiedru sastāvs ir norādīts.
4.1. ir paredzēti eksportam uz valstīm, kas nav Eiropas Savienības dalībvalstis vai Eiropas Ekonomikas zonas valstis;
4.2. tiek ievesti Latvijā muitas kontrolē tranzītam;
4.3. tiek ievesti pārstrādei no valstīm, kas nav Eiropas Savienības dalībvalstis vai Eiropas Ekonomikas zonas valstis;
4.4. saskaņā ar līgumu tiek nodoti mājražotājiem vai patstāvīgiem uzņēmumiem turpmākai tekstilmateriālu apstrādei, nemainot tekstilmateriāla īpašnieku.
5.1. ja tekstilizstrādājums tiek piegādāts pēc valsts pārvaldes iestāžu pasūtījuma;
5.2. ja tekstilizstrādājums nav paredzēts pārdošanai patērētājiem.
7.1. nosaukumus, aprakstus un datus par tekstilšķiedru sastāvu skaidri salasāmā un vienotā drukā norāda marķējumā, kā arī katalogos un tirdzniecības literatūrā;
7.2. tam pievieno marķējumu, kurā norādīta informācija par tekstilizstrādājuma kopšanas un tīrīšanas nosacījumiem. Minētajai informācijai jābūt neatdalāmai un stingri iešūtai audumā.
15.1. ja tekstilizstrādājums sastāv vienīgi no vilnas šķiedras, kura iepriekš nav bijusi iestrādāta gatavā izstrādājumā, nav tikusi pakļauta vērpšanas vai velšanas procesiem (izņemot tos, kas ir nepieciešami attiecīgā izstrādājuma ražošanā) un nav bojāta, to apstrādājot vai lietojot;
15.2. šo noteikumu 15.1.apakšpunktā minētā vilnas šķiedra tekstilšķiedru maisījumā ir vismaz 25 % no kopējās izstrādājuma masas;
15.3. mehāniski nesadalāmā maisījumā šo noteikumu 15.1.apakšpunktā minētajai vilnas šķiedrai ir piemaisīta tikai viena veida tekstilšķiedra.
17.1. norāda tās tekstilšķiedras nosaukumu, kura veido vismaz 85 % no kopējās izstrādājuma masas, un tās svara procentuālo daudzumu;
17.2. norāda tās tekstilšķiedras nosaukumu, kura veido vismaz 85 % no kopējās izstrādājuma masas, un vārdus “vismaz 85 %”;
17.3. norāda pilnīgu tekstilizstrādājuma procentuālo sastāvu.
22.1. neiederīgās tekstilšķiedras – līdz 2 % (kārstajiem tekstilizstrādājumiem – līdz 5 %) no tekstilizstrādājuma kopējās masas, ja tas ir tehniski nepieciešams;
22.2. ražošanas pielaide starp marķējumā norādītajiem šķiedru procentuālajiem daudzumiem un analīzēs iegūtajiem procentuālajiem daudzumiem – līdz 3 % attiecībā pret kopējo marķējumā norādīto šķiedru masu. Minētais nosacījums attiecas arī uz šķiedrām, kuras saskaņā ar šo noteikumu 18. un 19.punktu norādītas dilstošā masas secībā, neminot to procentuālo daudzumu, un uz šo noteikumu 15.2.apakšpunktā minētajām šķiedrām.
29.1. krūšturos – bļodiņu un mugurdaļu oderdrānām un ārdrānām;
29.2. korsetēs – stingrinošajām priekšslejām, mugurslejām un sānslejām;
29.3. krūškorsetēs (grācijās) – bļodiņu oderdrānām un ārdrānām, priekšslejām, mugurslejām un sānslejām;
29.4. citos korsešizstrādājumos – tām sastāvdaļām, kuru masa ir lielāka par 10 % no kopējās izstrādājuma masas.
40.1. visiem tekstilizstrādājumiem:
40.1.1. dekordetaļas, eģes, etiķetes, zīmotnes, emblēmas, apmales un dekordetaļas, kas nav tekstilizstrādājuma būtiska sastāvdaļa;
40.1.2. ar tekstilmateriāliem apvilktas pogas un sprādzes;
40.1.3. aksesuārus, rotājumus, neelastīgās lentes, elastīgos pavedienus un joslas, kas pievienotas īpašās tekstilizstrādājuma vietās;
40.1.4. redzamās un atdalāmās dekoršķiedras;
40.1.5. tekstilšķiedras, kurām ir antistatiska iedarbība;
40.2. grīdas pārklājiem un paklājiem – visas daļas, izņemot lietojumvirsmu;
40.3. mēbeļdrānām – saistošos pildšķērus, saistošos un piepildošos audus, kuri neveido lietojumvirsmas virsmas daļu;
40.4. priekškariem un aizkariem – saistošos pildšķērus, saistošos un piepildošos audus, kuri neveido auduma labās puses daļu;
40.5. citiem tekstilizstrādājumiem:
40.5.1. pamatnes drānu, kā arī stingrojumus un pastiprinājumus (pavedienus vai materiālus, kas pievienoti īpašās tekstilizstrādājuma vietās, lai piešķirtu tam stingrumu vai biezumu);
40.5.2. starplikas un paaudeklojumus (padrānas);
40.5.3. šujamdiegus un saistdiegus, ja tie neaizstāj auduma šķērus vai audus;
40.5.4. pildījumus, kuriem nav siltumizolācijas funkciju;
40.5.5. oderes (ievērojot šo noteikumu 27.punktā minēto nosacījumu);
40.6. eļļotājus, saistvielas, smadzinātājus, smites, apretes, impregnētājus, palīgvielas, kas izmantotas krāsošanai, apdrukāšanai un citiem tekstiliju apstrādes procesiem. Minētās vielas tekstilizstrādājumos nedrīkst būt tādā daudzumā, ka varētu maldināt patērētāju.
49.1. Ministru kabineta 2005.gada 19.aprīļa noteikumus Nr.272 “Noteikumi par tekstilšķiedru sastāva norādīšanu tekstilizstrādājumu marķējumā” (Latvijas Vēstnesis, 2005, 65.nr.; 2006, 138.nr.; 2007, 165.nr.);
49.2. Ministru kabineta 2006.gada 22.augusta noteikumus Nr.675 “Kārtība, kādā veic dažādšķiedru maisījuma sastāva kvantitatīvās pārbaudes, lai noteiktu tekstilizstrādājuma sastāva atbilstību marķējumā norādītajai informācijai” (Latvijas Vēstnesis, 2006, 138.nr.; 2007, 165.nr.).
1) Padomes 1973.gada 26.februāra Direktīvas 73/44/EEK par dalībvalstu tiesību aktu tuvināšanu attiecībā uz trīskāršo tekstilšķiedras maisījumu kvantitatīvo analīzi;
2) Eiropas Parlamenta un Padomes 1996.gada 16.decembra Direktīvas 96/73/EK par dažām metodēm divkāršo tekstilšķiedru maisījumu kvantitatīvai analīzei;
3) Komisijas 2006.gada 6.janvāra Direktīvas 2006/2/EK, ar ko groza Eiropas Parlamenta un Padomes 1996.gada 16.decembra Direktīvas 96/73/EK par dažām metodēm divkāršo tekstilšķiedru maisījumu kvantitatīvai analīzei II pielikumu, lai pielāgotu to tehnikas attīstībai;
4) Komisijas 2007.gada 2.februāra Direktīvas 2007/4/EK, ar ko groza II pielikumu Eiropas Parlamenta un Padomes Direktīvai 96/73/EK par dažām metodēm divkāršo tekstilšķiedru maisījumu kvantitatīvajai analīzei, lai pielāgotu šo pielikumu tehnikas attīstībai;
5) Eiropas Parlamenta un Padomes 2009.gada 14.janvāra Direktīvas 2008/121/EK par tekstilmateriālu nosaukumiem.
Ekonomikas ministrs A.Kampars
Ministru kabineta
2009.gada 21.jūlija noteikumiem Nr.794
|
Nr. |
Tekstilšķiedras nosaukums (vārdu “tekstilšķiedra” marķējumā var nenorādīt) |
Tekstilšķiedras apraksts |
|
1. |
Vilna* |
šķiedra no aitu vai jēru (Ovis aries) cirpņa |
|
2. |
Alpakas, angoras, bebra, gvanako, jaka, kamieļa, kašgoras, kašmira, lamas, mohēras, ūdra, vikuņas vilna vai mati (vārdus “vilna” vai “matšķiedra” marķējumā var nenorādīt)* |
šādu dzīvnieku apmatojums: alpakas, angoras kazas, angoras truša, bebra, gvanako, jaka, kamieļa, kašgoras kazas, kašmira kazas, lamas, vikuņas, ūdra |
|
3. |
Zirgu astri vai citu dzīvnieku rupjmati (dzīvnieka sugu marķējumā var nenorādīt) |
zirgu un citu dzīvnieku mati, kas nav minēti šā pielikuma 1. vai 2.punktā |
|
4. |
Zīds |
šķiedra, kas iegūta no zīdkāpura kokona |
|
5. |
Kokvilna |
šķiedra, kas iegūta no kokvilnas (Gossypium) sēklu lidpūkām |
|
6. |
Kapoks |
šķiedra, kas iegūta no kapoka (Ceiba pentandra) sēklu lidpūkām |
|
7. |
Lins |
šķiedra, kas iegūta no linu lūksnes (Linum usitatissimum) |
|
8. |
Kaņepāji |
šķiedra, kas iegūta no kaņepju lūksnes (Cannabis sativa) |
|
9. |
Džuta |
šķiedra, kas iegūta no Corchorus olitorius un Corchorus capsularis lūksnes, kā arī no Hibis-cus cannabinus, Hibiscus sabdariffa, Abutilon avcennae, Urena lobata, Urena sinuata |
|
10. |
Abaka |
šķiedra, kas iegūta no Musa textilis lapām |
|
11. |
Alfa |
šķiedra, kas iegūta no Stipa tenacissima lapām |
|
12. |
Koira (kokosšķiedras) |
šķiedra, kas iegūta no Cocos nucifera augļu apvalka |
|
13. |
Slotzaris |
šķiedra, kas iegūta no Cytisus scoparius vai Spartium junceum lūksnes |
|
14. |
Rāmija |
šķiedra, kas iegūta no Boehmeria nivea un Boehmeria tenacissima lūksnes |
|
15. |
Sizals |
šķiedra, kas iegūta no Agave sisalana lapām |
|
16. |
Sunna |
šķiedra, kas iegūta no Crotalaria juncea lūksnes |
|
17. |
Henekens |
šķiedra, kas iegūta no Agave fourcroydes lapām |
|
18. |
Magejs |
šķiedra, kas iegūta no Agave cantala lapām |
|
19. |
Acetāts |
celulozes acetātšķiedra, kurā 74–92 % hidroksilgrupu ir acetilētas |
|
20. |
Algināts |
šķiedra, kas iegūta no algīnskābes metālu sāļiem |
|
21. |
Kupro |
reģenerēta celulozes šķiedra, kas iegūta ar vara– amonjaka reaģenta paņēmienu |
|
22. |
Modālviskoze |
reģenerētas celulozes šķiedra, kas iegūta modificētā viskozes procesā un kurai ir augsts trūkšanas spēks un modulis mitrā stāvoklī. Trūkšanas spēks kondicionētā stāvoklī (Bc) un spēks, kas nepieciešams, lai iegūtu pagarinājumu 5 % mitrā stāvoklī (Bm), ir: Bc (CN) ≥ 1,3 √T + 2T; Bm (CN) ≥ 0,5√T, kur T – vidējais lineārais blīvums deciteksu mērvienībās |
|
23. |
Proteīns |
šķiedra, kas iegūta no dabiskām olbaltumvielām, kuras reģenerētas un stabilizētas, iedarbojoties uz tām ar ķīmiskajām vielām |
|
24. |
Triacetāts |
celulozes acetātšķiedra, kurā vismaz 92 % hidroksilgrupu ir acetilētas |
|
25. |
Viskoze |
reģenerēta celulozes šķiedra, kas veidota viskozes procesā filamentšķiedru un štāpeļšķiedru ieguvei |
|
26. |
Akrils |
šķiedra, kas veidota no lineārām makromolekulām, kuru ķēdēs vismaz 85 % masas ir akrilnitrila elementārvienību |
|
27. |
Hloršķiedra |
šķiedra, kas veidota no lineārām makromolekulām, kuru ķēdēs vairāk nekā 50 % masas ir vinilhlorīda vai vinilidēnhlorīda elementārvienību |
|
28. |
Fluoršķiedra |
šķiedra, kas veidota no lineārām makromolekulām, kuru ķēdes sastāv no tetrafluoretilēna elementārvienībām |
|
29. |
Modakrils |
šķiedra, kas veidota no lineārām makromolekulām, kuru ķēdēs 50–85 % masas ir akrilnitrila elementārvienību |
|
30. |
Poliamīds vai neilons |
šķiedra, kas veidota no sintētiskām lineārām makromolekulām, kuru ķēdēs atkārtojas amīdu saites, no kurām vismaz 85 % ir saistītas ar alifātiskajām vai cikloalifātiskajām vienībām |
|
31. |
Aramīds |
šķiedra, kas veidota no sintētiskām lineārām makromolekulām, kuras sastāv no aromātiskām grupām, kas savienotas ar amīda vai imīda saitēm, no kurām vismaz 85 % ir tieši saistītas ar diviem aromātiskajiem gredzeniem un ar vairākām imīdu saitēm, ja to nav vairāk par amīda saišu skaitu |
|
32. |
Poliimīds |
šķiedra, kas veidota no sintētiskām lineārām makromolekulām, kuru ķēdēs periodiski atkārtojas imīdu funkcionālās grupas |
|
33. |
Liocels |
reģenerēta celulozes šķiedra, kas iegūta, izmantojot slapjās formēšanas paņēmienu, no šķīduma organiskos šķīdinātājos (organisks ķimikāliju un ūdens maisījums), neveidojot derivatīvus |
|
34. |
Polilaktīds |
šķiedra, ko veido lineārās makromolekulas, kuru ķēdē (pēc masas) ir vismaz 85 % pienskābes esteru, ko iegūst no dabā sastopamiem cukuriem un kuru kušanas temperatūra ir vismaz 135°C |
|
35. |
Poliesteris |
šķiedra, kas veidota no lineārām makromolekulām, kuru ķēdēs vismaz 85 % masas ir diola un tereftālskābes estera elementārvienību |
|
36. |
Polietilēns |
šķiedra, kas veidota no neaizvietota alifātiskā piesātinātā ogļūdeņraža lineārajām makromolekulām |
|
37. |
Polipropilēns |
šķiedra, kas veidota no alifātiskā piesātinātā ogļūdeņraža lineārajām makromolekulām, kur vienam no diviem oglekļa atomiem pievienota metilgrupa izotaktiskā sakārtojumā |
|
38. |
Polikarbamīds |
šķiedra, kas veidota no lineārām makromolekulām, kuru ķēdēs atkārtojas karbamīda atlikuma funkcionālās grupas (NH-CO-NH) |
|
39. |
Poliuretāns |
šķiedra, kas veidota no lineārām makromolekulām, kuru ķēdēs atkārtojas uretāna funkcionālās grupas |
|
40. |
Vinilāls |
šķiedra, kas veidota no lineārām makromolekulām, kuru ķēdes ir veidotas no polivinilspirta, kuram ir dažādas acetilēšanas pakāpes |
|
41. |
Trivinils |
šķiedra, kas veidota no akrilnitrila kopolimēra, kurā ir hlorēts vinilmonomērs un trešais vinilmonomērs, no kuriem neviena nav vairāk par 50 % no kopējās masas |
|
42. |
Elastodiēns |
elastošķiedra, kas iegūta no dabiskā vai sintētiskā poliizoprēna vai no viena vai vairākiem diēniem, kas polimerizēti bez vinilmonomēriem vai ar vienu vai vairākiem vinilmonomēriem un kas pēc trīskāršas izstiepšanas tūlīt pamatā atgūst sākotnējo garumu |
|
43. |
Elastāns |
elastošķiedra, kas veidota no vismaz 85 % masas segmentēta poliuretāna un kas pēc trīskāršas izstiepšanas tūlīt pamatā atgūst sākotnējo garumu |
|
44. |
Stikla šķiedra |
šķiedra, kas veidota no stikla |
|
45. |
Nosaukums, kas atbilst materiālam, no kura veidotas attiecīgās šķiedras, piemēram, metāla (metāliska, metalizēta), azbesta, papīra vai cita materiāla, kuram seko (vai neseko) vārds “šķiedra” vai “pavediens” |
šķiedras, kas iegūtas no materiāliem, kas nav minēti iepriekš |
|
46. |
Elastomultiesteris |
Šķiedra, kura veidojas, mijiedarbojoties divām vai vairākām ķīmiski atšķirīgām un divās vai vairākās atšķirīgās fāzēs esošām lineārām makromolekulām (nevienai nepārsniedzot 85 % no masas), un kurā noteicošā funkcionālā vienība ir esteru grupas (vismaz 85 %), un kura pēc atbilstošas apstrādes un izstiepšanas (pusotras reizes pārsniedzot sākotnējo garumu) un atbrīvošanas strauji un gandrīz pilnībā atgūst sākotnējo garumu |
|
47. |
Elastolefīns |
Šķiedra, kas veidota no vismaz 95 % (pēc masas) daļēji šķērsšūtām makromolekulām, kuras sastāv no etilēna un vismaz vēl viena olefīna, un kura pēc izstiepšanas (pusotras reizes pārsniedzot sākotnējo garumu) un atbrīvošanas strauji un gandrīz pilnībā atgūst savu sākotnējo garumu |
Piezīme.
* Vārds “vilna” attiecas arī uz šķiedru maisījumu no aitas vilnas vai jēra vilnas un šā pielikuma 2.punkta 3.ailē minēto dzīvnieku matiem, kā arī uz šo noteikumu 14., 15., 16., 17., 18., 19., 20., 21., 22., 23., 24. un 25.punktā minētajiem tekstilizstrādājumiem, ja tie daļēji ir veidoti no šā pielikuma 1. un 2.punktā minētajām šķiedrām.
Ministru kabineta
2009.gada 21.jūlija noteikumiem Nr.794
2. Pulksteņsiksnas no tekstilmateriāliem.
3. Etiķetes, zīmotnes un emblēmas.
4. Polsterēti trauku tveramie no tekstilmateriāliem.
5. Kafijas sildāmie pārklāji.
6. Tējas sildāmie pārklāji.
7. Piedurkņu aizsargi.
8. Uzroči, kas nav no plūksnota auduma.
9. Mākslīgie ziedi.
10. Adatu spilventiņi.
11. Apgleznoti audekli.
12. Tekstilizstrādājumi, kas lietojami kā stingrojumi vai pamatnes, vai apakšslāņa drānas.
13. Filcs un tūba.
14. Lietoti šūtie tekstilizstrādājumi, ja ir skaidra norāde par to, ka tekstilizstrādājums ir lietots.
15. Getras.
16. Iepakojumi, kas nav jauni un tiek pārdoti kā iepakojumi, kas nav jauni.
17. Filca cepures.
18. Mīkstie somu izstrādājumi bez pastiprinājuma un zirglietas no tekstilmateriāliem.
19. Ceļojuma piederumi no tekstilmateriāliem.
20. Ar rokām izšūti gobelēni (pabeigti vai nepabeigti) un materiāli to ražošanai, arī izšūšanas diegi, ko pārdod atsevišķi no audekla un kas paredzēti lietošanai attiecīgajos gobelēnos.
21. Rāvējslēdzēji.
22. Pogas un sprādzes, kas apvilktas ar tekstilmateriāliem.
23. Grāmatu vāki no tekstilmateriāliem.
24. Rotaļlietas.
25. Apavu daļas no tekstilmateriāliem, izņemot siltās oderes.
26. Dažādu komponentu galda sedziņas, kurām virsma nav lielāka par 500 cm2.
27. Plīts cimdi un plīts drānas.
28. Olu sildītāji.
29. Kosmētikas somiņas.
30. Tabakmaki no tekstilmateriāla.
31. Briļļu, ķemmju, cigarešu, cigāru un šķiltavu futrāļi un etvijas no tekstilmateriāla.
32. Aizsargpiederumi sportistiem (izņemot cimdus).
33. Tualetes maciņi.
34. Kurpju tīrāmo futrāļi.
35. Apbedīšanas piederumi.
36. Vienreizējā lietojuma preces, izņemot vati (tekstilizstrādājumi, kas veidoti tā, lai tiktu izmantoti vienu reizi vai ierobežotu laikposmu, un kuru normāla lietošana nepieļauj atjaunošanu turpmākai lietošanai tam pašam vai līdzīgam mērķim).
37. Tekstilpreces, uz kurām attiecas Eiropas Farmakopejas noteikumi un atsauces uz tiem, vairākkārtējas lietošanas medicīniskie un ortopēdiskie pārsēji un ortopēdiskās tekstilpreces kopumā.
38. Tekstilpreces (arī virves, tauvas un auklas), kas paredzētas:
38.1. lietošanai par iekārtu sastāvdaļām preču ražošanā vai apstrādē;
38.2. iestrādāšanai mašīnās, instalācijās (piemēram, karsēšanai, gaisa kondicionēšanai vai apgaismošanai), sadzīves un citās ierīcēs, satiksmes līdzekļos vai to darbībai, uzturēšanai vai ierīkošanai, izņemot brezenta pārklājus un vieglo automašīnu tekstila piederumus, kas tiek pārdoti atsevišķi no automašīnas.
39. Tekstilpreces drošībai un aizsardzībai: drošības jostas, izpletņi, glābšanas vestes, avārijas izeju celiņi, ugunsdzēsības piederumi, pretložu vestes un speciāli aizsargtērpi (piemēram, aizsardzībai pret uguni, ķīmiskajām vielām vai citiem drošības riskiem).
40. Ar gaisu pildītas konstrukcijas (piemēram, sporta zāles, izstāžu stendi vai noliktavas), ja to izpildījuma un tehniskās specifikācijas ir norādītas.
41. Buras.
42. Apģērbi dzīvniekiem.
43. Karogi un vimpeļi.
Ministru kabineta
2009.gada 21.jūlija noteikumiem Nr.794
2. Tīrīšanas lupatas.
3. Apmales un rotājumi.
4. Pozamenti.
5. Jostas.
6. Bikšturi.
7. Ģērbturi un zeķturi.
8. Kurpju un zābaku saites.
9. Lentes.
10. Ieveramās gumijas.
11. Pirmējie iepakojumi, kas tiek pārdoti kā jauni iepakojumi.
12. Saiņošanas un lauksaimniecības auklas, alpīnismā un ūdenssportā lietojamās auklas un virves, kā arī virves, tauvas un auklas, kurām nav piemērojams šo noteikumu 2.pielikuma 38.punkts. Minēto tekstilizstrādājumu kopējam marķējumam jābūt uz spoles (ja tie tiek pārdoti metros).
13. Galda sedziņas.
14. Kabatlakati.
15. Mezgloti tīkli un matu tīkliņi.
16. Kaklasaites un tauriņi bērniem.
17. Krūšautiņi (“lacītes”), mazgāšanas cimdi un flaneļa salvetes sejai.
18. Šūšanas, lāpīšanas un izšūšanas diegi, kuriem neto masa, pārdodot mazumtirdzniecībā, ir 1 g vai mazāk.
19. Lentes aizkariem, aizlaidnēm un žalūzijām.
Ministru kabineta
2009.gada 21.jūlija noteikumiem Nr.794
|
Nr. |
Tekstilšķiedras nosaukums |
Procenti |
|
1. |
Vilna un dzīvnieku mati: |
|
|
1.1. |
ķemmētās (ķemmdzijas) šķiedras |
18,25 |
|
1.2. |
kārstās (arī aparātdzijas) šķiedras (arī, ja nav iespējams noteikt, vai tekstilizstrādājums, kura sastāvā ir vilna vai dzīvnieku mati, ir kārsts vai ķemmēts) |
17,00 |
|
2. |
Dzīvnieku mati: |
|
|
2.1. |
ķemmētās (ķemmdzijas) šķiedras |
18,25 |
|
2.2. |
kārstās (arī aparātdzijas) šķiedras (arī, ja nav iespējams noteikt, vai tekstilizstrādājums, kura sastāvā ir vilna vai dzīvnieku mati, ir kārsts vai ķemmēts) |
17,00 |
|
3. |
Zirgu astri: |
|
|
3.1. |
ķemmētās (ķemmdzijas) šķiedras |
16,00 |
|
3.2. |
kārstās (arī aparātdzijas) šķiedras |
15,00 |
|
4. |
Zīds |
11,00 |
|
5. |
Kokvilna: |
|
|
5.1. |
parastās šķiedras |
8,50 |
|
5.2. |
merserizētās šķiedras |
10,50 |
|
6. |
Kapoks |
10,90 |
|
7. |
Lins |
12,00 |
|
8. |
Kaņepāji |
12,00 |
|
9. |
Džuta |
17,00 |
|
10. |
Abaka |
14,00 |
|
11. |
Alfa |
14,00 |
|
12. |
Koira (kokoss) |
13,00 |
|
13. |
Irbulene |
14,00 |
|
14. |
Rāmija |
8,50 |
|
15. |
Sizals |
14,00 |
|
16. |
Sunna |
12,00 |
|
17. |
Henekens |
14,00 |
|
18. |
Magejs |
14,00 |
|
19. |
Acetāts |
9,00 |
|
20. |
Algināts |
20,00 |
|
21. |
Kupro |
13,00 |
|
22. |
Modālviskoze |
13,00 |
|
23. |
Proteīns |
17,00 |
|
24. |
Triacetāts |
7,00 |
|
25. |
Viskoze |
13,00 |
|
26. |
Akrils |
2,00 |
|
27. |
Hloršķiedra |
2,00 |
|
28. |
Fluoršķiedra |
0,00 |
|
29. |
Modakrils |
2,00 |
|
30. |
Poliamīds (neilons): |
|
|
30.1. |
štāpeļšķiedras |
6,25 |
|
30.2. |
filamentšķiedras |
5,75 |
|
31. |
Aramīds |
8,00 |
|
32. |
Poliimīds |
3,50 |
|
33. |
Liocels |
13,00 |
|
34. |
Polilaktīds |
1,50 |
|
35. |
Poliesters: |
|
|
35.1. |
štāpeļšķiedras |
1,50 |
|
35.2. |
filamentšķiedras |
1,50 |
|
36. |
Polietilēns |
1,50 |
|
37. |
Polipropilēns |
2,00 |
|
38. |
Polikarbamīds |
2,00 |
|
39. |
Poliuretāns: |
|
|
39.1. |
štāpeļšķiedras |
3,50 |
|
39.2. |
filamentšķiedras |
3,00 |
|
40. |
Vinilāls |
5,00 |
|
41. |
Trivinils |
3,00 |
|
42. |
Elastodiēns |
1,00 |
|
43. |
Elastāns |
1,50 |
|
44. |
Stikla šķiedra: |
|
|
44.1. |
ar diametru, lielāku par 5 µm |
2,00 |
|
44.2. |
ar diametru 5 µm un mazāku |
3,00 |
|
45. |
Citu materiālu šķiedras: |
|
|
45.1. |
metāliskās šķiedras |
2,00 |
|
45.2. |
metalizētās šķiedras |
2,00 |
|
45.3. |
azbests |
2,00 |
|
45.4. |
papīra pavedieni |
13,75 |
|
46. |
Elastomultiesteris |
1,50 |
|
47. |
Elastolefīns |
1,50 |
Ministru kabineta
2009.gada 21.jūlija noteikumiem Nr.794
1. Vispārīgie jautājumi
1. Šķiedru maisījumu kvantitatīvās analīžu metodes pamatojas uz diviem galvenajiem procesiem – uz šķiedru manuālo (mehānisko) atdalīšanu un šķiedru ķīmisko atdalīšanu:
1.1. manuālo (mehānisko) metodi lieto visos iespējamos gadījumos (tā dod precīzākus rezultātus nekā ķīmiskā metode). To var izmantot visiem tekstilizstrādājumiem, kuru šķiedru komponenti neveido nesadalāmus maisījumus. Piemēram, to var izmantot pavedieniem, kas sastāv no vairākiem elementiem, no kuriem katrs ir iegūts no viena veida šķiedras, vai audumiem, kuros šķēri un audi atšķiras pēc šķiedru veida, vai adījumiem, kas ir izārdāmi dažādu veidu šķiedru pavedienos;
1.2. ķīmiskā metode parasti pamatojas uz atsevišķu komponentu selektīvo šķīdināšanu. Pēc komponenta atdalīšanas nešķīstošo atlikumu nosver un šķīstošā komponenta saturu aprēķina pēc masas zuduma. Šā pielikuma 1.1.apakšnodaļā minēti nosacījumi, kas ir kopīgi visām divkomponentu maisījumu analīzēm, izmantojot ķīmisko metodi visiem šķiedru maisījumiem neatkarīgi no to sastāva.
2. Šķiedru maisījumi pārstrādes laikā un gatavie tekstilizstrādājumi (mazākā mērā) var saturēt nešķiedru vielas, piemēram, taukus, vaskus, apretes vai ūdenī šķīstošas vielas, kas rodas dabiski vai tiek pievienotas, lai sekmētu pārstrādi. Nešķiedru vielas pirms analīzēm jāatdala.
3. Tekstilizstrādājumi var saturēt sveķus un citas vielas, kas lietotas, lai piešķirtu tiem speciālas īpašības. Šādas vielas un (izņēmuma gadījumos) krāsvielas var traucēt reaģentu iedarbību uz šķīdināmo komponentu vai reaģents tās var daļēji vai pilnīgi atdalīt. Tas var radīt kļūdas, tāpēc minētās papildvielas pirms parauga analizēšanas atdala. Ja tās nav iespējams atdalīt, kvantitatīvās ķīmiskās analīzes metodes nav piemērojamas.
4. Krāsotās tekstildrānās krāsviela ir uzskatāma par šķiedrā integrētu sastāvdaļu un nav atdalāma.
5. Analīzes veic, pamatojoties uz sauso masu. Galīgo rezultātu iegūst, katras šķiedras sausajai masai pierēķinot saskaņotos resorbātu (galvenokārt mitruma) pieļāvumus (4.pielikums).
6. Pirms jebkuru analīžu veikšanas visām maisījumā esošajām šķiedrām jābūt identificētām. Lietojot dažas konkrētas metodes, maisījuma nešķīdināmo komponentu var daļēji izšķīdināt ar reaģentu, ko lieto šķīdināmā komponenta šķīdināšanai. Ja iespējams, izvēlas tādus reaģentus, kas uz nešķīdināmajām šķiedrām iedarbojas maz vai neiedarbojas nemaz. Ja ir zināms, ka analīžu laikā rodas masas zudums, rezultātus koriģē. Korekcijas koeficienti ir noteikti vairākās laboratorijās, apstrādājot iepriekš attīrītas šķiedras ar attiecīgo konkrētajai analīzes metodei atbilstošu reaģentu. Šie korekcijas koeficienti attiecas tikai uz nedestruktētām šķiedrām. Ja šķiedras pirms apstrādes vai tās laikā ir destruktētas, nepieciešami citi korekcijas koeficienti. Noteiktu šķiedru divkomponentu maisījumu kvantitatīvo analīžu metodes lieto vienam aprēķinam. Jāveic vismaz divi aprēķini atsevišķām raudzēm – gan atdalot manuāli (mehāniski), gan atdalot ķīmiski. Ja tehniski iespējams, rezultātu apstiprināšanai ieteicams lietot alternatīvas metodes, kurās sastāvdaļa, kas bija atlikums, lietojot pamatmetodi, tiek izšķīdināta vispirms.
1.1. Tekstilšķiedru maisījumu kvantitatīvo analīžu ķīmiskā metode
7. Atbilstoši katras metodes lietošanas jomai nosaka, kurām šķiedrām attiecīgā metode ir piemērojama saskaņā ar šā pielikuma 29.punktā minēto tabulu.
8. Pēc maisījuma komponentu identifikācijas veic iepriekšējo attīrīšanu, atdalot nešķiedru vielas. Pēc tam (parasti – izmantojot selektīvo šķīdināšanu) atdala vienu no komponentiem (izņemot šā pielikuma 29.punkta tabulā minēto 12.metodi, kas pamatojas uz komponentu sastāvā esošās vielas satura noteikšanu). Nešķīstošo atlikumu nosver, un izšķīdinātā komponenta daļu aprēķina pēc masas zuduma. Ja tehniski iespējams, ieteicams izšķīdināt šķiedru, kuras ir vairāk, atstājot kā atlikumu šķiedru, kuras ir mazāk.
9. Lietojot ķīmisko analīžu kvantitatīvās metodes, izmanto šādus materiālus un iekārtas:
9.1. aparatūru, kas ietver:
9.1.1. filtrtīģeļus un sverglāzes, kas ir pietiekami lielas, lai tajās ievietotu filtrtīģeļus, vai citu aparatūru, ar kuru var iegūt identiskus rezultātus;
9.1.2. vakuuma kolbu;
9.1.3. eksikatoru ar silikagelu, kas satur indikatoru;
9.1.4. ventilējamu žāvējamo skapi raudžu žāvēšanai 150 (± 3) °C temperatūrā;
9.1.5. analītiskos svarus (ar precizitāti ± 0,0002 g);
9.1.6. Soksleta ekstraktoru vai citu aparatūru, ar kuru var iegūt identiskus rezultātus;
9.2. ķīmiski tīrus reaģentus, kas ietver:
9.2.1. petrolēteri, pārdestilētu, ar viršanas temperatūru 40–60 °C;
9.2.2. citus reaģentus, kas minēti attiecīgajā šo noteikumu nodaļā;
9.2.3. destilētu vai dejonizētu ūdeni;
9.2.4. acetonu;
9.2.5. ortofosforskābi;
9.2.6. karbamīdu;
9.2.7. nātrija bikarbonātu.
10. Analizējot sausās masas, raudzes nav nepieciešams kondicionēt vai veikt analīzes kondicionālos klimatiskajos apstākļos.
11. Analizē testēšanas paraugu, kas pārņem laboratorijas parauga neviendabīgumu un ir tik liels, lai no tā iegūtu visas raudzes, kuru masa ir vismaz 1 g katrai.
12. Testēšanas paraugu iepriekš attīra, ievērojot šādu procedūru:
12.1. ja paraugā ir viela, kura nav jāņem vērā procentuālajos aprēķinos, tā vispirms jāatdala, lietojot attiecīgu metodi, kas neietekmē nevienu no komponentšķiedrām;
12.2. nešķiedru vielas, kuras var ekstrahēt ar petrolēteri un ūdeni, atdala, gaisa sauso testēšanas paraugu Soksleta aparātā apstrādājot ar petrolēteri vienu stundu ar minimālo ātrumu seši cikli stundā. Atstāj, lai petrolēteris iztvaiko. Pēc tam paraugus ekstrahē ar ūdeni, mērcējot vienu stundu iekštelpu gaisa temperatūrā, un mērcē 65 (± 5) °C temperatūrā vēl vienu stundu, šķidrumu laiku pa laikam maisot. Testēšanas parauga un ūdens proporcija ir 1:100. Testēšanas paraugu nospiežot, centrifugējot vai atsūcot ar vakuumu, atdala ūdeni un ļauj paraugam izžūt gaisā;
12.3. ja nešķiedru vielu nevar ekstrahēt ar petrolēteri un ūdeni, to atdala, izmantojot citu metodi, kas būtiski neizmaina nevienu no šķiedru komponentiem. Dažām nebalinātām dabiskajām augšķiedrām (piemēram, džutai, koirai) ar parasto iepriekšējo attīrīšanu (ar petrolēteri un ūdeni) nav iespējams atdalīt visas dabiskās nešķiedru vielas, tomēr tām papildu iepriekšējo attīrīšanu neveic, ja vien paraugs nesatur apretes, kas nešķīst ne petrolēterī, ne ūdenī. Testēšanas pārskatos iekļauj iepriekšējā attīrīšanā izmantoto metožu pilnīgu detalizētu aprakstu;
12.4. ja paraugā ir elastolefīns vai šķiedru maisījums, kura sastāvā ir elastolefīns un citas vielas (vilna, dzīvnieku mati, zīds, kokvilna, lini, kaņepāji, džuta, abaka, alfas kokosa šķiedras, slotzaru šķiedra, rāmija, sizals, kupro, modālviskoze, proteīns, viskoze, akrils, poliamīds vai neilons, poliesteris un elastomultiesteris), veic šā pielikuma 12.3.apakšpunktā minēto procedūru, petrolēteri aizstājot ar acetonu;
12.5. ja šķiedru maisījuma sastāvā ir elastolefīns un acetāts, testēšanas paraugu ekstrahē 10 minūtes 80 oC temperatūrā ar šķīdumu, kas satur 25 g/l 50 % ortofosforskābes un 50 g/l urīnskābes. Testēšanas parauga un šķīduma attiecība ir 1:100. Testēšanas paraugu mazgā ūdenī, tad žāvē un mazgā 0,1 % nātrija bikarbonāta šķīdumā. Nobeigumā testēšanas paraugu mazgā ūdenī.
13. Paraugu testē, ievērojot šādu procedūru:
13.1. testēšanas paraugu žāvē atbilstoši šādiem nosacījumiem:
13.1.1. žāvē ne mazāk kā četras un ne vairāk kā 16 stundas 105 (± 3) °C temperatūrā ventilējamā žāvēšanas skapī, kura durvis ir cieši aizvērtas. Ja žāvēšanas laiks ir īsāks par 14 stundām, testēšanas paraugam regulāri pārbauda masu, lai noteiktu, vai tā ir nemainīga (konstanta). Masu uzskata par nemainīgu (konstantu), ja pēc 60 minūšu papildu žāvēšanas tā mainījusies mazāk par 0,05 %;
13.1.2. žāvēšanas, dzesēšanas un svēršanas laikā izvairās aiztikt ar kailām rokām tīģeļus, sverglāzes, raudzes un atlikumus;
13.1.3. raudzes žāvē sverglāzē, tās vāku novieto līdzās. Pēc izžāvēšanas un pirms izņemšanas no žāvējamā skapja sverglāzi aizvāko un ātri pārliek eksikatorā;
13.1.4. filtrtīģeli žāvē sverglāzē, tās vāku novieto līdzās žāvējamā skapī. Pēc žāvēšanas sverglāzi aizvāko un ātri pārliek eksikatorā;
13.1.5. ja nelieto filtrtīģeli, žāvē žāvējamajā skapī tā, lai varētu noteikt šķiedru sauso masu bez zudumiem;
13.2. dzesē vismaz divas stundas (līdz pilnīgai sverglāžu atdzišanai) eksikatorā, kas novietots līdzās svariem;
13.3. sverglāzi divu minūšu laikā pēc izņemšanas no eksikatora nosver ar precizitāti līdz ± 0,0002 g;
13.4. no iepriekš attīrītā testēšanas parauga ņem raudzi, kuras masa ir vismaz 1 g. Pavedienu vai drānu sagriež apmēram 10 mm garos gabalos, kas sadalīti iespējami sīki. Raudzi žāvē sverglāzē, dzesē eksikatorā un nosver. Tad raudzi pārliek stikla traukā saskaņā ar attiecīgo šā pielikuma nodaļu, nekavējoties pārsver sverglāzi un aprēķina raudzes sauso masu pēc starpības. Testu pabeidz saskaņā ar attiecīgo šā pielikuma nodaļu. Atlikumu pārbauda mikroskopiski, lai konstatētu, vai šķīdināmā šķiedra patiešām ir pilnīgi atdalīta.
14. Nešķīstošā komponenta masu izsaka procentos no maisījuma kopējās masas. Šķīstošā (izšķīdinātā) komponenta procentuālo saturu aprēķina kā starpību. Rezultātus aprēķina, pamatojoties uz attīrīti sauso masu, kas koriģēta ar saskaņotām resorbātu (piemēram, mitruma) piesvaru normām un korekcijas koeficientiem, kas nepieciešami, lai tiktu ņemti vērā vielas zudumi iepriekšējās attīrīšanas un analīžu laikā. Aprēķinos lieto šā pielikuma 16.punktā minēto formulu.
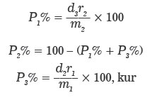
15. Neņemot vērā šķiedras masas zudumus iepriekšējās attīrīšanas laikā, nešķīstošā komponenta attīrīti sausās masas procentuālo saturu aprēķina, izmantojot šādu formulu:
P1 % = 100.r.d/m, kur
P1 – attīrīti sausā nešķīstošā komponenta procentuālais saturs;
m – raudzes sausā masa pēc iepriekšējās attīrīšanas;
r – atlikuma sausā masa;
d – koeficients analīžu laikā reaģentā nešķīstošā komponenta masas zudumu koriģēšanai. Atbilstošās d vērtības minētas šā pielikuma attiecīgajās nodaļās un ir piemērojamas ķīmiski nedestruktētām šķiedrām.
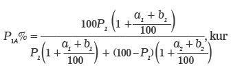
16. Nešķīstošā komponenta attīrītās sausās masas procentuālo saturu aprēķina, koriģējot ar resorbātu piesvara normām un ar korekcijas koeficientiem, kas izmantoti, aprēķinot masas zudumus iepriekšējās attīrīšanas laikā (otrā komponenta procentuālais saturs (P2A %) ir 100 – P1A %):
P1A – nešķīstošā komponenta procentuālais saturs, kas koriģēts ar resorbātu piesvara normām un masas zudumu iepriekšējā attīrīšanā;
P1 – nešķīstošā komponenta attīrītās sausās masas procentuālais saturs, kas aprēķināts, izmantojot šā pielikuma 15.punktā minēto formulu;
a1 – nešķīstošā komponenta saskaņotā resorbātu piesvara norma atbilstoši šo noteikumu 3.pielikumam;
a2 – šķīstošā komponenta saskaņotā resorbātu piesvara norma atbilstoši šo noteikumu 3.pielikumam;
b1 – nešķīstošā komponenta procentuālie zudumi iepriekšējā attīrīšanā;
b2 – šķīstošā komponenta procentuālie zudumi iepriekšējā attīrīšanā;
16.1. ja lietota īpaša iepriekšējā attīrīšana, b1 un b2 vērtības nosaka, pakļaujot katra komponenta tīršķiedru tādai pašai iepriekšējai attīrīšanai, kādu lieto analīzē. Par tīršķiedrām uzskata šķiedras, kas nesatur nešķiedru vielas, izņemot tās, kas parasti (dabiski vai ražošanas dēļ) ir tādā (nebalinātā vai balinātā) šķiedru stāvoklī, kādā šīs nešķiedru vielas konstatējamas analizējamā materiālā;
16.2. ja nav iespējams iegūt analizējamā materiāla ražošanai izmantoto atsevišķo komponentu tīršķiedras, lieto b1 un b2 vidējās vērtības, kas iegūtas testos ar attīrītām šķiedrām, kuras ir līdzīgas tām, ko satur pārbaudāmais maisījums;
16.3. ja lieto parasto iepriekšējo attīrīšanu ar petrolēteri un ūdeni, korekcijas koeficientus b1 un b2 var neņemt vērā, izņemot nebalinātu kokvilnu, nebalinātu linu un nebalinātus kaņepājus, kurus attīrot radušos zudumus pieņem 4 % līmenī, bet polipropilēnam – 1 % līmenī.
17. Citām šķiedrām iepriekšējā attīrīšanā radušos zudumus aprēķinos var neņemt vērā.
1.2. Tekstilšķiedru maisījumu kvantitatīvo analīžu manuālā (mehāniskā) metode
18. Kvantitatīvo analīžu manuālo (mehānisko) metodi lieto visu veidu tekstilšķiedrām, kas neveido nesadalāmos maisījumus, kuru komponentus nebūtu iespējams atdalīt ar rokām.
19. Pēc tekstilizstrādājumu komponentu identifikācijas nešķiedru vielas atdala, izmantojot iepriekšējo attīrīšanu. Pēc tam šķiedras atdala ar rokām, izžāvē un nosver, lai aprēķinātu katras šķiedras proporciju maisījumā.
20. Lietojot kvantitatīvo analīžu manuālo (mehānisko) metodi, izmanto šādus materiālus un iekārtas:
20.1. aparatūru, kas ietver:
20.1.1. sverglāzes vai citu aparatūru, ar kuru var iegūt identiskus rezultātus;
20.1.2. eksikatoru ar silikagelu, kas satur indikatoru;
20.1.3. ventilējamu žāvējamo skapi raudžu žāvēšanai 105 (± 3) °C temperatūrā;
20.1.4. analītiskos svarus (ar precizitāti ± 0,0002 g);
20.1.5. Soksleta ekstraktoru vai citu aparatūru, ar kuru var iegūt identiskus rezultātus;
20.1.6. adatu;
20.1.7. groduma mērītāju vai līdzīgu aparātu;
20.2. reaģentus, kas ietver:
20.2.1. petrolēteri, pārdestilētu, ar viršanas temperatūru 40–60 °C;
20.2.2. destilētu vai dejonizētu ūdeni.
21. Analizējot pavedienu, ievēro šādu procedūru:
21.1. no iepriekš attīrīta testēšanas parauga ņem raudzi, kuras masa ir vismaz 1 g. Ļoti smalkam pavedienam analīzes var veikt, ja tā minimālais garums ir 30 m (neatkarīgi no pavediena masas);
21.2. sagriež pavedienu piemērota garuma gabalos un atdala atšķirīgu veidu šķiedru ar adatu vai, ja nepieciešams, ar groduma mērītāju. Šādi iegūto veidu šķiedru liek iepriekš nosvērtās sverglāzēs un žāvē 105 (± 3) °C temperatūrā līdz konstantai (nemainīgai) masai atbilstoši šā pielikuma 13.punktam.
22. Analizējot drānu, ievēro šādu procedūru:
22.1. no iepriekš attīrītā testēšanas parauga ņem raudzi, kuras masa ir vismaz 1 g. Raudzē nedrīkst iekļaut eģi;
22.2. paralēli audiem vai šķēriem nogriež raudzes malas tā, lai novērstu pavedienu izslīdi;
22.3. adītām drānām raudzi ņem cilpu stabiņu un cilpu rindu virzienā;
22.4. atdala atšķirīgu veidu šķiedras un liek iepriekš nosvērtās sverglāzēs;
22.5. turpmāk rīkojas atbilstoši šā pielikuma 21.punktam.
23. Lai aprēķinātu rezultātus, katras komponentšķiedras masu izsaka procentos no kopējās šķiedru masas maisījumā. Rezultātus aprēķina, pamatojoties uz attīrīti sauso masu, kas koriģēta ar resorbātu (piemēram, mitruma) piesvara normām (pielaidēm jeb pieļāvumiem) un korekcijas koeficientiem, kas nepieciešami, lai tiktu ņemti vērā vielas zudumi iepriekšējās attīrīšanas laikā.
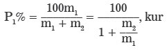
24. Neievērojot šķiedru masas zudumus iepriekšējās attīrīšanas laikā, šķiedru attīrītās sausās masas procentuālo saturu aprēķina, izmantojot šādu formulu:
P1 – pirmā attīrītā sausā komponenta procentuālais saturs;
m1 – pirmā komponenta attīrītā sausā masa;
m2 – otrā komponenta attīrītā sausā masa.
25. Aprēķinot katra komponenta procentuālo saturu, kas koriģēts ar resorbātu piesvara normām un, ja nepieciešams, ar attiecīgajiem koeficientiem, ņem vērā šā pielikuma 16. un 17.punktā minētās prasības.
1.3. Metožu precizitāte un testēšanas pārskats
26. Precizitāte, kas norādīta, lietojot individuālās metodes, ir saistāma ar to reproducējamību (reproducējamība attiecas uz ticamību, tas ir, uz sakritību starp eksperimentālām vērtībām, ko ieguvuši laboranti dažādās laboratorijās vai dažādos laikos, lietojot vienu un to pašu metodi un iegūstot individuālus rezultātus identiska maisījuma raudzēm).
27. Reproducējamību izsaka ar rezultātu ticamības robežām, nodrošinot 95 % varbūtiskās ticamības līmeni. Atšķirība starp divu analīžu sēriju rezultātiem, kas iegūti dažādās laboratorijās, pareizi izmantojot metodi identiskam maisījumam, būtu tikai piecos no 100 gadījumiem.
28. Testēšanas pārskatā norāda metodi, kāda izmantota analīzei, precīzi norāda iepriekšējās attīrīšanas veidu (šā pielikuma 12.punkts), kā arī individuālos rezultātus un aritmētiski vidējo rezultātu (katru ar precizitāti 0,1).
2. Divkomponentu maisījumu kvantitatīvo analīžu metodes konkrētu tekstilšķiedru noteikšanai
29. Lai noteiktu tekstilšķiedru, izmanto speciālās divkomponentu maisījumu kvantitatīvo analīžu metodes saskaņā ar šādu tabulu:
Speciālo metožu kopsavilkums
|
Nr. |
Metodes numurs |
Lietošanas joma |
|
|
šķīstošā sastāvdaļa |
nešķīstošā sastāvdaļa |
||
|
1. |
1. |
acetāts |
citas noteiktas šķiedras |
|
2. |
2. |
noteiktas proteīna šķiedras |
citas noteiktas šķiedras |
|
3. |
3. |
viskoze, kupro vai noteikti modālviskozes veidi |
kokvilna vai elastolefīns |
|
4. |
4. |
poliamīds vai neilons |
citas noteiktas šķiedras |
|
5. |
5. |
acetāts |
triacetāts vai elastolefīns |
|
6. |
6. |
triacetāts vai polilaklīds |
citas noteiktas šķiedras |
|
7. |
7. |
noteiktas celulozes šķiedras |
poliesters, elastomultiesteris vai elastolefīns |
|
8. |
8. |
akrils, noteikti modakrili vai hloršķiedras |
citas noteiktas šķiedras |
|
9. |
9. |
noteiktas hloršķiedras |
citas noteiktas šķiedras |
|
10. |
10. |
acetāts |
noteiktas hloršķiedras vai elastolefīns |
|
11. |
11. |
zīds |
vilna, mati vai elastolefīns |
|
12. |
12. |
džuta |
noteiktas dzīvniekšķiedras |
|
13. |
13. |
polipropilēns |
citas noteiktas šķiedras |
|
14. |
14. |
citas noteiktas šķiedras |
hloršķiedras (vinilhlorīda homoplimēri) vai elastolefīns |
|
15. |
15. |
hloršķiedras, noteikti modakrili, noteikti elastāni, acetāti, triacetāti |
citas noteiktas šķiedras |
2.1. Acetātam un citām noteiktām šķiedrām piemērojamā metode
30. Pēc nešķiedru vielu atdalīšanas acetātam un citām noteiktām šķiedrām piemērojamo metodi (šā pielikuma 29.punkta tabulā minētā 1.metode jeb acetona metode) lieto divkomponentu maisījumiem, ko veido:
30.1. acetātšķiedra;
30.2. vilna, dzīvnieku mati, zīds, kokvilna, lins, kaņepāji, džuta, abaka, alfas, koira (kokosa šķiedras), irbulene, rāmija, sizals, kupro, modālviskoze, proteīns, viskoze, akrils, poliamīds, neilons, poliesteris, elastomultiesteris vai elastolefīns.
31. Acetona metodi nelieto acetātšķiedrām, kuru virsma ir deacetilēta.
32. Acetātu no šķiedru maisījuma ar zināmu sauso masu izšķīdina ar acetonu. Atlikumu savāc, mazgā, žāvē un nosver. Atlikuma masu, ja nepieciešams, koriģē un izsaka procentos no maisījuma sausās masas. Sausā acetāta procentuālo saturu aprēķina pēc starpības.
33. Papildus šā pielikuma 1.nodaļā minētajai aparatūrai lieto 200 ml tilpuma koniskās kolbas ar stikla aizbāzni.
34. Papildus šā pielikuma 1.nodaļā minētajiem reaģentiem lieto acetonu.
35. Veicot testēšanu, ievēro šādu procedūru:
35.1. raudzi ievieto kolbā, kuras tilpums ir vismaz 200 ml, un pārlej ar acetonu (100 ml acetona uz katru raudzes gramu). Kolbu noslēdz ar aizbāzni, sakrata un iztur 30 minūtes iekštelpu gaisa temperatūrā, laiku pa laikam sakratot. Filtrē šķidrumu caur iepriekš nosvērtu filtrtīģeli;
35.2. atkārto šā pielikuma 35.1.apakšpunktā minēto darbību vēl divas reizes (kopā veic trīs ekstrakcijas), katru 15 minūtes ilgi tā, lai kopējais apstrādes laiks acetonā būtu viena stunda. Atlikumu pārvieto filtrtīģelī un mazgā ar acetonu, tad filtrē vakuumā. Filtrtīģeli atkārtoti piepilda ar acetonu un ļauj tam brīvi iztecēt;
35.3. nobeigumā filtrtīģeli nosūc vakuumā, izžāvē kopā ar atlikumu, atdzesē un nosver.
36. Rezultātus aprēķina saskaņā ar šā pielikuma 1.nodaļu. Korekcijas koeficienta d vērtība ir 1,00.
37. Izmantojot šo metodi tekstilmateriālu homogēnam maisījumam, iegūto rezultātu ticamības robežas nepārsniedz ± 1, nodrošinot 95 % varbūtiskās ticamības līmeni.
2.2. Noteiktām proteīna šķiedrām un citām noteiktām šķiedrām piemērojamā metode
38. Pēc nešķiedru vielu atdalīšanas konkrētām proteīna šķiedrām un citām noteiktām šķiedrām piemērojamo metodi (šā pielikuma 29.punkta tabulā minētā 2.metode jeb hipohlorīta metode) lieto divkomponentu maisījumiem, ko veido:
38.1. proteīna šķiedras – vilna, dzīvnieku mati, zīds, proteīns;
38.2. kokvilna, kupro, viskoze, akrils, hloršķiedras, poliamīds vai neilons, poliesteris, polipropilēns, elastāns, stikla šķiedra, elastomultiesteris un elastolefīns.
39. Ja maisījumā ir dažādas proteīna šķiedras, tad, izmantojot minēto metodi, var noteikt to kopējo daudzumu, bet ne katras atsevišķās šķiedras daudzumu.
40. Proteīna šķiedru izšķīdina ar hipohlorīta šķīdumu no maisījuma ar noteiktu sauso masu. Atlikumu savāc, skalo, žāvē un nosver. Atlikuma masu, ja nepieciešams, koriģē un izsaka procentos no maisījuma sausās masas. Sausās proteīna šķiedras procentuālo saturu nosaka pēc starpības.
41. Hipohlorīta šķīduma pagatavošanai var lietot litija hipohlorītu vai nātrija hipohlorītu.
42. Litija hipohlorītu ieteicams izmantot, ja veic nelielu skaitu analīžu vai garas analīzes, jo hipohlorīta procentuālais saturs cietā litija hipohlorītā atšķirībā no nātrija hipohlorīta ir faktiski nemainīgs. Ja hipohlorīta procentuālais saturs ir zināms, to var nepārbaudīt jodometriski katrai analīzei, kamēr izmanto vienas konstantas masas litija hipohlorīta porciju.
43. Papildus šā pielikuma 1.nodaļā minētajai aparatūrai lieto:
43.1. konisko 250 ml tilpuma kolbu ar slīpēta stikla aizbāzni;
43.2. termostatu, kas noregulējams uz 20 (± 2) °C temperatūru.
44. Papildus šā pielikuma 1.nodaļā minētajiem reaģentiem lieto:
44.1. hipohlorīta reaģentu, kas ietver:
44.1.1. litija hipohlorīta šķīdumu – svaigi sagatavotu šķīdumu, kas satur 35 (± 2) g/l (apmēram 1 M) aktīvā hlora un kuram pievienots iepriekš atšķaidīts nātrija hidroksīds 5 (± 0,5) g/l. Lai sagatavotu reaģentu, apmēram 700 ml destilēta ūdens izšķīdina 100 g litija hipohlorīta, kas satur 35 (± 2) g/l aktīvā hlora (vai 115 g litija hipohlorīta, kas satur 30 % aktīvā hlora), pievieno 5 g nātrija hidroksīda, kas izšķīdināts apmēram 200 ml destilēta ūdens, un šķīdumu uzpilda līdz vienam litram ar destilētu ūdeni. Svaigi sagatavots šķīdums nav jāpārbauda jodometriski;
44.1.2. nātrija hipohlorīta šķīdumu – svaigi sagatavotu šķīdumu, kas satur 35 (± 2) g/l (apmēram 1 M) aktīvā hlora un kuram pievienots iepriekš izšķīdināts nātrija hidroksīds 5 (± 0,5) g/l. Aktīvā hlora saturu šķīdumā pirms katras analīzes pārbauda jodometriski;
44.2. atšķaidītu etiķskābi, ko iegūst, ar ūdeni līdz vienam litram atšķaidot 5 ml ledus etiķskābes.
45. Veicot testēšanu, ievēro šā pielikuma 1.nodaļā minēto procedūru:
45.1. 250 ml tilpuma kolbā samaisa apmēram 1 g raudzes ar apmēram 100 ml hipohlorīta šķīduma (litija vai nātrija hipohlorīts) un kārtīgi sakrata, lai samitrinātu paraugu;
45.2. 40 minūtes iztur kolbu termostatā 20 °C temperatūrā, kratot to nepārtraukti vai vismaz ar regulāriem intervāliem. Tā kā vilna šķīst eksotermiski, reakcijas siltumu aizvada, lai nesāktos nešķīstošo šķiedru šķīšana, kas varētu radīt ievērojamas kļūdas;
45.3. pēc 40 minūtēm filtrē kolbas saturu caur nosvērtu stikla filtrtīģeli un pārvieto visas atlikušās šķiedras filtrtīģelī, skalojot kolbu ar nelielu daudzumu hipohlorīta reaģenta. Tīģeli nosūc vakuumā, atlikumu mazgā pēc kārtas ar ūdeni, atšķaidītu etiķskābi un visbeidzot ar ūdeni. Pēc katras mazgāšanas tīģeli nosūc vakuumā. Vakuumfiltrēšanu neuzsāk, kamēr katrs mazgāšanas šķidrums nav brīvi iztecējis;
45.4. nobeigumā filtrtīģeli nosūc vakuumā, izžāvē kopā ar atlikumu, atdzesē un nosver.
46. Rezultātus aprēķina saskaņā ar šā pielikuma 1.nodaļu. Korekcijas koeficienta d vērtība ir 1,00, izņemot kokvilnu, viskozi un modālviskozi, kam d = 1,01, un nebalinātu kokvilnu, kam d = 1,03.
47. Tekstilmateriālu homogēnam maisījumam saskaņā ar šo metodi iegūto rezultātu ticamības robežas nepārsniedz ± 1, nodrošinot 95 % varbūtiskās ticamības līmeni.
2.3. Viskozei, kupro un noteiktām modālviskozēm un attiecīgā veida kokvilnai piemērojamā metode
48. Pēc nešķiedru vielu atdalīšanas viskozei, kupro vai noteiktām modālviskozēm un attiecīgā veida kokvilnai piemērojamo metodi (šā pielikuma 29.punkta tabulā minētā 3.metode jeb skudrskābes un cinka hlorīda metode) lieto divkomponentu maisījumiem, ko veido:
48.1. viskoze vai kupro, ieskaitot attiecīgo veidu modālviskozes šķiedru;
48.2. kokvilna un elastolefīns.
49. Ja ir konstatēta modālviskoze, veic sākotnējo testu, lai noteiktu, vai tā šķīst reaģentā.
50. Šajā apakšnodaļā minēto metodi nevar lietot maisījumiem, kuros kokvilna ir lielā mērā ķīmiski destruktēta, kā arī ja viskoze vai kupro noteiktu krāsvielu vai apdares preparātu klātbūtnes dēļ šķīst nepilnīgi un tos nevar pilnīgi atdalīt.
51. Viskozi, kupro vai modālviskozi no šķiedru maisījuma, kuram ir zināma sausā masa, izšķīdina ar reaģentu, kas satur skudrskābi un cinka hlorīdu. Atlikumu savāc, skalo, žāvē un nosver. Atlikuma masu, ja nepieciešams, koriģē un izsaka procentos no maisījuma sausās masas. Sausas viskozes, kupro vai modālviskozes šķiedras procentuālo saturu aprēķina pēc starpības.
52. Papildus šā pielikuma 1.nodaļā minētajai aparatūrai lieto:
52.1. konisko 200 ml tilpuma kolbu ar stikla aizbāzni;
52.2. aparatūru kolbu izturēšanai 40 (± 2) °C temperatūrā.
53. Papildus šā pielikuma 1.nodaļā minētajiem reaģentiem lieto:
53.1. šķīdumu, kas satur 20 g kausēta bezūdens cinka hlorīda un 68 g bezūdens skudrskābes un kam pievienots ūdens līdz 100 g masai, tas ir, 20 masas daļas kausēta bezūdens cinka hlorīda pret 80 masas daļām 85 % m/m skudrskābes (izmantojot minēto metodi, ir būtiski lietot tikai kausētu bezūdens cinka hlorīdu);
53.2. amonija hidroksīda šķīdumu, ko iegūst, atšķaidot ar ūdeni 20 ml koncentrēta amonjaka šķīduma (blīvums 0,880 g/ml) līdz vienam litram.
54. Veicot testēšanu, ievēro šādu procedūru:
54.1. liek raudzi tieši kolbā, kas sakarsēta līdz 40 °C. Pievieno skudrskābes un cinka hlorīda šķīdumu, kas iepriekš sakarsēts līdz 40 °C (100 ml uz katru raudzes gramu). Aiztaisa kolbu ar aizbāzni un kārtīgi sakrata. Iztur kolbu un tās saturu konstantā 40 °C temperatūrā divarpus stundas, sakratot kolbu ik pēc stundas. Filtrē kolbas saturu caur nosvērtu filtrtīģeli, izmantojot reaģentu, pārvieto uz tīģeli visas šķiedras, kas palikušas kolbā. Skalo ar 20 ml reaģenta;
54.2. tīģeli un atlikumu rūpīgi mazgā ar ūdeni 40 °C temperatūrā. Šķiedru atlikumu skalo apmēram 100 ml aukstā amonija hidroksīda šķīdumā (šā pielikuma 53.2.apakšpunkts), nodrošinot, lai atlikums būtu pilnīgi iegremdēts šķīdumā uz 10 minūtēm (šā pielikuma 54.3.apakšpunkts), pēc tam rūpīgi skalo ar aukstu ūdeni;
54.3. lai nodrošinātu šķiedru atlikuma iemērkšanu amonija hidroksīda šķīdumā uz 10 minūtēm, var lietot, piemēram, filtrtīģeļa palīgierīci ar krānu, kas regulē amonjaka šķīduma plūsmu;
54.4. vakuuma filtrēšanu neuzsāk, kamēr katrs mazgāšanas šķidrums nav brīvi iztecējis. Nobeigumā filtrtīģeli nosūc vakuumā, izžāvē kopā ar atlikumu, atdzesē un nosver.
55. Rezultātus aprēķina saskaņā ar šā pielikuma 1.nodaļu. Korekcijas koeficients d kokvilnai ir 1,02, elastolefīnam – 1,00.
56. Tekstilmateriālu homogēnam maisījumam, izmantojot šajā apakšnodaļā minēto metodi, iegūto rezultātu ticamības robežas nepārsniedz ± 2, nodrošinot 95 % varbūtiskās ticamības līmeni.
2.4. Poliamīdam, neilonam un citām noteiktām šķiedrām piemērojamā metode
57. Pēc nešķiedru vielu atdalīšanas poliamīdam, neilonam vai citām noteiktām šķiedrām piemērojamo metodi (šā pielikuma 29.punkta tabulā minētā 4.metode jeb 80 % m/m skudrskābes metode) lieto divkomponentu maisījumiem, ko veido:
57.1. poliamīds vai neilons;
57.2. vilna, dzīvnieku mati, kokvilna, kupro, modālviskoze, viskoze, akrils, hloršķiedra, poliesteris, polipropilēns, stikla šķiedra, elastomultiesteris un elastolefīns.
58. Šajā apakšnodaļā minēto metodi lieto arī maisījumiem ar vilnu, bet, ja vilnas saturs ir lielāks par 25 %, jālieto šā pielikuma tabulā minētā 2.metode (šķīdinot vilnu sārmaina nātrija hipohlorīta šķīdumā).
59. No šķiedru maisījuma, kuram ir zināma sausā masa, poliamīda šķiedru izšķīdina ar skudrskābi. Atlikumu savāc, mazgā, žāvē un nosver. Atlikuma masu, ja nepieciešams, koriģē un izsaka procentos no maisījuma sausās masas. Sausā poliamīda vai neilona procentuālo saturu aprēķina pēc starpības.
60. Papildus šā pielikuma 1.nodaļā minētajai aparatūrai lieto 200 ml tilpuma konisko kolbu ar stikla aizbāzni.
61. Papildus šā pielikuma 1.nodaļā minētajiem reaģentiem lieto:
61.1. skudrskābi (80 % m/m, kuras relatīvais blīvums 20 °C temperatūrā ir 1,186). 880 ml 90 % m/m skudrskābes (20 °C temperatūrā relatīvais blīvums ir 1,204) atšķaida ar ūdeni līdz vienam litram. Alternatīvi sagatavo citu šķīdumu, 780 ml 98–100 % m/m skudrskābes (20 °C temperatūrā relatīvais blīvums ir 1,220) atšķaidot ar ūdeni līdz vienam litram. Robežās no 77 līdz 83 % m/m skudrskābes koncentrācija būtiski neietekmē rezultātus;
61.2. amonija hidroksīda šķīdumu, ko iegūst, 80 ml koncentrēta amonjaka (blīvums 0,880 g/ml) atšķaidot ar ūdeni līdz vienam litram.
62. Veicot testēšanu, ievēro šā pielikuma 1.nodaļā minēto procedūru – raudzei, kas atrodas koniskajā kolbā, kuras tilpums ir vismaz 200 ml, pievieno 100 ml skudrskābes uz katru raudzes gramu. Kolbu noslēdz ar aizbāzni un sakrata, lai samitrinātu raudzi. Atstāj kolbu uz 15 minūtēm iekštelpu gaisa temperatūrā, ik pa brīdim to sakratot. Kolbas saturu filtrē caur nosvērtu filtrtīģeli, un visas atlikušās šķiedras pārvieto tīģelī, izskalojot kolbu ar nelielu daudzumu skudrskābes reaģenta. Tīģeli nosūc vakuumā, atlikumu mazgā filtrā pēc kārtas ar skudrskābes reaģentu, karstu ūdeni, atšķaidītu amonija hidroksīda šķīdumu un visbeidzot ar aukstu ūdeni. Pēc katras mazgāšanas šķidrumam ļauj brīvi notecēt, pēc tam atlikumu atsūc vakuumā. Pēc pēdējās vakuumfiltrēšanas filtrtīģeli izžāvē kopā ar atlikumu, atdzesē un nosver.
63. Rezultātus aprēķina saskaņā ar šā pielikuma 1.nodaļu. Korekcijas koeficients d ir 1,00.
64. Tekstilmateriālu homogēnam maisījumam, izmantojot šajā apakšnodaļā minēto metodi, iegūto rezultātu ticamības robežas nepārsniedz ± 1, nodrošinot 95 % varbūtiskās ticamības līmeni.
2.5. Acetātam un triacetātam piemērojamā metode
65. Pēc nešķiedru vielu atdalīšanas acetātam un triacetātam piemērojamo metodi (šā pielikuma 29.punkta tabulā minētā 5.metode jeb benzilspirta metode) lieto divkomponentu maisījumiem, ko veido acetāts ar triacetātu un elastolefīnu.
66. Acetātšķiedru izšķīdina ar benzilspirtu 52 (± 2)°C temperatūrā no šķiedru maisījuma ar zināmu sauso masu. Atlikumu savāc, skalo, žāvē un nosver. Tā masu izsaka procentos no maisījuma sausās masas. Sausā acetāta procentuālo saturu aprēķina pēc starpības.
67. Papildus šā pielikuma 1.nodaļā minētajai aparatūrai lieto:
67.1. konisko 200 ml kolbu ar stikla aizbāzni;
67.2. mehānisko kratītāju;
67.3. termostatu vai citu aparatūru, lai kolbu saglabātu 52(±2) °C temperatūrā.
68. Papildus šā pielikuma 1.nodaļā minētajiem reaģentiem lieto benzilspirtu un etanolu.
69. Veicot testēšanu, ievēro šā pielikuma 1.nodaļā minēto procedūru:
69.1. raudzei, kas atrodas koniskajā kolbā, pievieno 100 ml benzilspirta uz katru raudzes gramu. Kolbu noslēdz ar aizbāzni, nostiprina kratītājā tā, lai kolba būtu iegremdēta ūdens vannā, kuras temperatūra ir 52 (± 2)°C, un krata 20 minūtes šajā temperatūrā (mehāniskā kratītāja vietā kolbu var enerģiski kratīt ar rokām);
69.2. šķidrumu nolej caur nosvērtu filtrtīģeli. Kolbā ielej nākamo benzilspirta devu un krata 20 minūtes (šā pielikuma 69.1.apakšpunkts) 52 (± 2)°C temperatūrā;
69.3. šķidrumu nolej caur filtrtīģeli. Atkārto operāciju ciklu trešo reizi;
69.4. nobeigumā ielej šķidrumu un atlikumu tīģelī, pārvieto visas atlikušās šķiedras no kolbas tīģelī, skalo ar papildu benzilspirta daudzumu 52 (± 2) °C temperatūrā un nosūc tīģeli;
69.5. šķiedras pārvieto kolbā, noskalo ar etanolu un pēc sakratīšanas ar rokām nolej caur filtrtīģeli;
69.6. atkārto šo skalošanas operāciju divas vai trīs reizes. Atlikumu pārvieto tīģelī un kārtīgi nosūc. Tīģeli un atlikumu izžāvē, atdzesē un nosver.
70. Rezultātus aprēķina saskaņā ar šā pielikuma 1.nodaļu. Korekcijas koeficients d ir 1,00.
71. Tekstilmateriālu homogēnam maisījumam, izmantojot šajā apakšnodaļā minēto metodi, iegūto rezultātu ticamības robežas nepārsniedz ± 1, nodrošinot 95 % varbūtiskās ticamības līmeni.
2.6. Triacetātam un citām noteiktām šķiedrām piemērojamā metode
72. Pēc nešķiedru vielu atdalīšanas triacetātam un citām noteiktām šķiedrām piemērojamo metodi (šā pielikuma 29.punkta tabulā minētā 6.metode jeb dihlormetāna metode) lieto divkomponentu maisījumiem, ko veido:
72.1. triacetāts vai polilaktīds;
72.2. vilna, dzīvnieku mati, zīds, kokvilna, kupro, modālviskoze, viskoze, akrils, poliamīds vai neilons, poliesteris, stikla šķiedra, elastomultiesteris un elastolefīns.
73. Triacetāta šķiedras, kas apdares dēļ ir daļēji hidrolizētas, vairs nav pilnīgi šķīstošas reaģentā. Šādos gadījumos šajā apakšnodaļā minētā metode nav lietojama.
74. No šķiedru maisījuma ar zināmu sauso masu triacetāta vai polilaktīda šķiedras izšķīdina ar dihlormetānu. Atlikumu savāc, mazgā, žāvē un nosver. Ja nepieciešams, to masu koriģē un izsaka procentos no maisījuma sausās masas. Sausā triacetāta vai polilaktīda procentuālo saturu aprēķina pēc starpības.
75. Papildus šā pielikuma 1.nodaļā minētajai aparatūrai lieto konisko 200 ml kolbu ar stikla aizbāzni.
76. Papildus šā pielikuma 1.nodaļā minētajiem reaģentiem lieto dihlormetānu.
77. Veicot testēšanu, ievēro šā pielikuma 1.nodaļā minēto procedūru:
77.1. raudzei, kas atrodas 200 ml koniskajā kolbā, pievieno 100 ml dihlormetāna uz katru raudzes gramu. Kolbu noslēdz ar aizbāzni. Ik pēc 10 minūtēm kolbu sakrata, lai samitrinātu raudzi, un atstāj uz 30 minūtēm iekštelpu gaisa temperatūrā, kolbu regulāri sakratot. Šķidrumu nolej caur nosvērtu filtrtīģeli. 60 ml dihlormetāna ielej kolbā ar atlikumu, ar rokām sakrata un filtrē kolbas saturu caur filtrtīģeli. Atlikušās šķiedras pārvieto tīģelī, izskalojot kolbu ar vēl nedaudz dihlormetāna. Lieko šķidrumu atdala vakuumā, tīģeli piepilda ar dihlormetānu un atļauj tam brīvi notecēt;
77.2. nobeigumā vakuumā atsūc šķidrumu, apstrādā atlikumu ar vārošu ūdeni, lai atdalītu visu šķīdinātāju. Tīģeli un atlikumu atsūc vakuumā, izžāvē, atdzesē un nosver.
78. Rezultātus aprēķina saskaņā ar šā pielikuma 1.nodaļu. Korekcijas koeficients d ir 1,00, izņemot poliesteri, elastomultiesteri un elastolefīnu, kuriem korekcijas koeficients d ir 1,01.
79. Tekstilmateriālu homogēnam maisījumam, izmantojot šajā apakšnodaļā minēto metodi, iegūto rezultātu ticamības robežas nepārsniedz ± 1, nodrošinot 95 % varbūtiskās ticamības līmeni.
2.7. Noteiktām celulozes šķiedrām un poliesteram piemērojamā metode
80. Pēc nešķiedru vielu atdalīšanas noteiktām celulozes šķiedrām un poliesteram piemērojamo metodi (šā pielikuma 29.punkta tabulā minētā 7.metode jeb 75 % m/m sērskābes metode) lieto divkomponentu maisījumiem, ko veido:
80.1. kokvilna, lins, kaņepes, rāmija, kupro, modālviskoze, viskoze;
80.2. poliesteris, elastomultiesteris un elastolefīns.
81. Celulozes šķiedras izšķīdina ar 75 % m/m sērskābi no šķiedru maisījuma ar zināmu sauso masu. Atlikumu savāc, mazgā, žāvē un nosver, tā masu izsaka procentos no maisījuma sausās masas. Sausās celulozes šķiedras procentuālo saturu atrod pēc starpības.
82. Papildus šā pielikuma 1.nodaļā minētajai aparatūrai lieto:
82.1. konisko 500 ml kolbu ar stikla aizbāzni;
82.2. termostatu vai citu aparatūru, lai kolbu uzturētu 50 (± 5) °C temperatūrā.
83. Papildus šā pielikuma 1.nodaļā minētajiem reaģentiem lieto:
83.1. sērskābi 75 (± 2) % m/m. To sagatavo dzesējot. 700 ml sērskābes (20 °C temperatūrā blīvums ir 1,84) uzmanīgi pielej 350 ml destilēta ūdens. Pēc tam, kad šķīdums ir atdzisis līdz iekštelpu gaisa temperatūrai, to atšķaida ar ūdeni līdz vienam litram;
83.2. amonija hidroksīda šķīdumu, ko iegūst, 80 ml amonjaka šķīduma (20 °C temperatūrā blīvums ir 0,88 g/ml) atšķaidot ar ūdeni līdz vienam litram.
84. Veicot testēšanu, ievēro šā pielikuma 1.nodaļā minēto procedūru:
84.1. raudzei, kas atrodas koniskajā kolbā ar stikla aizbāzni ar vismaz 500 ml tilpumu, pielej 200 ml 75 % sērskābes uz katru raudzes gramu. Kolbu noslēdz ar aizbāzni un uzmanīgi sakrata, lai samitrinātu raudzi. Kolbu iztur 50 (± 5) °C temperatūrā vienu stundu, sakratot ik pēc aptuveni 10 minūtēm. Kolbas saturu filtrē vakuumā caur nosvērtu filtrtīģeli. Visas atlikušās šķiedras pārvieto no kolbas tīģelī, kolbu skalojot ar nelielu 75 % sērskābes daudzumu. Filtrtīģeli atsūc vakuumā, atlikumu mazgā filtrtīģelī vienu reizi, piepildot to ar svaigu sērskābes porciju. Vakuumfiltrēšanu nelieto, kamēr skābe nav brīvi notecējusi;
84.2. atlikumu mazgā šādi: vairākas reizes ar aukstu ūdeni, divreiz ar atšķaidītu amonjaka šķīdumu, pēc tam pamatīgi ar aukstu ūdeni. Pēc katras mazgāšanas filtrē vakuumā pēc tam, kad šķidrums ir brīvi notecējis. Nobeigumā tīģeli un atlikumu nosūc vakuumā, izžāvē, atdzesē un nosver.
85. Rezultātus aprēķina saskaņā ar šā pielikuma 1.nodaļu. Korekcijas koeficients d ir 1,00.
86. Tekstilmateriālu homogēnam maisījumam, izmantojot šajā apakšnodaļā minēto metodi, iegūto rezultātu ticamības robežas nepārsniedz ± 1, nodrošinot 95 % varbūtiskās ticamības līmeni.
2.8. Akrilam, noteiktām modakrila vai noteiktām hloršķiedrām un citām noteiktām šķiedrām piemērojamā metode
87. Pēc nešķiedru vielu atdalīšanas akrilam, noteiktām modakrila vai noteiktām hloršķiedrām un noteiktām citām šķiedrām piemērojamometodi (šā pielikuma 29.punkta tabulā minētā 8.metode jeb dimetilformamīda metode) lieto divkomponentu maisījumiem, ko veido:
87.1. akrils, noteikti modakrili vai noteiktas hloršķiedras (pirms analīzes veikšanas jāpārbauda šādu modificētu akrilu vai hlora šķiedru šķīdība reaģentā);
87.2. vilna, dzīvnieku mati, zīds, kokvilna, kupro, modālviskoze, viskoze, poliamīds vai neilons un poliesteris, elastomultiesteris un elastolefīns.
88. Šī metode ir izmantojama akriliem un noteiktiem modakriliem, kas apstrādāti ar metālsaturošām krāsvielām, bet nav izmantojama, ja tie krāsoti ar hromējamām krāsvielām.
89. Akrilu, modakrilu vai hloršķiedru izšķīdina ar dimetilformamīdu, kas sakarsēts ūdens peldē līdz vārīšanās temperatūrai, no šķiedru maisījuma ar zināmu sauso masu. Atlikumu savāc, mazgā, žāvē un nosver. Tā masu, ja nepieciešams, koriģē un izsaka procentos no maisījuma sausās masas. Sausā akrila, modakrila vai hloršķiedras procentuālo saturu aprēķina pēc starpības.
90. Papildus šā pielikuma 1.nodaļā minētajai aparatūrai lieto:
90.1. konisko 200 ml kolbu ar stikla aizbāzni;
90.2. ūdens vannu vārīšanās temperatūrā.
91. Papildus šā pielikuma 1.nodaļā minētajiem reaģentiem lieto dimetilformamīdu (viršanas temperatūra 153 (± 1)°C), kas nesatur vairāk par 0,1% ūdens. Šis reaģents ir toksisks, tādēļ ieteicams lietot velkmi.
92. Veicot testēšanu, ievēro šā pielikuma 1.nodaļā minēto procedūru:
92.1. raudzei, kas atrodas vismaz 200 ml tilpuma koniskā kolbā, uz katru raudzes gramu pievieno 80 ml dimetilformamīda, kas iepriekš sakarsēts ūdens vannā pie viršanas temperatūras. Kolbu noslēdz ar aizbāzni un sakrata, lai samitrinātu raudzi. Tad karsē ūdens vannā vārīšanās temperatūrā vienu stundu. Šajā laikā kolbu un tās saturu uzmanīgi sakrata piecas reizes;
92.2. šķidrumu nolej caur nosvērtu filtrtīģeli, šķiedras atstājot kolbā. Pievieno nākamos 60 ml dimetilformamīda un karsē vēl 30 minūtes, šajā laikā kolbu un tās saturu uzmanīgi sakratot ar rokām divas reizes;
92.3. kolbas atlikumu filtrē caur filtrtīģeli vakuumā;
92.4. visas atlikušās šķiedras pārvieto tīģelī, izmazgājot kolbu ar dimetilformamīdu. Tīģeli filtrē vakuumā. Atlikumu mazgā ar apmēram vienu litru 70–80 °C karsta ūdens, tīģeli piepildot katru reizi. Pēc katras ūdens pievienošanas, kad liekais ūdens ir gravitāri notecējis, tīģeli nosūc vakuumā. Ja mazgāšanas šķidrums caur filtrtīģeli tek pārāk lēni, var lietot vieglu vakuuma atsūci;
92.5. nobeigumā tīģeli un atlikumu izžāvē, atdzesē un nosver.
93. Rezultātus aprēķina saskaņā ar šā pielikuma 1.nodaļu. Korekcijas koeficients d ir 1,00, izņemot šādus gadījumus:
93.1. vilna – 1,01;
93.2. kokvilna – 1,01;
93.3. kupro – 1,01;
93.4. modālviskoze – 1,01;
93.5. poliesters – 1,01;
93.6. elastomultiesteris – 1,01.
94. Tekstilmateriālu homogēnam maisījumam, izmantojot šajā apakšnodaļā minēto metodi, iegūto rezultātu ticamības robežas nepārsniedz ± 1, nodrošinot 95% varbūtiskās ticamības līmeni.
2.9. Noteiktām hloršķiedrām un citām noteiktām šķiedrām piemērojamā metode
95. Pēc nešķiedru vielu atdalīšanas noteiktām hloršķiedrām un citām noteiktām šķiedrām piemērojamo metodi (šā pielikuma 29.punkta tabulā minētā 9.metode jeb 55,5/44,5 oglekļa disulfīda un acetona maisījuma metode) lieto divkomponentu maisījumiem, ko veido:
95.1. noteiktas hloršķiedras, tas ir, noteiktas polivinilhlorīda šķiedras, papildus hlorētas vai nehlorētas;
95.2. vilna, dzīvnieku mati, zīds, kokvilna, kupro, modālviskoze, viskoze, akrils, poliamīds vai neilons, poliesteris, stikla šķiedra un elastomultiesteris.
96. Pirms analīzes jāpārbauda polivinilhlorīda šķiedru šķīdība reaģentā:
96.1. ja vilnas vai zīda saturs maisījumā pārsniedz 25 %, lieto 2.metodi saskaņā ar šā pielikuma 29.punkta tabulu;
96.2. ja poliamīda vai neilona saturs maisījumā pārsniedz 25 %, lieto 4.metodi saskaņā ar šā pielikuma 29.punkta tabulu.
97. Hloršķiedru izšķīdina ar oglekļa disulfīda un acetona azeotropo maisījumu no šķiedru maisījuma ar zināmu sauso masu. Atlikumu savāc, mazgā, žāvē un nosver. Tā masu, ja nepieciešams, koriģē un izsaka procentos no maisījuma sausās masas. Sausās polivinilhlorīda šķiedras procentuālo saturu aprēķina pēc starpības.
98. Papildus šā pielikuma 1.nodaļā minētajai aparatūrai lieto:
98.1. 200 ml tilpuma konisko kolbu ar stikla aizbāzni;
98.2. mehānisko kratītāju.
99. Papildus šā pielikuma 1.nodaļā minētajiem reaģentiem lieto:
99.1. oglekļa disulfīdu un acetona azeotropo maisījumu (55,5 tilpuma procenti oglekļa disulfīda uz 44,5 % acetona). Tā kā šis reaģents ir toksisks, ieteicams lietot velkmi;
99.2. etanolu (92 % tilp.) vai metanolu.
100. Veicot testēšanu, ievēro šā pielikuma 1.nodaļā minēto procedūru:
100.1. raudzei, kas atrodas vismaz 200 ml tilpuma koniskā kolbā, pievieno 100 ml azeotropā maisījuma uz katru raudzes gramu. Kolbu cieši noslēdz ar aizbāzni un krata mehāniskajā kratītājā vai enerģiski ar rokām 20 minūtes iekštelpu gaisa temperatūrā. Nolej virspusē esošo šķidrumu caur nosvērtu filtrtīģeli;
100.2. atkārto darbību ar 100 ml svaiga reaģenta. Turpina šo operāciju ciklu, kamēr pēc ekstragējošā šķidruma piliena iztvaikošanas uz pulksteņstikliņa nav palikušas polimēra nogulsnes. Lietojot papildu reaģentu, atlikumu pārnes filtrtīģelī un filtrē vakuumā, lai aizvāktu šķidrumu. Tīģeli un atlikumu mazgā ar 20 ml spirta un tad trīs reizes ar ūdeni. Mazgāšanas šķidrumam ļauj gravitāri notecēt, pēc tam atlikušo nosūc vakuumā. Tīģeli un atlikumu izžāvē, atdzesē un nosver;
100.3. maisījumiem, kuros ir augsts hloršķiedru saturs, raudze žāvēšanas laikā var ievērojami sarauties, un tāpēc hloršķiedru šķīdināšana kavējas. Tomēr tas neietekmē hloršķiedru galīgo šķīšanu šķīdinātājā.
101. Rezultātus aprēķina saskaņā ar šā pielikuma 1.nodaļu. Korekcijas koeficients d ir 1,00.
102. Tekstilmateriālu homogēnam maisījumam, izmantojot šajā apakšnodaļā minēto metodi, iegūto rezultātu ticamības robežas nepārsniedz ± 1, nodrošinot 95 % varbūtiskās ticamības līmeni.
2.10. Acetātam un noteiktām hloršķiedrām piemērojamā metode
103. Pēc nešķiedru vielu atdalīšanas acetātam un noteiktām hloršķiedrām piemērojamo metodi (šā pielikuma 29.punkta tabulā minētā 10.metode jeb ledus etiķskābes metode) lieto divkomponentu maisījumiem, ko veido:
103.1. acetāts;
103.2. noteiktas hloršķiedras, tas ir, polivinilhlorīda šķiedras, arī papildus hlorētas vai nehlorētas, un elastolefīns.
104. No maisījuma ar zināmu sauso masu acetātšķiedru izšķīdina ar ledus etiķskābi. Atlikumu savāc, mazgā, žāvē un nosver. Tā masu, ja nepieciešams, koriģē un izsaka procentos no maisījuma sausās masas. Sausā acetāta procentuālo saturu aprēķina pēc starpības.
105. Papildus šā pielikuma 1.nodaļā minētajai aparatūrai lieto:
105.1. konisko 200 ml kolbu ar stikla aizbāzni;
105.2. mehānisko kratītāju.
106. Papildus šā pielikuma 1.nodaļā minētajiem reaģentiem lieto ledus etiķskābi (virs 99 %). Ar šo reģentu jārīkojas uzmanīgi, jo tā ir stipri kodīga viela.
107. Veicot testēšanu, ievēro šā pielikuma 1.nodaļā minēto procedūru:
107.1. raudzei, kas atrodas vismaz 200 ml tilpuma koniskā kolbā, pievieno 100 ml ledus etiķskābi uz katru raudzes gramu. Cieši aiztaisa kolbu ar stikla aizbāzni un krata mehāniskajā kratītājā vai enerģiski ar rokām 20 minūtes iekštelpu gaisa temperatūrā. Virspusē esošo šķidrumu nolej caur nosvērtu filtrtīģeli. Šo darbību atkārto divas reizes, lietojot 100 ml svaiga reaģenta katru reizi un kopumā veicot trīs ekstrakcijas;
107.2. atlikumus pārvieto filtrtīģelī un filtrē vakuumā, lai atdalītu šķidrumu. Tīģeli un atlikumu mazgā ar 50 ml ledus etiķskābes un trīs reizes ar ūdeni. Pēc katras mazgāšanas šķidrumam ļauj gravitāri notecēt pirms tā nosūkšanas vakuumā. Tīģeli un atlikumu izžāvē, atdzesē un nosver.
108. Rezultātus aprēķina saskaņā ar šā pielikuma 1.nodaļu. Korekcijas koeficients d ir 1,00.
109. Tekstilmateriālu homogēnam maisījumam, izmantojot šajā apakšnodaļā minēto metodi, iegūto rezultātu ticamības robežas nepārsniedz ± 1, nodrošinot 95 % varbūtiskās ticamības līmeni.
2.11. Zīdam, vilnai un matiem piemērojamā metode
110. Pēc nešķiedru vielu atdalīšanas zīdam, vilnai un matiem piemērojamo metodi (šā pielikuma 29.punkta tabulā minētā 11.metode jeb 75 % m/m sērskābes metode) lieto divkomponentu maisījumiem, ko veido:
110.1. zīds;
110.2. vilna vai dzīvnieku mati un elastolefīns.
111. No šķiedru maisījuma ar zināmu sauso masu zīda šķiedru izšķīdina ar 75 % m/m sērskābi. Savvaļas zīdi (tādi kā “tusā” – Ķīnas un Japānas ozola zīdkāpuru – zīds) pilnībā nešķīst 75 % m/m sērskābē.
112. Atlikumu savāc, mazgā, žāvē un nosver. Tā masu, ja nepieciešams, koriģē un izsaka procentos no maisījuma sausās masas. Sausā zīda procentuālo saturu aprēķina pēc starpības.
113. Papildus šā pielikuma 1.nodaļā minētajai aparatūrai lieto 200 ml tilpuma konisko kolbu ar stikla aizbāzni.
114. Papildus šā pielikuma 1.nodaļā minētajiem reaģentiem lieto:
114.1. sērskābi (75 (± 2) % m/m), ko sagatavo dzesējot. 350 ml destilēta ūdens uzmanīgi pievieno 700 ml sērskābes (20 °C temperatūrā relatīvais blīvums ir 1,84). Pēc tam kad šķīdums ir atdzesēts līdz iekštelpu gaisa temperatūrai, atšķaida to ar ūdeni līdz vienam litram;
114.2. atšķaidītu sērskābi, ko iegūst, 1900 ml destilēta ūdens lēni pievienojot 100 ml sērskābes (20 °C temperatūrā blīvums ir 1,84);
114.3. amonjaka šķīdumu, ko iegūst, 200 ml koncentrēta amonjaka (20 °C temperatūrā blīvums ir 0,880) atšķaidot ar ūdeni līdz 1000 ml.
115. Veicot testēšanu, ievēro šā pielikuma 1.nodaļā minēto procedūru:
115.1. raudzei, kas atrodas vismaz 200 ml tilpuma koniskā kolbā, uz raudzes katru gramu pievieno 100 ml 75 % m/m sērskābes. Kolbu noslēdz ar aizbāzni, enerģiski sakrata un iztur 30 minūtes iekštelpu gaisa temperatūrā. Sakrata vēlreiz un atstāj uz 30 minūtēm. Sakrata pēdējo reizi un filtrē kolbas saturu caur nosvērtu filtrtīģeli;
115.2. izmazgā kolbā palikušās šķiedras ar 75 % sērskābes reaģentu. Atlikumus mazgā tīģelī secīgi ar 50 ml atšķaidīta sērskābes reaģenta, 50 ml ūdens un 50 ml atšķaidīta amonjaka šķīduma. Katru reizi atļauj šķiedrām palikt saskarē ar šķidrumu apmēram 10 minūtes pirms filtrēšanas vakuumā. Nobeigumā mazgā ar ūdeni, atstājot šķiedras saskarē ar ūdeni apmēram 30 minūtes. Tīģeli filtrē vakuumā, izžāvē kopā ar atlikumu, atdzesē un nosver.
116. Rezultātus aprēķina saskaņā ar šā pielikuma 1.nodaļu. Korekcijas koeficients d ir 0,985 un elastolefīnam – 1,00.
117. Tekstilmateriālu homogēnam maisījumam, izmantojot šajā apakšnodaļā minēto metodi, iegūto rezultātu ticamības robežas nepārsniedz ± 1, nodrošinot 95% varbūtiskās ticamības līmeni.
2.12. Džutai un noteiktām dzīvniekšķiedrām piemērojamā metode
118. Pēc nešķiedru vielu atdalīšanas džutai un noteiktām dzīvniekšķiedrām piemērojamo metodi (šā pielikuma 29.punkta tabulā minētā 12.metode jeb slāpekļa satura noteikšanas metode) lieto divkomponentu maisījumiem, ko veido:
118.1. džuta;
118.2. noteiktas dzīvniekšķiedras.
119. Dzīvniekšķiedru komponents var saturēt vienīgi matus vai vilnu, vai jebkuru to maisījumu. Šo metodi nevar lietot tekstilmaisījumiem, kas satur nešķiedru vielas (piemēram, krāsvielas, apretes) uz slāpekļa bāzes.
120. Nosaka slāpekļa saturu maisījumā un no tā un zināmā vai pieņemtā slāpekļa satura abos komponentos aprēķina katra komponenta saturu.
121. Papildus šā pielikuma 1.nodaļā minētajai aparatūrai lieto:
121.1. Kjeldāla kolbu ar 200–300 ml tilpumu;
121.2. Kjeldāla destilēšanas aparātu ar tvaika padevi;
121.3. titrēšanas aparātu ar precizitāti 0,05 ml.
122. Papildus šā pielikuma 1.nodaļā minētajiem reaģentiem lieto:
122.1. toluolu;
122.2. metanolu;
122.3. sērskābi ar blīvumu 1,84 20 °C temperatūrā. Nedrīkst saturēt slāpekli;
122.4. kālija sulfātu. Nedrīkst saturēt slāpekli;
122.5. selēna dioksīdu. Nedrīkst saturēt slāpekli;
122.6. nātrija hidroksīda šķīdumu (400 g/l). 400 g nātrija hidroksīda izšķīdina 400–500 ml ūdens un atšķaida ar ūdeni līdz vienam litram;
122.7. jauktu indikatoru. Izšķīdina 0,1 g metilsarkanā ar 95 ml etanola un 5 ml ūdens un samaisa to ar 0,5 g bromkrezolzaļā, kas izšķīdināts 475 ml etanola un 25 ml ūdens;
122.8. borskābes šķīdumu. Izšķīdina 20 g borskābes vienā litrā ūdens;
122.9. sērskābi 0,02 N (titrēšanas standartšķīdums).
123. Izmantojot šā pielikuma 2.12.apakšnodaļā minēto metodi, iepriekšējo attīrīšanu aizstājot ar šādu testēšanas parauga iepriekšējās attīrīšanas procedūru:
123.1. četras stundas ar minimālo ātrumu pieci cikli stundā ekstrahē sauso paraugu Soksleta aparātā ar maisījumu, kas sastāv no vienas tilpuma daļas toluola un trim tilpuma daļām metanola;
123.2. šķīdinātājam ļauj iztvaikot no parauga gaisā un atdala tā pēdējās paliekas termostatā 105 (± 3) °C temperatūrā;
123.3. pēc tam paraugu ekstrahē ūdenī (50 ml uz parauga gramu), vārot kolbā ar atteces dzesinātāju 30 minūtes;
123.4. filtrē, atliek paraugu kolbā un atkārto ekstrakciju ar identisku ūdens tilpumu. Filtrē, no parauga atdala pārpalikušo ūdeni, nospiežot ar vakuumu vai centrifugējot, un paraugam ļauj izžūt. Jāņem vērā toluola un metanola toksiskums (tādēļ, tos lietojot, jāievēro visi piesardzības pasākumi).
124. Veicot testēšanu, ievēro šā pielikuma 1.nodaļā minēto procedūru attiecībā uz raudžu atlasīšanu, žāvēšanu un svēršanu:
124.1. ieliek raudzi Kjeldāla kolbā. Raudzei, kas sver vismaz 1 g un atrodas kolbā, pievieno šādā secībā 2,5 g kālija sulfāta, 0,1–0,2 g selēna dioksīda un 10 ml sērskābes (blīvums 1,84). Kolbu vispirms uzmanīgi karsē, kamēr visa šķiedra sadalās, pēc tam karsē to daudz enerģiskāk, kamēr šķīdums kļūst dzidrs un gandrīz bezkrāsains. Turpina karsēšanu vēl 15 minūtes. Kolbai ļauj atdzist, tās saturu uzmanīgi atšķaida ar 10–20 ml ūdens un atdzesē. Saturu pilnībā pārnes uz 200 ml mērkolbu un papildina ar ūdeni līdz iezīmei izvārīšanas šķīduma iegūšanai;
124.2. apmēram 20 ml borskābes šķīduma ielej koniskajā 100 ml kolbā un novieto to zem Kjeldāla destilēšanas aparāta dzesinātāja tā, lai dzesinātāja caurules gals būtu iegremdēts borskābes šķīdumā. Pārvieto tieši 10 ml sadalītās šķiedras šķīduma destilēšanas kolbā, ielej ne mazāk par 5 ml nātrija hidroksīda šķīduma pilināmajā piltuvē, viegli uzliek aizbāzni un ļauj nātrija hidroksīda šķīdumam lēni tecēt kolbā. Ja sadalītās šķiedras šķīdums un nātrija hidroksīda šķīdums paliek divos dažādos slāņos, tos uzmanīgi samaisa. Destilācijas kolbu uzmanīgi karsē un padod tvaiku. Savāc apmēram 20 ml destilāta, nolaiž konisko kolbu tā, lai dzesinātāja caurules gals ir apmēram par 20 mm augstāk par šķīduma virsmu, un destilē vēl vienu minūti. Noskalo dzesinātāja caurules galu ar ūdeni, uztverot pārpalikumus koniskajā kolbā. Konisko kolbu nomaina ar citu, kas satur aptuveni 10 ml borskābes šķīduma, un uztver tajā ap 10 ml destilāta;
124.3. abus destilātus titrē atsevišķi ar 0,02 N sērskābi, lietojot jaukto indikatoru. Reģistrē galīgo titrēšanas rezultātu abām destilācijām. Ja otrās kolbas titrēšanai izmantotais šķīduma daudzums ir lielāks par 0,2 ml, testu atkārto un uzsāk destilēšanu vēlreiz, ņemot svaigu sadalīto šķiedru šķīduma daudzumu no mērkolbas;
124.4. izdara tukšo mēģinājumu, tas ir, vārīšanu un destilēšanu, lietojot tikai reaģentus.
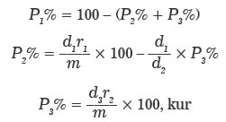
125. Aprēķinus veic šādi:
125.1. aprēķina slāpekļa procentuālo saturu sausajā raudzē, izmantojot šādu formulu:
| A% = | 28(V –b)N | , kur |
|
W |
A – slāpekļa procentuālais saturs attīrīti sausā raudzē;
V – analīzei izlietotais standarta sērskābes tilpums (ml);
b – tukšajam mēģinājumam izlietotais standarta sērskābes tilpums (ml);
N – standarta sērskābes normalitāte;
W – raudzes sausā masa (g);
125.2. pieņemot, ka džutas sausā masa satur 0,22 % slāpekļa un dzīvniekšķiedru sausā masa – 16,2 % slāpekļa, maisījuma sastāvu aprēķina, izmantojot šādu formulu:
| PA% = |
A – 0,22 |
, kur |
|
16,2 – 0,22 |
PA % – dzīvniekšķiedru procentuālais saturs attīrīti sausajā raudzē.
126. Tekstilmateriālu homogēnam maisījumam, izmantojot šajā apakšnodaļā minēto metodi, iegūto rezultātu ticamības robežas nepārsniedz ± 1, nodrošinot 95 % varbūtiskās ticamības līmeni.
2.13. Polipropilēna šķiedrām un citām noteiktām šķiedrām piemērojamā metode
127. Pēc nešķiedru vielu atdalīšanas polipropilēna šķiedrām un noteiktām citām šķiedrām piemērojamo metodi (šā pielikuma 29.punkta tabulā minētā 13.metode jeb ksilola metode) lieto divkomponentu maisījumiem, ko veido:
127.1. polipropilēna šķiedras;
127.2. vilna, dzīvnieku mati, zīds, kokvilna, acetāts, kupro, modālviskoze, triacetāts, viskoze, akrils, poliamīds jeb neilons, poliesteris un stikla šķiedra, un elastomultiesteris.
128. No maisījuma ar zināmu sauso masu polipropilēna šķiedru izšķīdina ar verdošu ksilolu. Atlikumu savāc, mazgā, žāvē un nosver. Tā masu koriģē un izsaka procentos no maisījuma sausās masas (šā pielikuma 16.punkts). Polipropilēna procentuālo saturu aprēķina pēc starpības.
129. Papildus šā pielikuma 1.nodaļā minētajai aparatūrai lieto:
129.1. konisko 200 ml kolbu ar stikla aizbāzni;
129.2. atteces dzesinātāju (piemērots šķīdumiem ar augstu vārīšanās punktu), kas der koniskajai kolbai (šā pielikuma 129.1.apakšpunkts).
130. Papildus šā pielikuma 1.nodaļā minētajiem reaģentiem lieto ksilolu ar destilācijas temperatūru no 137–142 °C. Šis reaģents ir viegli uzliesmojošs, tā tvaiki ir toksiski, tāpēc lietojot jāievēro piesardzība.
131. Veicot testēšanu, ievēro šā pielikuma 1.nodaļā minēto procedūru:
131.1. raudzei, kas atrodas koniskajā kolbā (šā pielikuma 129.1.apakšpunkts), uz katru raudzes gramu pievieno 100 ml ksilola (šā pielikuma 130.apakšpunkts). Pievieno atteces dzesinātāju (šā pielikuma 129.2.apakšpunkts), saturu uzvāra un notur vārīšanās temperatūrā trīs minūtes. Karsto šķidrumu nekavējoties nolej caur nosvērtu filtrtīģeli (šā pielikuma 130.apakšpunkts). Šo darbību atkārto divas reizes, katru reizi lietojot svaigu 50 ml šķīdinātāja porciju;
131.2. kolbā atlikušo atlikumu skalo secīgi ar 30 ml verdoša ksilola (divas reizes) un ar 75 ml petrolētera (9.2.1.apakšpunkts) (divas reizes). Pēc otrās skalošanas ar petrolēteri kolbas saturu filtrē caur filtrtīģeli, visas atlikušās šķiedras pārvieto uz tīģeli ar mazu petrolētera daudzumu un ļauj šķīdinātājam iztvaikot. Tīģeli un atlikumu izžāvē, atdzesē un nosver;
131.3. filtrtīģeli, caur kuru nolej ksilolu, iepriekš sakarsē;
131.4. pēc apstrādes ar verdošu ksilolu pārbauda, vai kolba, kas satur atlikumu, ir pietiekami atdzesēta pirms petrolētera ieliešanas;
131.5. lai mazinātu saindēšanās un ugunsbīstamības draudus operatoram, attiecīgās procedūras var izpildīt karstās ekstrakcijas aparātā. Tas dod identiskus rezultātus.
132. Rezultātus aprēķina saskaņā ar šā pielikuma 1.nodaļu. Korekcijas koeficients d ir 1,00.
133. Tekstilmateriālu homogēnam maisījumam, izmantojot šajā apakšnodaļā minēto metodi, iegūto rezultātu ticamības robežas nepārsniedz ± 1, nodrošinot 95% varbūtiskās ticamības līmeni.
2.14. Hloršķiedrām (vinilhlorīda homopolimēriem) un citām noteiktām šķiedrām piemērojamā metode
134. Pēc nešķiedru vielu atdalīšanas hloršķiedrām (vinilhlorīda homopolimēriem) un noteiktām citām šķiedrām piemērojamo metodi (šā pielikuma 29.punkta tabulā minētā 14.metode jeb koncentrētas sērskābes metode) lieto divkomponentu maisījumiem, ko veido:
134.1. hloršķiedras, pamatā polivinilhlorīda šķiedras, papildus hlorētas vai nehlorētas, un elastolefīns;
134.2. kokvilna, acetāts, kupro, modālviskoze, triacetāts, viskoze, noteikti akrili, noteikti modakrili, poliamīds vai neilons, poliesteris un elastomultiesteris.
135. Šajā apakšnodaļā minēto metodi lieto modakriliem, kuri koncentrētā sērskābē (20 °C temperatūrā blīvums 1,84) dod dzidru šķīdumu. Minēto metodi var lietot attiecīgi šā pielikuma 29.punkta tabulā minētās 8. un 9.metodes vietā.
136. No šķiedru maisījuma ar zināmu sauso masu otro komponentu (šķiedras, kas minētas šā pielikuma 134.2.apakšpunktā) izšķīdina ar koncentrētu sērskābi (20 °C temperatūrā blīvums ir 1,84). Atlikumu, kas satur hloršķiedru vai elastolefīnu, savāc, skalo, žāvē un nosver. Tā masu, ja nepieciešams, koriģē un izsaka procentos no maisījuma sausās masas. Otrā komponenta procentuālo saturu aprēķina pēc starpības.
137. Papildus šā pielikuma 1.nodaļā minētajai aparatūrai lieto:
137.1. 200 ml tilpuma konisko kolbu ar stikla aizbāzni;
137.2. stikla nūjiņu ar saplacinātu galu.
138. Papildus šā pielikuma 1.nodaļā minētajiem reaģentiem lieto:
138.1. koncentrētu sērskābi (20 °C temperatūrā blīvums ir 1,84);
138.2. sērskābi, apmēram 50 % (m/m) ūdens šķīdums. To sagatavo, dzesējot 500 ml destilēta vai dejonizēta ūdens un uzmanīgi pievienojot 400 ml sērskābes (20 °C temperatūrā blīvums ir 1,84). Pēc atdzesēšanas līdz iekštelpu gaisa temperatūrai šķīdumu atšķaida ar ūdeni līdz vienam litram;
138.3. amonjaka šķīdumu. 60 ml koncentrēta amonjaka (20 °C temperatūrā tā blīvums ir 0,880) atšķaida ar destilētu ūdeni līdz vienam litram.
139. Veicot testēšanu, ievēro šādu procedūru:
139.1. raudzei, kas atrodas kolbā (šā pielikuma 137.1.apakšpunkts), uz katru raudzes gramu pievieno 100 ml sērskābes (šā pielikuma 138.1.apakšpunkts);
139.2. kolbas saturu atstāj iekštelpu gaisa temperatūrā uz 10 minūtēm, šajā laikā raudzi laiku pa laikam samaisa ar stikla nūjiņu. Apstrādājot austu vai adītu drānu, to viegli spaida ar stikla nūjiņu pret kolbas sieniņu tā, lai atdalītu materiālu, kas izšķīdis sērskābē;
139.3. šķidrumu notecina caur nosvērtu filtrtīģeli. Kolbā ielej svaigu 100 ml porciju sērskābes (šā pielikuma 138.1.apakšpunkts) un atkārto to pašu darbību. Kolbas saturu kopā ar šķiedru atlikumu ar stikla nūjiņas palīdzību pārvieto uz filtrtīģeli. Ja nepieciešams, kolbu izskalo ar nelielu daudzumu koncentrētas sērskābes (šā pielikuma 138.1.apakšpunkts), lai atdalītu visas šķiedras, kas pielipušas pie sieniņām. Iztukšo filtrtīģeli, filtrējot vakuumā, aizvāc filtrātu, iztukšojot vai nomainot filtrēšanas kolbu, atlikumu tīģelī mazgā secīgi ar 50 % sērskābes šķīdumu (šā pielikuma 138.2.apakšpunkts), destilētu vai dejonizētu ūdeni (šā pielikuma 9.2.3.apakšpunkts), amonjaka šķīdumu (šā pielikuma 138.3.apakšpunkts) un beidzot pilnīgi mazgā ar destilētu vai dejonizētu ūdeni. Pēc katras mazgāšanas iztukšo tīģeli, filtrējot vakuumā (vakuumfiltrēšanu neveic mazgāšanas laikā, bet tikai pēc tam, kad šķidrums ir gravitāri iztecējis);
139.4. tīģeli un atlikumu izžāvē, atdzesē un nosver.
140. Rezultātus aprēķina saskaņā ar šā pielikuma 1.nodaļu. Korekcijas koeficients d ir 1,00.
141. Tekstilmateriālu homogēnam maisījumam, izmantojot šajā apakšnodaļā minēto metodi, iegūto rezultātu ticamības robežas nepārsniedz ± 1, nodrošinot 95% varbūtiskās ticamības līmeni.
2.15. Hloršķiedrām, noteiktiem modakriliem, noteiktiem elastāniem, acetāniem, triacetātiem un noteiktām citām šķiedrām piemērojamā metode
142. Pēc nešķiedru vielu atdalīšanas hloršķiedrām, noteiktiem modakriliem, noteiktiem elastāniem, acetāniem, triacetātiem un noteiktām citām šķiedrām piemērojamo metodi (šā pielikuma 29.punkta tabulā minētā 15.metode jeb cikloheksanona metode) lieto divkomponentu maisījumiem, ko veido:
142.1. acetāts, triacetāts, hloršķiedra, noteikti modakrili, noteikti elastāni;
142.2. vilna, dzīvnieku mati, zīds, kokvilna, kupro, modālviskoze, viskoze, akrils, poliamīds vai neilons un stikla šķiedra.
143. Ja maisījumā ir modakrili vai elastāni, vispirms jāveic sākotnējā testēšana, lai noteiktu, vai šķiedra ir pilnībā šķīstoša reaģentā.
144. Maisījumus, kas satur hloršķiedras, ir iespējams analizēt arī ar attiecīgi šā pielikuma 29.punkta tabulā minēto 9. vai 14.metodi.
145. No šķiedru maisījuma ar zināmu sauso masu acetāta un triacetāta šķiedras, hloršķiedras, noteiktus modakrilus un noteiktus elastānus izšķīdina ar cikloheksanonu temperatūrā, kas ir tuva viršanas temperatūrai. Atlikumu savāc, skalo, žāvē un nosver. Tā masu, ja nepieciešams, koriģē un izsaka procentos no maisījuma sausās masas. Hloršķiedras, modakrila, elastāna, acetāta un triacetāta procentuālo saturu aprēķina pēc starpības.
146. Papildus šā pielikuma 1.nodaļā minētajai aparatūrai lieto:
146.1. karstās ekstrakcijas aparātu, kas ir piemērots šā pielikuma 148.punktā minētajai testēšanas procedūrai (skatīt zīmējumu);
146.2. filtrtīģeli raudzei;
146.3. poraino vāciņu (porainības pakāpe 1);
146.4. atteces dzesinātāju destilēšanas kolbai;
146.5. karsēšanas ierīci.
147. Papildus šā pielikuma 1.nodaļā minētajiem reaģentiem lieto:
147.1. cikloheksanonu ar 156 °C viršanas temperatūru. Cikloheksanons ir viegli uzliesmojošs un toksisks. Lietojot jāievēro attiecīgā piesardzība;
147.2. etilspirtu, 50 % tilpumā.
148. Veicot testēšanu, ievēro šā pielikuma 1.nodaļā minēto procedūru:
148.1. destilācijas kolbā ielej 100 ml cikloheksanona uz gramu materiāla, ievieto ekstrakcijas konteineri ar filtrtīģeli, kas satur raudzi, un porainu vāciņu, kurš novietots mazliet slīpi. Pievieno atteces dzesinātāju. Karsē līdz vārīšanās temperatūrai un ekstrakciju turpina 60 minūtes ar minimālo ātrumu 12 ciklu stundā. Pēc ekstrakcijas un atdzesēšanas izņem ekstrakcijas konteineri, no tā izņem filtrtīģeli un noņem vāciņu. Filtrtīģeļa saturu trīs vai četras reizes mazgā ar 50 % etilspirtu, kas sakarsēts līdz apmēram 60 °C, pēc tam – ar vienu litru ūdens 60 °C temperatūrā;
148.2. vakuumfiltrēšanu neveic mazgāšanas laikā un starp mazgāšanām. Šķidrumam ļauj gravitāri notecēt, un tikai pēc tam to nosūc vakuumā;
148.3. tīģeli ar atlikumu izžāvē, atdzesē un nosver.
149. Rezultātus aprēķina saskaņā ar šā pielikuma 1.nodaļu. Korekcijas koeficients d ir 1,00, izņemot šādus gadījumus:
149.1. zīdam – 1,01;
149.2. akrilam – 0,98.
150. Tekstilmateriālu homogēnam maisījumam, izmantojot šajā apakšnodaļā minēto metodi, iegūto rezultātu ticamības robežas nepārsniedz ± 1, nodrošinot 95 % varbūtiskās ticamības līmeni.
Ministru kabineta
2009.gada 21.jūlija noteikumiem Nr.794
1. Vispārīgie nosacījumi
1. Šķiedru maisījumu kvantitatīvās analīžu metodes pamatojas uz diviem galvenajiem procesiem – uz šķiedru manuālo (mehānisko) atdalīšanu un šķiedru ķīmisko atdalīšanu.
2. Manuālo (mehānisko) metodi lieto visos iespējamos gadījumos (tā parasti dod precīzākus rezultātus nekā ķīmiskā atdalīšana). To var izmantot visiem tekstilizstrādājumiem, kuru sastāvā esošās šķiedras neveido nedalāmus maisījumus, piemēram, pavedieniem, kas sastāv no dažādiem elementiem, no kuriem katrs ir iegūts no viena veida šķiedras, vai audumiem, kuros šķēri un audi atšķiras pēc šķiedru veida, vai adījumiem, kas izārdāmi dažādu veidu šķiedru pavedienos.
3. Ķīmiskā metode parasti pamatojas uz atsevišķu komponentu selektīvo šķīdināšanu. Tai ir šādi varianti (ja ir izvēle, ieteicams lietot kādu no pirmajiem trim variantiem):
3.1. lietojot divas raudzes, komponentu (a) izšķīdina no pirmās raudzes un citu komponentu (b) no otrās raudzes. Katras raudzes nešķīstošo atlikumu nosver, un katru divu šķīstošo komponentu procentuālo saturu aprēķina no attiecīgajiem masas zudumiem. Trešā komponenta (c) procentuālo saturu aprēķina pēc starpības;
3.2. lietojot divas raudzes, komponentu (a) izšķīdina no pirmās raudzes un divus komponentus (a un b) no otrās raudzes. Pirmās raudzes nešķīstošo atlikumu nosver un komponenta (a) procentuālo saturu aprēķina no masas zuduma. Otrās raudzes nešķīstošo atlikumu nosver, un tas atbilst komponentam (c). Trešā komponenta procentuālo saturu (b) aprēķina pēc starpības;
3.3. lietojot divas raudzes, divus komponentus (a un b) izšķīdina no pirmās raudzes un divus komponentus (b un c) no otrās raudzes. Nešķīstošie atlikumi atbilst attiecīgi diviem komponentiem (c) un (a). Trešā komponenta (b) procentuālo saturu aprēķina pēc starpības;
3.4. lietojot tikai vienu raudzi, pēc viena komponenta atdalīšanas nešķīstošo atlikumu, kas veidojas no divām citām šķiedrām, nosver un šķīstošā atlikuma procentuālo saturu aprēķina no masas zuduma. Vienu no divām atlikuma šķiedrām izšķīdina, nešķīstošo komponentu nosver un otra šķīstošā komponenta procentuālo saturu aprēķina no masas zuduma.
4. Ja lieto ķīmiskās metodes, ekspertam, kas ir atbildīgs par analīzēm, jāizvēlas metodes, kurās izmanto tādus šķīdinātājus, kuri šķīdina tikai pareizo šķiedru, atstājot citas šķiedras neskartas (šo noteikumu 7.pielikuma tabulā iekļauts noteikts skaits trīskomponentu maisījumu un divkomponentu maisījumu analīzes metodēm, kuras var lietot, lai analizētu attiecīgos trīskomponentu maisījumus).
5. Lai līdz minimumam samazinātu kļūdas iespējamību, ieteicams visos iespējamos gadījumos lietot ķīmisko analīzi, kurā izmanto vismaz divus no četriem šā pielikuma 3.punktā minētajiem variantiem.
6. Šķiedru maisījumi ražošanas procesā un – mazākā mērā – gatavie tekstilizstrādājumi var saturēt nešķiedru vielas (piemēram, taukus, vaskus, apretes vai ūdenī šķīstošas vielas), kuras tajos nonākušas dabiskā ceļā vai tiem pievienotas, lai veicinātu pārstrādes procesus. Nešķiedru vielas atdala pirms analīzes veikšanas, izmantojot iepriekšējās attīrīšanas (apstrādes) metodi.
7. Tekstilizstrādājumi var saturēt sveķus un citas vielas, kas lietotas, lai piešķirtu tiem speciālas īpašības. Šādas vielas un (izņēmuma gadījumos) krāsvielas var ietekmēt reaģentu iedarbību uz šķīdināmajiem komponentiem un (vai) reaģents tās var daļēji vai pilnīgi atdalīt. Tas var radīt kļūdas, tāpēc minētās vielas pirms raudzes analizēšanas jāatdala. Ja tās nav iespējams atdalīt, kvantitatīvās ķīmiskās analīzes metodes nav piemērojamas.
8. Krāsotās šķiedrās krāsvielu uzskata par šķiedras neatņemamu sastāvdaļu un to neatdala.
9. Analīzes veic, pamatojoties uz raudzes sauso masu, ko nosaka, izmantojot noteiktu procedūru.
10. Galīgo rezultātu iegūst, katras šķiedras sausajai masai pierēķinot attiecīgo resorbātu (galvenokārt mitruma) saskaņotos pieļāvumus (4.pielikums).
11. Pirms jebkuru analīžu veikšanas visām maisījumā esošajām šķiedrām jābūt identificētām. Lietojot dažas konkrētas ķīmiskās metodes, maisījuma nešķīdināmo komponentu var daļēji izšķīdināt ar reaģentu, ko lieto šķīdināmā komponenta šķīdināšanai. Ja iespējams, izvēlas tādus reaģentus, kas uz nešķīdināmajām šķiedrām iedarbojas nedaudz vai neiedarbojas nemaz. Ja ir zināms, ka analīžu laikā rodas masas zudums, rezultātu koriģē atbilstoši korekcijas koeficientiem. Korekcijas koeficienti ir noteikti vairākās laboratorijās, apstrādājot iepriekš attīrītas šķiedras ar attiecīgo konkrētajai analīzes metodei atbilstošu reaģentu. Korekcijas koeficientus lieto tikai nedestruktētām šķiedrām. Ja šķiedras pirms apstrādes vai tās laikā ir destrukturētas, nepieciešami citi korekcijas koeficienti. Ja izmanto ceturto variantu, ar kuru saskaņā tekstilšķiedra ir pakļauta divu dažādu šķīdinātāju secīgai iedarbībai, lieto korekcijas koeficientus attiecībā uz iespējamiem šķiedras masas zudumiem divās apstrādēs. Izmantojot gan manuālo (mehānisko), gan ķīmisko metodi, veic vismaz divas pārbaudes.
2. Tekstilšķiedru maisījumu kvantitatīvo analīžu ķīmiskā metode
12. Atbilstoši katras tekstilšķiedru trīskomponentu maisījuma analīzes metodes lietošanas jomai nosaka piemērojamo metodi (skatīt arī noteikto divkomponentu maisījumu kvantitatīvās analīzes metodes).
13. Pēc maisījuma komponentu identificēšanas atdala nešķiedru materiālus, izmantojot atbilstošu iepriekšējās attīrīšanas paņēmienu, un tad lieto vienu vai vairākus no četriem selektīvās šķīdināšanas variantiem (šā pielikuma 15.punkts). Ja tas nerada tehniskas grūtības, ieteicams vispirms izšķīdināt galveno šķiedru komponentu, lai iegūtu mazāko šķiedru komponentu kā gala atlikumu.
14. Lietojot šķiedru trīskomponentu maisījumu kvantitatīvo analīžu ķīmiskās metodes, izmanto šādus materiālus un iekārtas:
14.1. aparatūru, kas ietver:
14.1.1. filtrtīģeļus un sverglāzes, kas ir pietiekami lielas, lai tajās ievietotu filtrtīģeļus, vai jebkuru citu aparatūru, ar kuru var iegūt identiskus rezultātus;
14.1.2. vakuuma kolbu;
14.1.3. eksikatoru ar silikagelu, kas satur indikatoru;
14.1.4. ventilējamu žāvējamo skapi raudžu žāvēšanai 105 (±3) °C temperatūrā;
14.1.5. analītiskos svarus (ar precizitāti ± 0,0002 g);
14.1.6. Soksleta ekstraktoru vai citu aparatūru, ar kuru var iegūt identiskus rezultātus;
14.2. reaģentus, kas ietver:
14.2.1. petrolēteri, pārdestilētu, ar viršanas temperatūru 40–60 °C;
14.2.2. citus reaģentus atbilstoši metožu aprakstiem. Visiem lietotajiem reaģentiem jābūt ķīmiski tīriem;
14.2.3. destilētu vai dejonizētu ūdeni.
15. Analizējot sausās masas, raudzes nav nepieciešams kondicionēt vai veikt analizes kondicionālos apstākļos.
16. Izvēlas testēšanas paraugu, kas pārņem laboratorijas parauga neviendabīgumu un ir tik liels, lai no tā iegūtu visas nepieciešamās raudzes, kuru masa ir vismaz 1 g katrai.
17. Testēšanas paraugu iepriekš attīra, ievērojot šādu procedūru:
17.1. ja paraugā ir vielas, kas nav pieļaujamas procentuālajos aprēķinos, vispirms tās atdala, izmantojot piemērotu metodi, kas neietekmē nevienu komponentšķiedru;
17.2. nešķiedru vielas, kuras var ekstrahēt ar petrolēteri un ūdeni, atdala, apstrādājot ar petrolēteri gaisa sauso testēšanas paraugu Soksleta aparātā vienu stundu ar minimālo ātrumu seši cikli stundā. Atstāj, lai petrolēteris iztvaiko. Pēc tam raudzes ekstrahē ar ūdeni, mērcējot vienu stundu iekštelpu gaisa temperatūrā, kam seko mērcēšana 65 (± 5) °C temperatūrā vēl vienu stundu, šķidrumu laiku pa laikam maisot. Testēšanas parauga un ūdens proporcija ir 1:100. Nospiežot, centrifugējot vai atsūcot ar vakuumu, no parauga atdala lieko ūdeni un ļauj paraugam gaisā izžūt;
17.3. ja nešķiedru vielu nevar ekstrahēt ar petrolēteri un ūdeni, to atdala, izmantojot citu atbilstošu metodi, kas būtiski neizmaina nevienu šķiedru komponentu. Dažām nebalinātām dabiskām augšķiedrām (piemēram, džutai, koirai) ar parasto iepriekšējo attīrīšanu (ar petrolēteri un ūdeni) nav iespējams atdalīt visas dabiskās nešķiedru vielas, tomēr tām papildu iepriekšēju attīrīšanu neveic, ja paraugs nesatur apretes, kas nešķīst ne petrolēterī, ne ūdenī.
18. Testēšanas pārskatos iekļauj iepriekšējā attīrīšanā lietoto metožu pilnīgu detalizētu aprakstu.
19. Paraugu testē, ievērojot šādu procedūru:
19.1. žāvē ne mazāk kā četras stundas un ne vairāk kā 16 stundu 105 (± 3) °C temperatūrā ventilējamā žāvēšanas skapī ar pilnīgi aizvērtām durvīm. Ja žāvēšanas laiks ir īsāks par 14 stundām, regulāri pārbauda raudzes masu, lai noteiktu, vai tā ir konstanta. Masu var uzskatīt par konstantu, ja pēc 60 minūšu papildu žāvēšanas tās izmaiņas ir mazākas par 0,05 %;
19.2. žāvēšanas, dzesēšanas un svēršanas laikā jāizvairās tīģeļus, sverglāzes, raudzes vai atlikumus aiztikt ar kailām rokām;
19.3. raudzes žāvē sverglāzē, tās vāku novieto līdzās. Pēc žāvēšanas pirms izņemšanas no žāvējamā skapja sverglāzi aizvāko un ātri pārliek eksikatorā;
19.4. filtrtīģeli žāvē sverglāzē, tās vāku novieto līdzās žāvējamā skapī. Pēc žāvēšanas sverglāzi aizvāko un ātri pārliek eksikatorā;
19.5. ja nelieto filtrtīģeli, žāvēšanas skapī žāvē tā, lai noteiktu šķiedru sauso masu bez zudumiem;
19.6. dzesē ne mazāk kā divas stundas eksikatorā, kas novietots blakus svariem, līdz pilnīgai sverglāžu atdzišanai;
19.7. sverglāzi nosver divu minūšu laikā pēc izņemšanas no eksikatora. Sver ar precizitāti līdz ± 0,0002 g;
19.8. testēšanu veic šādi:
19.8.1. no iepriekš attīrītā testēšanas parauga ņem raudzi, kuras masa ir vismaz 1 g. Sagriež pavedienu vai drānu apmēram 10 mm garos gabalos, cik sīki vien iespējams. Raudzi žāvē sverglāzē, dzesē eksikatorā un nosver;
19.8.2. raudzi pārvieto stikla traukā, nekavējoties pārsver sverglāzi un aprēķina raudzes sauso masu pēc starpības. Testēšanu pabeidz atbilstoši lietotajai metodei. Atlikumu pārbauda mikroskopiski, lai pārliecinātos, ka šķīdināmā šķiedra patiešām ir pilnīgi atdalīta.
20. Lai aprēķinātu rezultātus, katra komponenta masu izsaka procentos no kopējās šķiedru masas maisījumā. Rezultātus aprēķina, pamatojoties uz attīrītu sauso masu, kas koriģēta ar saskaņotajām resorbātu normām un korekcijas koeficientiem, kas nepieciešami, lai ņemtu vērā nešķiedru vielas zudumu iepriekšējās attīrīšanas un analīžu laikā.
21. Neņemot vērā šķiedru masas zudumus iepriekšējās attīrīšanas laikā, attīrītas sausās šķiedru masas procentuālo saturu aprēķina vienā no šādiem variantiem:
21.1. ja vienu maisījuma komponentu atdala no vienas raudzes un otru komponentu no otras raudzes, izmanto šādas formulas:
P1% – pirmā attīrītā sausā komponenta (masas) procentuālais saturs (pirmās raudzes komponents, kas izšķīdis, lietojot pirmo reaģentu);
P2% – otrā attīrītā sausā komponenta (masas) procentuālais saturs (otrās raudzes komponents, kas izšķīdis, lietojot otro reaģentu);
P3% – trešā attīrītā sausā komponenta (masas) procentuālais saturs (komponents, kas nav izšķīdis abās raudzēs);
m1 – pirmās raudzes sausā masa pēc iepriekšējās attīrīšanas;
m2 – otrās raudzes sausā masa pēc iepriekšējās attīrīšanas;
r1 – atlikuma sausā masa pēc pirmā komponenta atdalīšanas no pirmās raudzes, izmantojot pirmo reaģentu;
r2 – atlikuma sausā masa pēc otrā komponenta atdalīšanas no otrās raudzes, izmantojot otro reaģentu;
d1 – nešķīstošā otrā komponenta masas zudumu korekcijas koeficients pirmajā raudzē, lietojot pirmo reaģentu (korekcijas koeficienta d vērtības ir norādītas šo noteikumu 5.pielikumā atbilstoši divkomponentu maisījumu analīzes metodei);
d2 – nešķīstošā trešā komponenta masas zudumu korekcijas koeficients pirmajā raudzē, lietojot pirmo reaģentu (korekcijas koeficienta d vērtības ir norādītas šo noteikumu 5.pielikumā atbilstoši divkomponentu maisījumu analīzes metodei);
d3 – nešķīstošā pirmā komponenta masas zudumu korekcijas koeficients otrajā raudzē, lietojot otro reaģentu (korekcijas koeficienta d vērtības norādītas šo noteikumu 5.pielikumā atbilstoši divkomponentu maisījumu analīzes metodei);
d4 – nešķīstošā trešā komponenta masas zudumu korekcijas koeficients otrajā raudzē, lietojot otro reaģentu (korekcijas koeficienta d vērtības ir norādītas šo noteikumu 5.pielikumā atbilstoši divkomponentu maisījumu analīzes metodei);
21.2. ja no pirmās raudzes atdalīts komponents (a), bet atlikuši divi citi komponenti (b + c), un no otrās raudzes ir atdalīti divi komponenti (a + b), bet atlicis trešais komponents (c) izmanto šādas formulas:
P1% – pirmā attīrītā sausā komponenta (masas) procentuālais saturs (pirmās raudzes komponents, kas izšķīdis, lietojot pirmo reaģentu);
P2% – otrā attīrītā sausā komponenta (masas) procentuālais saturs (šķīdināmais komponents, kas vienlaikus ar otrās raudzes pirmo komponentu ir izšķīdis, lietojot otro reaģentu);
P3% – trešā attīrītā sausā komponenta (masas) procentuālais saturs (nešķīstošais komponents abās raudzēs);
m1 – pirmās raudzes sausā masa pēc iepriekšējās attīrīšanas;
m2 – otrās raudzes sausā masa pēc iepriekšējās attīrīšanas;
r1 – pirmās raudzes atlikuma sausā masa pēc pirmā komponenta atdalīšanas, lietojot pirmo reaģentu;
r2 – otrās raudzes atlikuma sausā masa pēc pirmā un otrā komponenta atdalīšanas, lietojot otro reaģentu;
d1 – nešķīstošā otrā komponenta masas zudumu korekcijas koeficients pirmajā raudzē, lietojot pirmo reaģentu (korekcijas koeficienta d vērtības norādītas šo noteikumu 5.pielikumā atbilstoši divkomponentu maisījumu analīzes metodei);
d2 – nešķīstošā trešā komponenta masas zudumu korekcijas koeficients pirmajā raudzē, lietojot pirmo reaģentu (korekcijas koeficienta d vērtības norādītas šo noteikumu 5.pielikumā atbilstoši divkomponentu maisījumu analīzes metodei);
d4 – nešķīstošā trešā komponenta masas zudumu korekcijas koeficients otrajā raudzē, lietojot otro reaģentu (korekcijas koeficienta d vērtības norādītas šo noteikumu 5.pielikumā atbilstoši divkomponentu maisījumu analīzes metodei);
21.3. trešā varianta formulas izmanto, ja no pirmās raudzes ir atdalīti divi komponenti (a + b), bet kā atlikums paliek komponents (c), un no otrās raudzes ir atdalīti divi citi komponenti (b + c), bet kā atlikums paliek pirmais komponents (a):
P1% – pirmā attīrītā sausā komponenta (masas) procentuālais saturs (reaģenta izšķīdinātais komponents);
P2% – otrā attīrītā sausā komponenta (masas) procentuālais saturs (reaģenta izšķīdinātais komponents);
P3% – trešā attīrītā sausā komponenta (masas) procentuālais saturs (otrajā raudzē reaģenta izšķīdinātais komponents);
m1 – pirmās raudzes sausā masa pēc iepriekšējas attīrīšanas;
m2 – otrās raudzes sausā masa pēc iepriekšējas attīrīšanas;
r1 – pirmās raudzes atlikuma sausā masa pēc pirmā un otrā komponenta atdalīšanas, lietojot pirmo reaģentu;
r2 – otrās raudzes atlikuma sausā masa pēc otrā un trešā komponenta atdalīšanas, lietojot otro reaģentu;
d2 – nešķīstošā trešā komponenta masas zudumu korekcijas koeficients pirmajā raudzē, lietojot pirmo reaģentu (korekcijas koeficienta d vērtības ir norādītas attiecīgajās šo noteikumu nodaļās atbilstoši divkomponentu maisījumu analīzes metodei);
d3 – nešķīstošā pirmā komponenta masas zudumu korekcijas koeficients otrajā raudzē, lietojot otro reaģentu (korekcijas koeficienta d vērtības ir norādītas attiecīgajās šo noteikumu nodaļās atbilstoši divkomponentu maisījumu analīzes metodei);
21.4. ja no vienas un tās pašas raudzes ir sekmīgi atdalīti divi komponenti izmanto šādas formulas:
P1% – pirmā attīrītā sausā komponenta procentuālais saturs (pirmais šķīdināmais komponents);
P2% – otrā attīrītā sausā komponenta procentuālais saturs (otrais šķīdināmais komponents);
P3% – trešā attīrītā sausā komponenta procentuālais saturs (nešķīdināmais komponents);
m – raudzes sausā masa pēc iepriekšējās attīrīšanas;
r1 – atlikuma sausā masa pēc pirmā komponenta atdalīšanas, lietojot pirmo reaģentu;
r2 – atlikuma sausā masa pēc pirmā un otrā komponenta atdalīšanas, lietojot pirmo un otro reaģentu;
d1 – otrā komponenta masas zudumu korekcijas koeficients, lietojot pirmo reaģentu (korekcijas koeficienta d vērtības ir norādītas attiecīgajās šo noteikumu nodaļās atbilstoši divkomponentu maisījumu analīzes metodei);
d2 – trešā komponenta masas zudumu korekcijas koeficients, lietojot pirmo reaģentu (korekcijas koeficienta d vērtības ir norādītas attiecīgajās šo noteikumu nodaļās atbilstoši divkomponentu maisījumu analīzes metodei);
d3 – trešā komponenta masas zudumu korekcijas koeficients, lietojot pirmo un otro reaģentu (ja iespējams, d3 nosaka iepriekš, izmantojot eksperimentālās metodes).
22. Katra komponenta procentuālo daudzumu, koriģējot to ar resorbātu (galvenokārt mitruma) piesvaru pieļāvumiem un, ja nepieciešams, ar korekcijas koeficientiem, kurus izmanto, lai ņemtu vērā masas zudumus iepriekšējās attīrīšanas laikā, aprēķina šādi:
22.1.
P1A% – pirmā attīrītā sausā komponenta procentuālais saturs, ieskaitot mitruma daudzumu un masas zudumus iepriekšējā attīrīšanā;
P2A% – otrā attīrītā sausā komponenta procentuālais saturs, ieskaitot mitruma daudzumu un masas zudumus iepriekšējā attīrīšanā;
P3A% – trešā attīrītā sausā komponenta procentuālais saturs, ieskaitot mitruma daudzumu un masas zudumus iepriekšējā attīrīšanā;
P1 – pirmā attīrītā sausā komponenta procentuālais saturs, kas iegūts, izmantojot kādu no šā pielikuma 21.punktā minētajām formulām;
P2 – otrā attīrītā sausā komponenta procentuālais saturs, kas iegūts, izmantojot vienu no šā pielikuma 21.punktā minētajām formulām;
P3 – trešā attīrītā sausā komponenta procentuālais saturs, kas iegūts, izmantojot vienu no šā pielikuma 21.punktā minētajām formulām;
a1 – pirmajam komponentam saskaņotā resorbātu piesvara norma (pielaide jeb pieļāvums);
a2 – otrajam komponentam saskaņotā resorbātu piesvara norma (pielaide jeb pieļāvums);
a3 – trešajam komponentam saskaņotā resorbātu piesvara norma (pielaide jeb pieļāvums);
b1 – pirmā komponenta procentuālais masas zudums iepriekšējās attīrīšanas laikā;
b2 – otrā komponenta procentuālais masas zudums iepriekšējās attīrīšanas laikā;
b3 – trešā komponenta procentuālais masas zudums iepriekšējās attīrīšanas laikā;
22.2. lietojot īpašu iepriekšējo attīrīšanu, b1, b2 un b3 vērtības, ja iespējams, nosaka, pakļaujot katru komponenta tīršķiedru analīzē lietotajai iepriekšējai attīrīšanai. Par tīršķiedrām uzskata tādas šķiedras, kas nesatur nekādas nešķiedru vielas, izņemot tās, kuras parasti (dabiski vai ražošanas dēļ) ietilpst tādā (nebalinātā vai balinātā) šķiedru stāvoklī, kādā šīs nešķiedru vielas ir konstatējamas analizējamajā materiālā;
22.3. ja nav iespējams iegūt analizējamā materiāla ražošanai izmantotās savrupi attīrītās komponentšķiedras, lieto b1, b2 un b3 vidējās vērtības, kuras iegūtas testos ar attīrītām šķiedrām, kas līdzīgas tām, ko satur pārbaudāmais maisījums;
22.4. lietojot parasto iepriekšējo attīrīšanu ar petrolēteri un ūdeni, koriģējošos koeficientus b1, b2 un b3 var neņemt vērā (izņēmums ir nebalināta kokvilna, nebalināts lins un nebalināti kaņepāji, kam iepriekšējā attīrīšanā radušos zudumus parasti pieņem 4 % līmenī, un polipropilēns – 1 % līmenī);
22.5. citām šķiedrām iepriekšējā attīrīšanā radušos zudumus aprēķinos parasti neņem vērā.
23. Aprēķinu piemēri ir minēti šo noteikumu 8.pielikumā.
3. Kvantitatīvo analīžu manuālā (mehāniskā) metode
24. Tekstilšķiedru trīskomponentu maisījumu kvantitatīvo analīžu manuālo (mehānisko) metodi izmanto visu veidu tekstilšķiedrām ar nosacījumu, ka tās neveido nesadalāmos maisījumus, kuru komponentus nav iespējams atdalīt ar rokām.
25. Pēc tekstilkomponentu identifikācijas nešķiedru vielas atdala, izmantojot atbilstošu iepriekšējo attīrīšanu. Pēc tam šķiedras sadala ar rokām, žāvē un sver, lai aprēķinātu katras šķiedras proporciju maisījumā.
26. Lietojot kvantitatīvo analīžu manuālo (mehānisko) metodi, izmanto šādus materiālus un iekārtas:
26.1. sverglāzes vai citu aparatūru, ar kuru var iegūt identiskus rezultātus;
26.2. eksikatoru ar silikagelu, kas satur indikatoru;
26.3. ventilējamu žāvējamo skapi raudžu žāvēšanai 105 (± 3) °C temperatūrā;
26.4. analītiskos svarus (ar precizitāti ± 0,0002 g);
26.5. Soksleta ekstraktoru vai citu aparatūru, ar kuru var iegūt identiskus rezultātus;
26.6. adatu;
26.7. groduma mērītāju vai līdzīgu aparatūru.
27. Lietojot kvantitatīvo analīžu manuālo (mehānisko) metodi, lieto šādus reaģentus:
27.1. petrolēteri, pārdestilētu, ar viršanas temperatūru 40–60 °C;
27.2. destilētu vai dejonizētu ūdeni.
28. Analizējot sauso masu, raudžu kondicionēšana un analizēšana kondicionālos apstākļos nav nepieciešama.
29. Testēšanas paraugu ņem atbilstoši šā pielikuma 16.punktam.
30. Testēšanas parauga iepriekšēju attīrīšanu (apstrādi) veic atbilstoši šā pielikuma 17.punktam.
31. Veicot testēšanu, ievēro šādu procedūru:
31.1. pavediena analīzi veic, no iepriekš attīrīta testēšanas parauga ņemot raudzi, kuras masa ir vismaz 1 g. Ļoti smalkam pavedienam analīzes var veikt, ja pavediena minimālais garums ir 30 m, neatkarīgi no tā masas. Sagriež pavedienu piemērota garuma gabalos un atdala dažāda veida šķiedras ar adatu vai, ja nepieciešams, ar groduma mērītāju. Katra veida šķiedru liek iepriekš nosvērtās sverglāzēs un žāvē 105 (± 3) °C temperatūrā līdz konstantas masas iegūšanai saskaņā ar šā pielikuma 19.punktu;
31.2. drānas analīzi veic, no iepriekš attīrītā testēšanas parauga ņemot raudzi, kuras masa ir vismaz 1 g. Raudzē nedrīkst iekļaut eģi. Raudzei rūpīgi paralēli audiem vai šķēriem jānogriež malas, lai izvairītos no pavedienu izslīdes. Adītām drānām raudzi ņem cilpu stabiņu un cilpu rindu virzienā. Atdala atšķirīgo veidu šķiedras un liek tās iepriekš nosvērtās sverglāzēs. Turpmāk rīkojas saskaņā ar šā pielikuma 31.1.apakšpunktu.
32. Aprēķinot rezultātus, katras komponentšķiedras masu izsaka procentos no kopējās šķiedru maisījuma masas. Rezultātus aprēķina, pamatojoties uz attīrīto sauso šķiedru masu, kas koriģēta ar resorbātu piesvara pieļāvumiem un korekcijas koeficientiem, kas nepieciešami, lai ievērotu masas zudumus iepriekšējās attīrīšanas laikā.
33. Attīrīto sauso šķiedru masas procentuālo saturu, neņemot vērā šķiedru masas zudumus iepriekšējā attīrīšanā, aprēķina, izmantojot šādas formulas:
P1% – pirmā attīrītā sausā komponenta masas procentuālais saturs;
P2% – otrā attīrītā sausā komponenta masas procentuālais saturs;
P3% – trešā attīrītā sausā komponenta procentuālais saturs;
m1 – pirmā attīrītā sausā komponenta masa;
m2 – otrā attīrītā sausā komponenta masa;
m3 – trešā attīrītā sausā komponenta masa.
34. Katra komponenta procentuālo saturu, kas koriģēts ar resorbātu piesvara pieļāvumiem un, ja nepieciešams, ar korekcijas koeficientiem, lai ievērotu masas zudumu iepriekšējās attīrīšanas laikā, aprēķina saskaņā ar šā pielikuma 22.punktu.
4. Tekstilšķiedru trīskomponentu maisījumu kvantitatīvā analīze, kombinējot manuālās (mehāniskās) un ķīmiskās metodes
35. Visos iespējamajos gadījumos lieto manuālo (mehānisko) metodi, ņemot vērā atdalīto komponentu proporcijas pirms pāriešanas uz katra atdalītā komponenta ķīmisko apstrādi.
5. Metožu precizitāte
36. Precizitāte, kas norādīta katrai divkomponentu maisījumu analīzes metodei, ir saistāma ar to reproducējamību.
37. Reproducējamība attiecas uz ticamību, tas ir, uz sakritību starp eksperimentāli dažādās laboratorijās vai dažādos laikos iegūtām vērtībām, lietojot vienu un to pašu metodi un iegūstot individuālus rezultātus homogēni identiskā maisījuma raudzēm.
38. Reproducējamību izsaka ar rezultātu ticamības robežām, nodrošinot 95 % varbūtiskās ticamības līmeni. Tas nozīmē, ka atšķirība starp divu analīžu sēriju rezultātiem, kas iegūti dažādās laboratorijās, pareizi piemērojot metodi homogēni identiskam maisījumam, būtu pārsniegta tikai piecos no 100 gadījumiem.
39. Lai noteiktu trīskomponentu šķiedru maisījuma analīzes precizitāti, lieto tās pašas vērtības, kas norādītas attiecībā uz divkomponentu maisījumu analīzes metodēm, kuras izmanto trīskomponentu maisījumiem.
40. Ņemot vērā, ka visos četros trīskomponentu šķiedru maisījumu ķīmiskās analīzes variantos lieto divas šķīdināšanas (divas atsevišķas raudzes pirmajos trijos variantos un vienu raudzi ceturtajā variantā), katra komponenta noteikšanas rezultējošā precizitāte minēta tabulā.
Komponentu noteikšanas rezultējošā precizitāte, izmantojot trīskomponentu maisījumu kvantitatīvās analīzes metodes
|
Sastāvā esošā |
Varianti |
||
|
1. |
2. un 3. |
4. |
|
|
a |
E1* |
E1 |
E1 |
|
b |
E2* |
v |
E1 + E2 |
|
c |
E1 + E2 |
E2 |
E1 + E2 |
Piezīme.
* E1 un E2 – divkomponentu maisījumu analīzes divu metožu precizitāte.
41. Ceturtajā variantā precizitāte var būt zemāka, nekā noteikts, jo pirmais reaģents var reaģēt ar nogulsnēm, kuras veido (b) un (c) komponenti, un to ir grūti izvērtēt.
6. Testēšanas pārskats
42. Testēšanas pārskatā norāda lietoto analīzes variantu, metodes, reaģentus un korekcijas koeficientus.
43. Detalizēti apraksta katru īpašo iepriekšējo attīrīšanu (šā pielikuma 17.punkts).
44. Norāda individuālo testu rezultātus un aritmētisko vidējo ar precizitāti līdz pirmajai decimālzīmei (0,1).
45. Ja iespējams, norāda katra komponenta noteikšanas precizitāti (šā pielikuma 40.punktā minētā tabula).
Ministru kabineta
2009.gada 21.jūlija noteikumiem Nr.794
|
Nr. |
Maisījuma numurs |
Komponentšķiedras |
Variants* |
Divkomponentu metodes numurs un reaģents |
||
|
1.komponents |
2.komponents |
3.komponents |
||||
|
1 |
2 |
3 |
4 |
5 |
6 |
7 |
|
1. |
1. |
vilna vai mati |
viskoze, kupro vai noteikti modālviskozes veidi |
kokvilna |
1 un (vai) 4 |
2 (nātrija hipohlorīts) un 3 (cinka hlorīds/skudrskābe) |
|
2. |
2. |
vilna vai mati |
poliamīds 6 vai 6-6 |
kokvilna, kupro, modālviskoze vai viskoze |
1 un (vai) 4 |
2 (nātrija hipohlorīts) un 4 (skudrskābe, 80 % m/m) |
|
3. |
3. |
vilna, mati vai zīds |
noteiktas hlora šķiedras |
viskoze, kupro, modālviskoze vai kokvilna |
1 un (vai) 4 |
2 (nātrija hipohlorīts) un 9 (oglekļa disulfīds/acetons, 55,5/44,5 % tilp./tilp.) |
|
4. |
4. |
vilna vai mati |
poliamīds 6 vai 6-6 |
poliesters, polipropilēns, akrils vai stikla šķiedra |
1 un (vai) 4 |
2 (nātrija hipohlorīts) un 4 (skudrskābe, 80 % m/m) |
|
5. |
5. |
vilna, mati vai zīds |
noteiktas hlora šķiedras |
poliesters, akrils, poliamīds vai stikla šķiedra |
1 un (vai) 4 |
2 (nātrija hipohlorīts) un 9 (oglekļa disulfīds/acetons, 55,5/44,5 % tilp./tilp.) |
|
6. |
6. |
zīds |
vilna vai mati |
poliesters |
2 |
11 (sērskābe, 75 % m/m) un |
|
7. |
7. |
poliamīds 6 vai 6-6 |
akrils |
kokvilna, viskoze, kupro vai modālviskoze |
1 un (vai) 4 |
8 (dimetilformamīds) un 4 (skudrskābe, 80 % m/m) |
|
8. |
8. |
noteiktas hlora šķiedras |
poliamīds 6 vai 6-6 |
kokvilna, viskoze, kupro vai modālviskoze |
1 un (vai) 4 |
8 (dimetilformamīds) un 4 (skudrskābe, 80 % m/m)
vai |
|
9. |
9. |
akrils |
poliamīds 6 vai 6-6 |
poliesters |
1 un (vai) 4 |
8 (dimetilformamīds) un 4 (skudrskābe, 80 % m/m) |
|
10. |
10. |
acetāts |
poliamīds 6 vai 6-6 |
viskoze, kokvilna, kupro vai modālviskoze |
4 |
1 (acetons) un 4 (skudrskābe, 80 % m/m) |
|
11. |
11. |
noteiktas hlora šķiedras |
akrils |
poliamīds |
2 un (vai) 4 |
9 (oglekļa disulfīds/acetons, 55,5/44,5 % tilp./tilp.) un 8 (dimetilformamīds) |
|
12. |
12. |
noteiktas hlora šķiedras |
poliamīds 6 vai 6-6 |
akrils |
1 un (vai) 4 |
9 (oglekļa disulfīds/acetons, 55,5/44,5 % tilp./tilp.) un 4 (skudrskābe, 80 % m/m) |
|
13. |
13. |
poliamīds 6 vai 6-6 |
viskoze, kupro, modālviskoze vai kokvilna |
poliesters |
4 |
4 (skudrskābe, 80 % m/m) un 7 (sērskābe, 75 % m/m) |
|
14. |
14. |
acetāts |
viskoze, kupro, modālviskoze vai kokvilna |
poliesters |
4 |
1 (acetons) un 7 (sērskābe, 75 % m/m) |
|
15. |
15. |
akrils |
kokvilna, viskoze, kupro vai modālviskoze |
poliesters |
4 |
8 (dimetilformamīds) un 7 (sērskābe, 75 % m/m) |
|
16. |
16. |
acetāts |
vilna, mati vai zīds |
kokvilna, viskoze, kupro, modālviskoze, poliamīds, poliesters, akrils |
4 |
1 (acetons) un 2 (nātrija hipohlorīts) |
|
17. |
17. |
triacetāts |
vilna, mati vai zīds |
kokvilna, viskoze, kupro, modālviskoze, poliamīds, poliesters, akrils |
4 |
6 (dihlormetāns) un 2 (nātrija hipohlorīts) |
|
18. |
18. |
akrils |
vilna, mati vai zīds |
poliesters |
1 un (vai) 4 |
8 (dimetilformamīds) un 2 (nātrija hipohlorīts) |
|
19. |
19. |
akrils |
zīds |
vilna vai mati |
4 |
8 (dimetilformamīds) un 1 (sērskābe, 75 % m/m) |
|
20. |
20. |
akrils |
vilna, mati vai zīds |
kokvilna, viskoze, kupro vai modālviskoze |
1 un (vai) 4 |
8 (dimetilformamīds) un 2 (nātrija hipohlorīts) |
|
21. |
21. |
vilna, mati vai zīds |
kokvilna, viskoze, modālviskoze, kupro |
poliesters |
4 |
2 (nātrija hipohlorīts) un 7 (sērskābe,75 % m/m) |
|
22. |
22. |
viskoze, kupro vai noteikti modālviskozes veidi |
kokvilna |
poliesters |
2 un (vai) 4 |
3 (cinka hlorīds/skudrskābe) un 7
(sērskābe, |
|
23. |
23. |
akrils |
viskoze, kupro vai noteikti modālviskozes veidi |
kokvilna |
4 |
8 (dimetilformamīds) un 3 (cinka hlorīds/skudrskābe) |
|
24. |
24. |
noteiktas hlora šķiedras |
viskoze, kupro vai noteikti modālviskozes veidi |
kokvilna |
1 un (vai) 4 |
9 (oglekļa disulfīds/acetons, 55,5/44,5 % tilp./tilp.) un 3 (cinka hlorīds/skudrskābe) vai 8 (dimetilformamīds) un 3 (cinka hlorīds/skudrskābe) |
|
25. |
25. |
acetons |
viskoze, kupro vai noteikti modālviskozes veidi |
kokvilna |
4 |
1 (acetons) un 3 (cinka hlorīds/skudrskābe) |
|
26. |
26. |
triacetāts |
viskoze, kupro vai noteikti modālviskozes veidi |
kokvilna |
4 |
6 (dihlormetāns) un 3 (cinka hlorīds/skudrskābe) |
|
27. |
27. |
acetāts |
zīds |
vilna vai mati |
4 |
1 (acetons) un 11 (sērskābe, 75 % m/m) |
|
28. |
28. |
triacetāts |
zīds |
vilna vai mati |
4 |
6 (dihlormetāns) un 11 (sērskābe, 75 % m/m) |
|
29. |
29. |
acetāts |
akrils |
kokvilna, viskoze, kupro vai modālviskoze |
4 |
1 (acetons) un 8 (dimetilformamīds) |
|
30. |
30. |
triacetāts |
akrils |
kokvilna, viskoze, kupro vai modālviskoze |
4 |
6 (dihlormetāns) un 8 (dimetilformamīds) |
|
31. |
31. |
triacetāts |
poliamīds 6 vai 6-6 |
kokvilna, viskoze, kupro vai modālviskoze |
4 |
6 (dihlormetāns) un 4 (skudrskābe, 80 % m/m) |
|
32. |
32. |
triacetāts |
kokvilna, viskoze, kupro vai modālviskoze |
poliesters |
4 |
6 (dihlormetāns) un 7 (sērskābe, 75 % m/m) |
|
33. |
33. |
acetāts |
poliamīds 6 vai 6-6 |
poliesters vai akrils |
4 |
1 (acetons) un 4 (skudrskābe, 80 % m/m) |
|
34. |
34. |
acetāts |
akrils |
poliesters |
4 |
1 (acetons) un 8 (dimetilformamīds) |
|
35. |
35. |
noteiktas hlora šķiedras |
kokvilna, viskoze, kupro vai modālviskoze |
poliesters |
4 |
8 (dimetilformamīds) un 7 (sērskābe, 75 % m/m) vai 9 (oglekļa disulfīds/acetons, 55,5/44,5 % tilp./tilp.) un 7 (sērskābe, 75 % m/m) |
Piezīme.
* Izmantojot 4.variantu, vispirms atdala pirmo komponentu ar pirmo reaģentu.
Ministru kabineta
2009.gada 21.jūlija noteikumiem Nr.794
1. Aplūkosim šķiedru maisījumu, kuram kvantitatīvajā analīzē ir noteikti šādi komponenti: kārstā vilna, neilons (poliamīds), nebalināta kokvilna.
2. Lietojot pirmo variantu (šo noteikumu 6.pielikuma 3.1.apakšpunkts), tas ir, izmantojot divas dažādas raudzes un vienu komponentu (a – vilnu) ar šķīdināšanas metodi atdalot no pirmās raudzes un otro komponentu (b – poliamīdu) – no otrās raudzes, iegūti šādi rezultāti:
pirmās raudzes sausā masa pēc iepriekšējās attīrīšanas (m1) = 1,6000 g;
atlikuma sausā masa pēc iepriekšējās attīrīšanas ar nātrija hipohlorītu (poliamīds + kokvilna (r1) = 1,4166 g;
otrās raudzes sausā masa pēc iepriekšējās attīrīšanas (m2) = 1,8000 g;
atlikuma sausā masa pēc iepriekšējās attīrīšanas ar skudrskābi (vilna + kokvilna) (r2) = 0,9000 g;
2.1. apstrādājot poliamīdu ar nātrija hipohlorītu, tam nav novērojami masas zudumi, bet nebalinātai kokvilnai tie ir 3 % līmenī, tādēļ d1 = 1,0 un d2 =1,03;
2.2. apstrādājot vilnu vai nebalināto kokvilnu ar skudrskābi, tai nav novērojami masas zudumi, tādēļ d3 un d4 = 1,0;
2.3. ievietojot šo noteikumu 6.pielikuma 21.1.apakšpunktā minētajās formulās ķīmiskajā analīzē iegūtās vērtības un korekcijas koeficientus, iegūst šādus rezultātus:
2.4. attīrītu sauso šķiedru masas procentuālais saturs maisījumā ir šāds: vilna 10,30 %, poliamīds 50,00 %, kokvilna 39,70 %. Šos procentus koriģē saskaņā ar šo noteikumu 6.pielikuma 22.punktā minētajām formulām, ņemot vērā šķiedru masas aprēķināšanai lietojamos resorbātu piesvara pieļāvumus un koriģējošos koeficientus, lai ievērotu masas zudumu pēc iepriekšējās attīrīšanas;
2.5. saskaņā ar normatīvajiem aktiem par tekstilšķiedru sastāva norādīšanu tekstilizstrādājumu marķējumā šķiedru masas aprēķināšanai lietojamās saskaņotās pielaides (resorbātu piesvaru normas) ir šādas: kārstai vilnai 17,0 %, poliamīdam 6,25 %, kokvilnai 8,5 %. Nebalinātai kokvilnai rodas 4 % masas zudumu pēc iepriekšējās attīrīšanas ar petrolēteri un ūdeni. Tādējādi
2.6. šķiedru maisījums ir šāds: poliamīds 48,4 %, kokvilna 40,6 %, vilna 11,0 %, kopā 100,0 %.
3. Aplūkosim šķiedru maisījumu, kura kvantitatīvajā analīzē ir noteikti šādi komponenti: kārstā vilna, viskoze, nebalinātā kokvilna. Lietojot ceturto variantu (šo noteikumu 6.pielikuma 3.4.apakšpunkts), tas ir, sekmīgi atdalot divus komponentus no maisījuma vienas raudzes, iegūti šādi rezultāti:
raudzes sausā masa pēc iepriekšējās attīrīšanas (m1) = 1,6000 g;
atlikuma sausā masa pēc pirmās apstrādes ar nātrija hipohlorītu (viskoze + kokvilna) (r1) = 1,4166 g;
atlikuma sausā masa pēc atlikuma r1 otrās apstrādes ar cinka hlorīdu/ skudrskābi (kokvilna) (r2) = 0,6630 g;
3.1. apstrādājot viskozi ar nātrija hipohlorītu, masas zudumi nerodas, bet nebalinātai kokvilnai tie ir 3 % līmenī, tādēļ d1 = 1,0 un d2 = 1,03;
3.2. apstrādājot kokvilnu ar cinka hlorīdu/skudrskābi, kokvilnas masas pieaugums ir 4 %, līdz ar to d2 = (1,03 x 0,96) = 0,9888, kas ir noapaļojams līdz 0,99 (d2 ir korekcijas koeficients trešā komponenta masas zudumam vai pieaugumam attiecīgi pirmajā un otrajā reaģentā);
3.3. ievietojot šo noteikumu 6.pielikuma 21.4.apakšpunktā minētajās formulās ķīmiskajās analīzēs iegūtās vērtības un koriģējošos koeficientus, iegūst šādus rezultātus:
3.4. kā jau minēts attiecībā uz pirmo variantu, šie procentuālie sastāvi jākoriģē, izmantojot šo noteikumu 6.pielikuma 22.punktā minētās formulas:
3.5. tādējādi maisījuma sastāvs ir šāds: viskoze 48,6 %, kokvilna 40,8 %, vilna 10,6 %, kopā 100,0 %.
Ministru kabineta
2009.gada 21.jūlija noteikumiem Nr.794
I. Vispārīgā informācija
1. Pirms kvantitatīvās analīzes veikšanas no laboratorijas parauga iegūst iepriekšējai attīrīšanai pakļaujamo testēšanas paraugu (tas ir, iztvērumu, kura masa nepārsniedz 100 g) un atlasa raudzes no testēšanas parauga, kas ir iepriekš attīrīts, atdalot nešķiedru vielas (dažos gadījumos nepieciešams iepriekš attīrīt arī raudzi).
2. Materiāla daudzums, kuru izvērtē vienā testu sērijā (turpmāk – laidiens), var aptvert, piemēram, visu materiālu vienā drānas piegādē, visu audumu, kas austs no viena šķērējuma veltņa, dzijas sūtījumu, neapstrādātu šķiedru ķīpas vai ķīpu grupas (konsignācijas) sūtījumu.
3. No laidiena paņemtajai daļai (tās apjomam un raksturam) jābūt tādai, lai tā pārņemtu visa pārbaudāmā laidiena neviendabīgumu un būtu izmantojama laboratorijā (turpmāk – laboratorijas paraugs) (uz gataviem izstrādājumiem jeb gabalprecēm attiecas šā pielikuma V nodaļa).
4. Laboratorijas parauga daļai (tās apjomam un raksturam), kuru pakļauj iepriekšējai attīrīšanai, lai atdalītu nešķiedru vielas, un no kuras ņem raudzes (turpmāk – testēšanas paraugs), jābūt tādai, lai tā pārņemtu visa laboratorijas parauga neviendabīgumu.
5. Testēšanas paraugu atlasa tā, lai tas pārņemtu visa laboratorijas parauga neviendabīgumu.
6. No testēšanas parauga atlasīto materiāla daudzumu, kas nepieciešams individuāla testa rezultāta iegūšanai (turpmāk – raudze), ņem no testēšanas parauga tā, lai katra deva pārņemtu visa testēšanas parauga neviendabīgumu.
II. Irdeno šķiedru paraugu atlase
7. Neorientētajām šķiedrām no laboratorijas parauga ņem testēšanas paraugu, pēc nejaušības principa atlasot šķiedru šķipsnas. Visu testēšanas paraugu rūpīgi samaisa, izmantojot laboratorijas kārstuvi (laboratorijas kārstuvi var aizstāt ar šķiedru maisītāju, kā arī šķiedras var samaisīt, izmantojot šķipsnu un atlikumu metodi). Iegūto kārsumu vai maisījumu (arī irdenās šķiedras un šķiedras, kas pielipušas lietotajai iekārtai) pakļauj iepriekšējai attīrīšanai. Raudzes atlasa proporcionāli no kārsuma vai maisījuma, no irdeno šķiedru un no lietotajai iekārtai pielipušo šķiedru masas. Ja kārsums pēc iepriekšējās attīrīšanas paliek neskarts, raudzes atlasa šā pielikuma 8.punktā minētajā kārtībā. Ja kārsums attīrot tiek deorientēts, katru raudzi atlasa, pēc nejaušības principa atdalot vismaz 16 aptuveni vienāda apjoma mazas šķipsnas un apvienojot tās raudzē.
8. Laboratorijas parauga daļām, kas vienlīdz varbūtiski (pēc nejaušības principa) atlasītas no orientētajām šķiedrām (kārstās šķiedras, kārsumi, lentes, priekšdzija), izgriež vismaz 10 šķērsizgriezumu gabalus, kuru masa ir aptuveni 1 g katram. Šādi atlasīto testēšanas paraugu pakļauj iepriekšējai attīrīšanai. Šķērsizgriezumus novieto vienu otram līdzās un sagriež tā, lai katra raudze saturētu devu no visiem 10 šķērsizgriezumiem.
III. Pavedienu paraugu atlase
9. Ja pavedieni ir uztinumos vai spoļrāmjos, rīkojas šādā secībā:
9.1. laboratorijas paraugu ņem no visiem uztinumiem;
9.2. no katra uztinuma ar tītavu (ja uztinumus var novietot uz piemērota spoļrāmja, visas šķeteres var tīt vienlaikus) notin vai kādā citādā veidā atlasa vienāda garuma šķeteres. Šķeteres vai pavedienu grīstes apvieno, novietojot vienu otrai līdzās, un izveido testēšanas paraugu, sekojot, lai no katra uztinuma paraugā nonāktu vienāda garuma šķeteres vai grīstes;
9.3. testēšanas paraugu pakļauj iepriekšējai attīrīšanai. No testēšanas parauga atlasa raudzes, izgriežot vienāda garuma pavedienu šķipsnu no šķeteres vai grīstes tā, lai šķipsnā būtu pārņemts visu parauga pavedienu neviendabīgums;
9.4. ja pavediena teksu apzīmē ar t un uztinumu skaitu, kas atlasīts no laboratorijas parauga, ar N, tad, lai iegūtu 10 g smagu testēšanas paraugu, pavediena garums, kas jānotin no katra uztinuma, ir 106/N.t cm;
9.5. ja N.t izrādās lielāks par 2000, tin smagāku šķeteri un pārgriež to divās vietās, lai veidotu grīsti ar nepieciešamo masu. Grīstes galus pirms iepriekšējās attīrīšanas rūpīgi nosien. Raudzes ņem no vietas, kas atrodas tālāk no sējuma.
10. Šķēru pavedieniem testēšanas paraugu ņem, nogriežot šķēru galus ne īsākus par 20 cm tā, lai paraugā būtu visi šķērējuma pavedieni, izņemot eģes pavedienus. Vienā galā pavedienu šķipsnu pārsien. Ja paraugs izrādās pārāk liels iepriekšējai attīrīšanai, to sadala divās vai vairākās daļās. Uz iepriekšējās attīrīšanas laiku katru no tām pārsien, un daļas atkal apvieno pēc tam, kad tās ir attīrītas atsevišķi. Raudzi nogriež no testēšanas parauga nesasietā gala tā, lai tā saturētu visus šķēru pavedienus. Šķēru pavedienu 1 g smagas raudzes garums ir 105/N.t cm, kur teksa t lineāri blīvo šķēru pavedienu skaits ir N.
IV. Drānas paraugu atlase
11. No laboratorijas parauga, kas ir viens atgriezums un kas pārņem drānas neviendabīgumu, izgriež diagonālu strēmeli no drānas gabala viena stūra līdz otram un nogriež eģes. Šī strēmele ir testēšanas paraugs. Lai iegūtu testēšanas paraugu ar masu x g, strēmeles laukumam jābūt 104 x/G cm2, kur G ir drānas virsmas īpatmasa g/m2.
12. Testēšanas paraugu pakļauj iepriekšējai attīrīšanai. Tad strēmeli sagriež šķērsām četros vienādos gabalos, kurus uzliek citu uz cita.
13. Raudzes izgriež no slāņojuma jebkuras vietas, bet no visiem slāņiem vienlaikus tā, lai katra raudze saturētu vienādu garumu no katra slāņa.
14. Austai drānai testēšanas parauga platums, kas mērīts paralēli šķēriem, nedrīkst būt mazāks par šķēru raportu. Ja šādi iegūts testēšanas paraugs ir pārāk liels, lai to apstrādātu kopumā, to sagriež vienādās daļās. Katru daļu atsevišķi pakļauj iepriekšējai attīrīšanai. Pirms raudžu atlases šīs daļas uzliek citu uz citas tā, lai auduma raksts nesakristu.
15. Laboratorijas paraugam, kas sastāv no vairākiem atgriezumiem, katru gabalu apstrādā atsevišķi saskaņā ar šā pielikuma 11., 12., 13. un 14.punktu un norāda katru rezultātu atsevišķi.
V. Paraugu atlase no gataviem izstrādājumiem
16. Laboratorijas paraugs parasti ir pabeigts gatavais izstrādājums vai tā raksturīga daļa.
17. Ja atsevišķām daļām, kas veido izstrādājumu, šķiedru sastāvs nav vienveidīgs, procentuālo sastāvu nosaka katrai daļai, lai pārbaudītu marķējuma atbilstību šo noteikumu 27.punktā minētajām prasībām.
18. Atlasa testēšanas paraugu, kas pārņem gatavā izstrādājuma neviendabīgumu un kura sastāvam jābūt norādītam etiķetes marķējumā. Ja izstrādājumam ir vairākas etiķetes, testēšanas paraugus, kas pārņem katra izstrādājuma daļas neviendabīgumu, atlasa atbilstoši konkrētajai etiķetei.
19. Ja izstrādājums, kam jānosaka sastāvs, nav vienveidīgs, testēšanas paraugus atlasa no katras izstrādājuma daļas un nosaka šo atšķirīgo daļu relatīvās proporcijas attiecībā pret visu izstrādājumu kopumā. Tad aprēķina procentuālo sastāvu, ņemot vērā paraugu daļu relatīvās proporcijas.
20. Testēšanas paraugu pakļauj iepriekšējai attīrīšanai. Tad atlasa raudzes, kas pārņem attīrītā testēšanas parauga neviendabīgumu.