
Rīgā 2009.gada 13.janvārī (prot. Nr.3 17.§)
2.1. apkurei un dzesēšanai nepieciešamā enerģija – aprēķinātā enerģija, kas apkures vai dzesēšanas sistēmai jāpiegādā vai jāizvada no kondicionētas telpas, lai uzturētu vēlamo temperatūru noteiktā laikposmā, neņemot vērā ēkas tehniskās sistēmas;
2.2. apkures vai dzesēšanas sezona – gada periods, kad apkures vai dzesēšanas vajadzībām tiek izmantots noteikts enerģijas daudzums;
2.3. ēkas aprēķinātās energoefektivitātes novērtējums – energoefektivitātes novērtējums, ko veic, pamatojoties uz aprēķiniem par enerģijas patēriņu ēkas apkures, dzesēšanas, ventilācijas, karstā ūdens sagatavošanas un apgaismojuma vajadzībām;
2.4. augstākā siltumspēja – siltuma daudzums, ko satur kurināmā daudzuma vienība, kad to pilnībā sadedzina. Kurināmā augstākās siltumspējas vērtības noteiktas šo noteikumu 1.pielikumā;
2.5. ēkas aprēķina modelis – matemātiskais ēkas modelis, ko izmanto enerģijas patēriņa aprēķiniem;
2.6. eksportētā enerģija – enerģija, izteikta energonesējos, kuru ēka piegādā caur sistēmas robežu un kas tiek izmantota aiz sistēmas robežas;
2.7. energonesējs – viela vai dabas parādība, ko izmanto siltuma ražošanai, kā arī mehāniskā darba, fizikālo vai ķīmisko procesu nodrošināšanai;
2.8. iekšējie siltumenerģijas zudumi un ieguvumi – siltumenerģija, ko ēkā rada ēkas iemītnieki (metaboliskais siltums) un ierīces, piemēram, apgaismojuma, mājsaimniecības ierīces, biroja iekārtas;
2.9. ēkas izmērītās energoefektivitātes novērtējums – energoefektivitātes novērtējums, kuru veic, pamatojoties uz piegādātās un eksportētās enerģijas izmērītajiem daudzumiem;
2.10. kondicionēta telpa – ēkas daļa, kas tiek apkurināta vai dzesēta;
2.11. kondicionēta zona – kondicionētas telpas ar noteiktu uzstādītu temperatūru, kuru kontrolē viena apkures sistēma, dzesēšanas sistēma vai ventilācijas sistēma;
2.12. oglekļa dioksīda (CO2) emisijas faktors – oglekļa dioksīda (CO2) daudzums, kas tiek izvadīts atmosfērā uz katru piegādātās enerģijas vienību. Oglekļa dioksīda (CO2) emisijas faktors ietver visas oglekļa dioksīda (CO2) emisijas, kas ir saistītas ar ēkas patērēto primāro enerģiju;
2.13. papildu enerģija – elektroenerģija, ko izmanto apkures, karstā ūdens apgādes, gaisa kondicionēšanas, ventilācijas un apgaismošanas sistēmās, lai saražotu un pārveidotu piegādāto enerģiju lietderīgā enerģijā, piemēram, ventilatoriem, sūkņiem, elektronikai. Enerģija, kas tiek saražota, nav papildu enerģija;
2.14. piegādātā enerģija – kopējā enerģija, izteikta energonesējos, kas ir piegādāta ēkas tehniskajām sistēmām caur sistēmas robežu, lai nodrošinātu nepieciešamo enerģiju (piemēram, apkurei, karstā ūdens apgādei, dzesēšanai, ventilācijai, apgaismojumam, ierīcēm) vai lai saražotu elektroenerģiju. Piegādāto enerģiju atbilstoši noteiktiem enerģijas izmantošanas veidiem var aprēķināt vai izmērīt;
2.15. siltumenerģijas ieguvumi – siltumenerģija, kura rodas kondicionētās telpas iekšpusē vai ir pievadīta tajā no cita siltuma avota un kura nav enerģija, ko izmanto apkurei, dzesēšanai vai centralizētai karstā ūdens sagatavošanai. Siltumenerģijas ieguvumi ietver iekšējos siltuma ieguvumus un saules siltuma ieguvumus;
2.16. sistēmas robeža – robeža, kas ietver visus ar ēku saistītos laukumus (ēkas iekšpusē un ārpusē), kur enerģija tiek patērēta vai saražota;
2.17. sistēmas siltumenerģijas zudumi – siltumenerģijas zudumi, ko rada ēkas tehniskā sistēma, kas nepiedalās sistēmas lietderīgajā atdevē. Sistēmas zudumi var kļūt par ēkas iekšējo siltumenerģijas ieguvumu, ja tie ir atgūstami. Siltumenerģija, kas atgūta sistēmā, nav siltumenerģijas zudumi, bet ir siltumenerģijas ieguvumi;
2.18. saules siltuma ieguvumi – siltumenerģija, ko dod saules starojums, ienākot ēkā caur logiem tieši vai netieši (pēc absorbēšanas ēkas elementos), caur necaurspīdīgām sienām un jumtiem vai pasīvām saules izmantošanas izbūvēm (piemēram, ziemas dārzi, caurspīdīga izolācija). Aktīvās saules izmantošanas ierīces (piemēram, saules kolektori) ir ēkas tehniskās sistēmas daļa;
2.19. telpas apkure – siltumenerģijas piegādes process, lai nodrošinātu termisko komfortu;
2.20. telpas dzesēšana – siltumenerģijas izvadīšanas process, lai nodrošinātu termisko komfortu.
3.1. apkure;
3.2. karstā ūdens apgāde;
3.3. gaisa kondicionēšana;
3.4. ventilācija;
3.5. apgaismošana.
| E = | tkop | Eper (1), | |
| tper |
kur:
E – koriģētais energonesēja daudzums (kg, m3 vai Wh);
Eper – energonesēja daudzums, kas ir patērēts energonesēja uzskaites periodā (kg, m3 vai Wh);
tkop – novērtējuma perioda ilgums (gads vai sezona);
tper – energonesēja uzskaites perioda ilgums (gadi vai sezonas).
| Ekop = | Qkop,apr | Enov (2), | |
| Qnov,apr |
kur:
Qkop,apr – gadam aprēķinātā nepieciešamā enerģija apkurei un dzesēšanai (Wh);
Qnov,apr – novērtējuma periodam aprēķinātā nepieciešamā enerģija apkurei un dzesēšanai (Wh);
Enov – energonesēja daudzums, kas izmantots apkurei un dzesēšanai novērtējuma periodā (kg, m3 vai Wh).
Qkop,apr = QApk,apr + QDz,apr(3),
kur:
QApk,apr = HK(T1 – T2)t – η(AsolEsol + Qieg) (4);
QDz,apr = (AsolEsol + Qieg) – ηHK(T1 – T2)t (5),
kur:
QApk,apr – nepieciešamā enerģija apkurei (Wh);
QDz,apr – nepieciešamā enerģija dzesēšanai (Wh);
HK – ēkas kopējais siltuma zudumu koeficients, kuru nosaka saskaņā ar šo noteikumu 120.punktu, (W/ oC);
t – novērtējuma periods, viena pilna apkures vai dzesēšanas sezona;
T1 – apkures vai dzesēšanas uzstādītā temperatūra vidēji ēkā (oC);
T2 – vidējā ārgaisa temperatūra aprēķina periodā (oC);
η – ieguvumu izmantošanas koeficients saskaņā ar LVS EN ISO 13790:2008 “Ēku energoefektivitāte. Telpu apsildīšanas un dzesēšanas energopatēriņa rēķināšana” (turpmāk – LVS EN ISO 13790:2008);
Asol – visas ēkas lietderīgais saules enerģiju savācošais laukums (m2);
Esol – saules starojums laika periodā t uz laukumu Asol (W/m2);
Qieg – visas ēkas iekšējie ieguvumi novērtējuma periodā (t, Wh).
| Q = Q1 | GDD1 | (6), | |
| GDD |
kur:
Q – koriģētais enerģijas patēriņš (Wh);
Q1 – enerģijas patēriņš novērtēšanas periodā (Wh);
GDD1 – normatīvais grādu dienu skaits, ko nosaka saskaņā ar šo noteikumu 33.punktu;
GDD – grādu dienu skaits novērtēšanas periodā, ko nosaka saskaņā ar šo noteikumu 33.punktu.
33.1. GDD(1) = Dnapk (t1 – t2) (7);
33.2. GDD = Dapk (t4 – t3) (8),
kur:
GDD1– normatīvais grādu dienu skaits;
GDD – grādu dienu skaits novērtēšanas periodā;
Dnapk – normatīvais apkures dienu skaits saskaņā ar LBN 003-01 “Būvklimatoloģija”;
Dapk – apkures dienu skaits novērtējuma periodā;
t1 – normatīvajos aktos noteiktā vai projektētā iekštelpu temperatūra (oC);
t2 – vidējā gaisa temperatūra saskaņā ar LBN 003-01 “Būvklimatoloģija” (oC);
t3 – ārgaisa temperatūra novērtēšanas periodā (oC);
t4 – iekštelpu temperatūra novērtēšanas periodā (oC).
34.1. apsekojot ēku;
34.2. izmantojot normatīvajos aktos un standartos noteiktos raksturlielumus;
34.3. no ēkas tehniskās dokumentācijas (piemēram, tehniskais projekts, inventarizācijas plāns).
35.1. siltuma pārvades un ventilācijas īpašības;
35.2. siltuma ieguvumi no iekšējiem siltuma resursiem, saules siltuma ieguvuma īpašības;
35.3. klimatoloģiskie rādītāji;
35.4. ēkas un ēkas komponentu, sistēmu un izmantošanas raksturojums;
35.5. komforta prasības – uzstādītās temperatūras un gaisa apmaiņas rādītāji.
36.1. ēkas sadalījums pa siltuma zonām (dažādām siltuma zonām var izmantot dažādas ēkas tehniskās sistēmas);
36.2. ēkas siltumenerģijas zudumu sadalījums vai atgūšana ēkā (iekšējie siltuma ieguvumi, ventilācijas siltumenerģijas siltuma atgūšana);
36.3. ventilācijas pieplūdes gaisa apmaiņas rādītāji un temperatūra, ja ēka centralizēti apkurināta vai dzesēta un apvienota enerģijas izmantošana gaisa cirkulācijai un apkurināšanai vai dzesēšanai.
37.1. kopējā nepieciešamā enerģija apkurei un dzesēšanai;
37.2. kopējais enerģijas patēriņš apkurei un dzesēšanai;
37.3. apkures un dzesēšanas sezonas ilgums (sistēmas darbības stundu skaits);
37.4. papildu enerģijas patēriņš apkures, dzesēšanas un ventilācijas sistēmām.
38.1. enerģijas bilancē ēkas līmenī;
38.2. enerģijas bilancē sistēmas līmenī.
39.1. izvēlas siltuma bilances aprēķina metodi saskaņā ar šo noteikumu 5.2.2.apakšnodaļu;
39.2. nosaka kopējās kondicionēto telpu un nekondicionēto telpu robežas saskaņā ar šo noteikumu 5.3.apakšnodaļu;
39.3. nosaka aprēķinu zonu robežas saskaņā ar šo noteikumu 5.3.apakšnodaļu;
39.4. definē aprēķinu nosacījumus iekštelpām, ārējos klimatiskos apstākļus un citus apkārtējās vides datus;
39.5. aprēķina ēkai un tās atsevišķām zonām nepieciešamo enerģijas daudzumu apkurei Qapk un enerģijas daudzumu dzesēšanai Qdz attiecīgajā periodā:
39.5.1. aprēķina siltuma zudumus ar siltuma pārvadi saskaņā ar šo noteikumu 5.5.apakšnodaļu;
39.5.2. aprēķina siltuma zudumus ar ventilāciju saskaņā ar šo noteikumu 5.6.apakšnodaļu;
39.5.3. aprēķina iekštelpu siltuma ieguvumus saskaņā ar šo noteikumu 5.7.apakšnodaļu;
39.5.4. aprēķina saules ieguvumus saskaņā ar šo noteikumu 5.8.apakšnodaļu;
39.5.5. aprēķina dinamiskos parametrus saskaņā ar šo noteikumu 5.9.apakšnodaļu;
39.6. aprēķina apkures un dzesēšanas sezonas ilgumu saskaņā ar šo noteikumu 5.4.1.apakšnodaļu.
40.1. pārvades siltuma plūsmu starp kondicionētu telpu un ārējo apkārtējo vidi, kas ir starpība starp uzstādīto temperatūru kondicionētā telpā un ārējo gaisa temperatūru;
40.2. pārvades un ventilācijas siltuma plūsmu starp blakus esošajām zonām, kas ir starpība starp uzstādīto temperatūru kondicionētā zonā un iekštelpu temperatūru blakus telpās;
40.3. dabiskās vai mehāniskās ventilācijas siltuma plūsmu, kas ir starpība starp uzstādīto temperatūru kondicionētā telpā un pieplūdes gaisa temperatūru;
40.4. iekšējos siltuma ieguvumus (iekļaujot arī negatīvos ieguvumus no siltuma zudumiem), piemēram, no cilvēkiem, iekārtām, apgaismojuma un siltuma plūsmas vai absorbcijas no ēkas tehniskajām sistēmām;
40.5. saules siltuma ieguvumus, kurus var iegūt tieši (piemēram, caur logiem) vai netieši (piemēram, ar absorbciju caur ēkas elementiem);
40.6. siltuma uzkrājumus ēkas tehniskajās sistēmās un atkarībā no siltuma inerces ēkā;
40.7. nepieciešamo enerģiju apkurei, ja ēkas tehniskās sistēmas piegādā siltumu, lai paaugstinātu iekštelpu temperatūru līdz pieprasītajam minimālajam līmenim (uzstādītā temperatūra apkurei);
40.8. nepieciešamo enerģiju dzesēšanai, ja ēkas dzesēšanas sistēmas aizvada siltumu, lai samazinātu iekštelpu temperatūru līdz pieprasītajam maksimālajam līmenim (uzstādītā temperatūra dzesēšanai).
42.1. vienmērīgā metode. Siltuma bilanci aprēķina pietiekami ilgā laikposmā – vienu mēnesi vai pilnu sezonu. Aprēķinā ignorē uzkrātā un aizvadītā siltuma daļu, bet ņem vērā dinamiskos efektus, empīriski nosakot ieguvumu un zudumu izmantošanas faktoru;
42.2. dinamiskā metode. To izmanto, lai siltuma bilanci aprēķinātu īsā laikposmā (piemēram, vienā stundā). Ņem vērā siltuma uzkrājumus un no ēkas aizvadīto siltuma daļu, kas atkarīga no ēkas siltuma inerces.
45.1. zudumu izmantošana – pārvades un ventilācijas siltuma zudumu aprēķinam ņem vērā, ka tikai daļa pārvades un ventilācijas siltuma zudumu tiek izmantota, samazinot dzesēšanas nepieciešamību. Neizmantotā pārvades un ventilācijas siltuma plūsma rodas laikposmos vai intervālos (piemēram, naktī), kad dzesēšana nav vajadzīga, bet tā var būt nepieciešama citos laikposmos vai intervālos (piemēram, dienā);
45.2. ieguvumu izmantošana – iekšējā un saules siltuma ieguvumu aprēķinam ņem vērā, ka tikai daļa iekšējā un saules siltuma ieguvumu kompensē siltuma pārvades un ventilācijas zudumus, pieņemot noteiktu maksimālo iekštelpas temperatūru. Neizmantotā siltuma daļa veicina dzesēšanas nepieciešamību, lai izvairītos no iekštelpas temperatūras paaugstināšanās virs uzstādītās temperatūras.
47.1. vienā zonā;
47.2. vairākās zonās (multizonu aprēķins), ņemot vērā siltuma plūsmu starp zonām;
47.3. vairākās zonās (multizonu aprēķins), neņemot vērā siltuma plūsmu starp zonām.
49.1. uzstādītā temperatūra apkurināmās telpās nav augstāka par 4 oC;
49.2. visas telpas (platības) netiek mehāniski dzesētas vai tiek mehāniski dzesētas un uzstādīto temperatūru starpība dzesēšanas telpās nepārsniedz 4 oC;
49.3. telpās izmanto vienādas apkures sistēmas (ja tādas ir) un vienādas dzesēšanas sistēmas (ja tādas ir);
49.4. ēkā vismaz 80 procentos kopējā grīdas laukuma izmanto vienādas ventilācijas sistēmas;
49.5. ēkā vismaz 80 procentos kopējā grīdas laukuma ventilācijas gaisa apmaiņas daudzums (m3) telpās uz grīdas laukumu (m2) un laika vienību neatšķiras vairāk kā par četrām vienībām.
| Tapk = | ∑ AaprTuzst,apk | (9), | |
| ∑ Aapr |
kur:
Tapk – uzstādītā temperatūra ēkas vai ēkas zonu apkurei (°C);
Tuzst,apk – uzstādītā temperatūra apkures platībai, nosaka saskaņā ar šo noteikumu 5.10.apakšnodaļu (°C);
Aapr – aprēķina platība, nosaka saskaņā ar šo noteikumu 5.3.5.apakšnodaļu (m2).
| Tdz = | ∑ AaprTuzst,dz | (10), | |
| ∑ Aapr |
kur:
Tdz – uzstādītā temperatūra ēkas vai ēkas zonu dzesēšanai (°C);
Tuzst,dz – uzstādītā temperatūra dzesēšanas platībai, nosaka saskaņā ar šo noteikumu 5.10.apakšnodaļu (°C);
Aapr – aprēķina platība, nosaka saskaņā ar šo noteikumu 5.3.5.apakšnodaļu (m2).
57.1. visu kondicionēto telpu platības;
57.2. nekondicionēto telpu platības, ja gaisa temperatūra tajās ziemā atšķiras no ārgaisa temperatūras vairāk nekā par 4 oC.
59.1. sezonas ilguma aprēķins;
59.2. nepieciešamās enerģijas aprēķins;
59.3. aprēķinu iespējamā atkārtošana, kas saistīta ar ēkas un sistēmu savstarpējo mijiedarbību vai papildu informācijas saņemšanu.
(11),
kur:
Lapk – faktiskais apkures sezonas ilgums (mēnešu skaits);
fapk,m – apkures sezonas daļa mēnesī.
(12),
kur:
Ldz – aktuālais dzesēšanas sezonas ilgums (mēnešu skaits);
fdz,m – dzesēšanas sezonas daļa mēnesī.
Qapk = Qapk,z – ηapk,ieg × Qapk,ieg (13),
kur (katrai ēkas zonai un katram mēnesim vai sezonai):
Qapk – ēkas apkurei nepieciešamā enerģija (Wh);
Qapk,z – kopējie siltuma zudumi apkures daļai, nosaka saskaņā ar šo noteikumu 68.punktu (Wh);
Qapk,ieg – kopējais siltuma ieguvums apkures daļai, nosaka saskaņā ar šo noteikumu 69.punktu (Wh);
ηapk,ieg – ieguvumu izmantošanas faktors, nosaka saskaņā ar šo noteikumu 5.9.2.apakšnodaļu.
Qdz = Qdz,ieg – ηdz,z × Qdz,z (14),
kur (katrai ēkas zonai un katram mēnesim vai sezonai):
Qdz – nepieciešamā enerģija ēkas dzesēšanai (Wh);
Qdz,z – kopējie siltuma zudumi dzesēšanas daļai, nosaka saskaņā ar šo noteikumu 68.punktu (Wh);
Qdz,ieg – kopējais siltuma ieguvums dzesēšanas daļai, nosaka saskaņā ar šo noteikumu 69.punktu (Wh);
ηdz,ieg – ieguvumu izmantošanas faktors, nosaka saskaņā ar šo noteikumu 5.9.2.apakšnodaļu.
68.1. apkurei QApk,z = Qpr + Qve (15);
68.2. dzesēšanai QDz,z = Qpr + Qve (16),
kur (katrai ēkas zonai un katram mēnesim vai sezonai):
QApk,z – kopējie siltuma zudumi apkurei (Wh);
QDz,z – kopējie siltuma zudumi dzesēšanai (Wh);
Qpr – kopējie siltuma zudumi ar pārvadi, nosaka saskaņā ar šo noteikumu 5.5.apakšnodaļu (Wh);
Qve – kopējie siltuma zudumi ar ventilāciju, nosaka saskaņā ar šo noteikumu 5.6.apakšnodaļu (Wh).
69.1. apkurei QApk,ieg = Qiek + Qsol (17);
69.2. dzesēšanai QDz,ieg = Qiek + Qsol (18),
kur (katrai ēkas zonai un katram mēnesim vai sezonai):
QApk,ieg – kopējie siltuma ieguvumi apkurei (Wh);
QDz,ieg – kopējie siltuma ieguvumi dzesēšanai (Wh);
Qiek – iekšējo siltuma ieguvumu summa aprēķina periodā, nosaka saskaņā ar šo noteikumu 5.7.apakšnodaļu (Wh);
Qsol – saules siltuma ieguvumu summa aprēķina periodā, nosaka saskaņā ar šo noteikumu 5.8.apakšnodaļu (Wh).
70.1. apkurei
70.2. dzesēšanai
kur (katrai ēkas zonai z un katram aprēķina periodam):
QApk,pr – kopējie siltuma pārvades zudumi apkurei (Wh);
QDz,pr – kopējie siltuma pārvades zudumi dzesēšanai (Wh);
HT,k – ēkas siltuma caurlaidības koeficients caur elementu k uz blakus platību, apkārtējo vidi vai zonu ar temperatūru T2,k, nosaka saskaņā ar šo noteikumu 71.punktu (W/oC);
T1,apk – ēkas vai ēkas daļu uzstādītā temperatūra apkurei, nosaka saskaņā ar šo noteikumu 5.10.apakšnodaļu (oC);
T1,dz – ēkas vai ēkas daļas uzstādītā temperatūra dzesēšanai, nosaka saskaņā ar šo noteikumu 5.10.apakšnodaļu (oC);
T2,k – blakus platības temperatūra elementam k apkārtējā vidē vai zonās, nosaka saskaņā ar šo noteikumu 72.punktu (oC);
t – aprēķina perioda ilgums, nosaka saskaņā ar šo noteikumu 3.pielikumu (h).
72.1. siltuma pārvadei uz apkārtējo vidi – temperatūras T2,k vērtība ir apkārtējās vides temperatūras vērtība;
72.2. siltuma pārvadei uz blakus esošajām nekondicionētajām zonām – temperatūras T2,k vērtība ir apkārtējās vides temperatūras vērtība;
72.3. siltuma pārvadei uz blakus esošo verandu – siltuma pārvades aprēķina procedūrai jābūt tādai pašai kā uz blakus esošajām nekondicionētajām telpām. Saules radiācijas ietekmi papildus saules ietekmes temperatūrai ņem vērā, aprēķinot saules siltuma ieguvumu;
72.4. aprēķinam ar savienotām zonām, siltuma pārvadei uz blakus esošajām kondicionētajām platībām – temperatūras T2,k vērtība ir blakus esošās platības temperatūras vērtība;
72.5. aprēķinam ar nesavienotām zonām – siltuma pārvade ar citām kondicionētajām zonām nav jāņem vērā;
72.6. siltuma pārvadei caur grunti – temperatūras T2,k vērtība ir ārgaisa apkārtējās vides temperatūras vērtība;
72.7. siltuma pārvadei uz blakus ēkām – temperatūras T2,k vērtība ir blakus ēkas iekštelpu temperatūra, pamatojoties uz blakus ēkas atbilstošiem datiem un izmantošanas veidu;
72.8. siltuma pārvadei termiskiem tiltiem – aprēķinus veic saskaņā ar LVS EN ISO 13790:2008.
73.1. apkurei
73.2. dzesēšanai
kur (katrai ēkas zonai z un katram aprēķina periodam):
QApk,ve – kopējā siltuma plūsma ar ventilāciju apkures sezonā (Wh);
QDz,ve – kopējā siltuma plūsma ar ventilāciju dzesēšanas sezonā (Wh);
ft – darbības laika daļa aprēķina periodā (pilns laiks ft = 1);
Hve,k – siltuma pārvades koeficients ar gaisa plūsmas ventilāciju, elementam k ieplūstot zonā ar piegādes temperatūru T2,pieg,k, nosaka saskaņā ar šo noteikumu 74.punktu (W/K);
T1,apk – ēkas vai ēkas zonas uzstādītā temperatūra apkurei, nosaka saskaņā ar šo noteikumu 5.10.apakšnodaļu (oC);
T1,dz – ēkas vai ēkas zonas uzstādītā temperatūra dzesēšanai, nosaka saskaņā ar šo noteikumu 5.10.apakšnodaļu (oC);
T2,pieg – elementa k gaisa plūsmas piegādes temperatūra, iekļaujot ēkas vai ēkas zonas ar ventilāciju vai infiltrāciju, nosaka saskaņā ar šo noteikumu 74.punktu (oC);
t – aprēķina perioda ilgums, nosaka saskaņā ar šo noteikumu 3.pielikumu (h).
74.1. ventilācijai, kurā iekļauta gaisa infiltrācija no ārpuses, piegādes temperatūras T2,pieg,k vērtība ir ārgaisa temperatūras vērtība;
74.2. ventilācijai, kurā iekļauta gaisa infiltrācija no blakus esošajām nekondicionētajām platībām vai verandām, piegādes temperatūras T2,pieg,k vērtība ir āra apkārtējās vides temperatūras vērtība. Saules radiācijas ietekmi papildus saules ietekmes temperatūrai ņem vērā, aprēķinot saules siltuma ieguvumu;
74.3. aprēķinos ar savienotajām zonām ventilācijai, kurā iekļauta gaisa infiltrācija no blakus esošajām kondicionētajām platībām, piegādes temperatūras T2,pieg,k vērtība ir blakus esošo platību temperatūras vērtība;
74.4. mehāniskai ventilācijai piegādes temperatūras T2,pieg,k vērtība ir gaisa piegādes temperatūras vērtība, gaisam izejot no centrālās gaisa pārvietošanas iekārtas un ieplūstot ēkā vai ēkas zonās, ko nosaka saskaņā ar attiecīgajiem standartiem LVS EN 15242:2007 un LVS EN 15241:2007;
74.5. ja izmanto centralizētu piesildīšanu vai piedzesēšanu un enerģijas izmantošana piesildīšanai vai piedzesēšanai ir aprēķināta atsevišķi, piegādes temperatūras vērtība ir temperatūra pēc centrālās piesildīšanas vai piedzesēšanas.
Hve,k = ρacaqve,k (23),
kur:
Hve,k – siltuma pārvades koeficients ar gaisa plūsmas ventilāciju, elementam k ieplūstot zonā ar piegādes temperatūru T2,pieg,k , nosaka saskaņā ar šo noteikumu 74.punktu (W/oC);
qve,k – gaisa plūsmas likme (norma) kondicionētajās platībās, nosaka saskaņā ar attiecīgajiem standartiem LVS EN 15241:2007 un LVS EN 15242:2007 (m3/s);
ρaca – gaisa siltumietilpība uz tilpumu = 0,34 (Wh/(m3xoC)).
78.1. metabolisko siltumu no iedzīvotājiem un izkliedēto siltumu no ierīcēm;
78.2. izkliedēto siltumu no apgaismošanas ierīcēm;
78.3. siltumu, kas izkliedēts no karstā ūdens sistēmas vai ko absorbē karstā ūdens sistēma;
78.4. siltumu, kas izkliedēts no gaisa kondicionēšanas un ventilācijas sistēmas vai ko absorbē apkures, gaisa kondicionēšanas un ventilācijas sistēmas;
78.5. siltums no procesiem un priekšmetiem vai uz tiem.
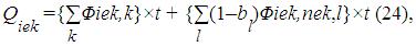
kur:
Qiek – iekšējo siltuma ieguvumu summa konkrētajā mēnesī vai sezonā (Wh);
bl – redukcijas koeficients blakus esošajai nekondicionētajai platībai ar iekšējo siltuma avotu l, nosaka saskaņā standartu LVS EN ISO 13790:2008;
Φiek,k – laikā vidējā siltuma plūsma no iekšējā siltuma avota k, nosaka saskaņā ar šo noteikumu 82.punktu (W);
Φiek,nek,l – laikā vidējā siltuma plūsma no iekšējā siltuma avota l blakus esošajai nekondicionētajai telpai, nosaka saskaņā ar šo noteikumu 82.punktu (W);
t – konkrētā mēneša vai sezonas ilgums, nosaka saskaņā ar šo noteikumu 3.pielikumu (h).
kur:
Φiek – iekšējo siltuma ieguvumu siltuma plūsmu summa (W);
bl – redukcijas koeficients blakus esošajai nekondicionētajai telpai ar iekšējo siltuma avotu l saskaņā ar LVS EN ISO 13790:2008;
Φiek,k – stundas siltuma plūsma no iekšējā siltuma avota k, nosaka saskaņā ar šo noteikumu 5.7.3.apakšnodaļu (W);
Φiek,nek,l – stundas siltuma plūsma no iekšējā siltuma avota l blakus esošajā nekondicionētajā telpā, nosaka saskaņā ar šo noteikumu 82.punktu (W).
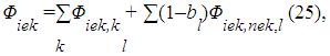
Φiek = Φiek,iedz + Φiek,ier + Φiek,apg + Φiek,ū + Φiek,ADzV + Φiek,Proc (26),
kur:
Φiek – siltuma plūsmu summa no iekšējiem siltuma avotiem Φiek.k vai Φiek.nek.l (W);
Φiek,iedz – siltuma plūsma no iedzīvotājiem, nosaka saskaņā ar šo noteikumu 84.punktu (W);
Φiek,ier – siltuma plūsma no ierīcēm, nosaka saskaņā ar šo noteikumu 85.punktu (W);
Φiek,apg – siltuma plūsma no apgaismojuma, nosaka saskaņā ar šo noteikumu 86.punktu (W);
Φiek,ū – siltuma plūsma no karstā ūdens sistēmas, nosaka saskaņā ar šo noteikumu 88.punktu (W);
Φiek,ADzV – siltuma plūsma no apkures, gaisa kondicionēšanas un ventilācijas sistēmām, nosaka saskaņā ar šo noteikumu 90.punktu (W);
Φiek,Proc – siltuma plūsma no procesiem un priekšmetiem, nosaka saskaņā ar šo noteikumu 94.punktu (W).
Φiek,iedz = fiedz qiedz Aapr (27),
kur:
fiedz – laiks, kad iedzīvotāji atrodas ēkā;
qiedz – īpatnējā siltuma atdeve no iedzīvotājiem uz aprēķināto ēkas platību, nosaka saskaņā ar šo noteikumu 4.pielikumu (W/m2);
Aapr – aprēķina platība, nosaka saskaņā ar šo noteikumu 5.3.5.apakšnodaļu (m2).
Φiek,ier = fier qier Aapr (28),
kur:
fiedz – laiks, kad ierīces darbojas;
qiedz – īpatnējā siltuma atdeve no ierīcēm uz aprēķināto ēkas platību, ko nosaka saskaņā šo noteikumu 4.pielikumu (W/m2);
Aapr – aprēķina platība, ko nosaka saskaņā ar šo noteikumu 5.3.5.apakšnodaļu (m2).
86.1. siltuma plūsmas vērtība no gaismekļiem, ko aprēķina kā patērētās enerģijas daļu apgaismošanas sistēmās. Patērētās enerģijas daļu, kas ir mazāka par 1, pieļauj, ja nosūces ventilācija siltumu aizvada tieši no gaismekļiem;
86.2. siltuma plūsmas vērtība no citiem apgaismojuma elementiem, piemēram, dekoratīvā apgaismojuma, speciālā apgaismojuma, ar procesiem saistītā apgaismojuma.
Φiek,ū = Φiek,ū,cirk + Φiek,ū,cita (29),
kur:
Φiek,ū – siltuma plūsma no karstā ūdens apgādes sistēmas (W);
Φiek,ū,cirk – siltuma plūsma no karstā ūdens cirkulācijas karstā ūdens apgādes sistēmās, nosaka saskaņā ar šo noteikumu 89.punktu (W);
Φiek,ū,cita – siltuma plūsma no karstā ūdens sistēmas (izņemot karstā ūdens cirkulāciju), nosaka saskaņā ar standartu LVS EN 15316-3-2:2008 “Ēku apsildes sistēmas. Sistēmu energoprasību un efektivitātes aprēķināšanas metodika. 3–2.daļa: Mājas karstā ūdens sistēmas: karstā ūdens sadale” (turpmāk – LVS EN 15316-3-2:2008) (W).
Φiek,ū,cirk = qiek,ū,cirk × Lū,cirk (30),
kur:
Φiek,ū,cirk – siltuma plūsma no pastāvīgās ūdens cirkulācijas karstā ūdens apgādes sistēmās (W);
qiek,ū,cirk – siltuma plūsma no karstā ūdens cirkulācijas sistēmas uz metru garuma, nosaka saskaņā ar standartu LVS EN 15316-3-2:2008 (W/m);
Lū,cirk – karstā ūdens apgādes sistēmas ūdens cirkulācijas cauruļu garums konkrētajā ēkas zonā (m).
Φiek,ADzV = Φiek,A + Φiek,Dz + Φiek,V (31),
kur:
Φiek,ADzV – siltuma plūsma no telpas apkures, gaisa kondicionēšanas un ventilācijas sistēmām (W);
Φiek,A – siltuma plūsma no telpas apkures sistēmām, nosaka saskaņā ar šo noteikumu 91.punktu (W);
Φiek,Dz – siltuma plūsma no telpas gaisa kondicionēšanas sistēmām, nosaka saskaņā ar šo noteikumu 92.punktu (W);
Φiek,V – siltuma plūsma no ventilācijas sistēmām, nosaka saskaņā ar šo noteikumu 93.punktu (W).
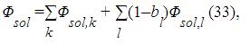
kur:
Qsol – saules siltuma ieguvumu summa konkrētajā mēnesī vai sezonā (Wh);
bl – redukcijas koeficients blakus esošajai nekondicionētajai telpai ar iekšējo siltuma avotu l, nosaka saskaņā ar standartu LVS EN ISO 13790:2008;
Φsol,k – vidējā siltuma plūsma no saules siltuma avota k konkrētajā mēnesī vai sezonā, nosaka saskaņā ar šo noteikumu 5.8.3.apakšnodaļu (W);
Φsol,l – vidējā siltuma plūsma no saules siltuma avota l uz blakus esošo nekondicionēto telpu konkrētajā mēnesī vai sezonā, nosaka saskaņā ar šo noteikumu 5.8.3.apakšnodaļu (W);
t – konkrētā mēneša vai sezonas ilgums stundās, nosaka saskaņā ar šo noteikumu 5.4.1.apakšnodaļu un 3.pielikumu.
kur:
Φsol – saules siltuma ieguvumu radīto siltuma plūsmu summa (W);
bl – redukcijas koeficients blakus esošajai nekondicionētajai telpai ar saules siltuma avotu l, nosaka saskaņā ar standartu LVS EN ISO 13790:2008;
Φsol,k – stundas siltuma plūsma no saules siltuma avota k, nosaka saskaņā ar šo noteikumu 5.8.3.apakšnodaļu (W);
Φsol,l – stundas siltuma plūsma no saules siltuma avota l blakus esošajā nekondicionētajā telpā, nosaka saskaņā ar šo noteikumu 5.8.3.apakšnodaļu (W).
Φsol,k = Fēn As,k Es,k (34),
kur:
Φsol,k – saules siltuma ieguvumi caur ēkas elementu k (W);
Fēn – ārējo šķēršļu apēnojuma redukcijas koeficients virsmas k saules efektīvajam savācošajam laukumam, nosaka saskaņā ar šo noteikumu 106., 107. un 109.punktu;
As,k – virsmas k (ar konkrētu orientāciju un slīpuma leņķi) efektīvais savācošais laukums attiecīgajā zonā, nosaka saskaņā ar šo noteikumu 102.punktu (stiklojumi) un 103.punktu (necaurspīdīgi ēkas elementi) (m2);
Es,k – aprēķina periodā saņemtais saules starojums uz savācošā virsmas laukuma kvadrātmetru (m2), nosaka saskaņā ar LBN 003-01 “Būvklimatoloģija” (W/m2).
As,k = Fēn,g gg(1 – FF)Al,p (35),
kur:
As,k – stiklotā elementa efektīvais savācošais laukums (m2);
Fēn,g – ēnojuma redukcijas koeficients ar pārvietojamības nosacījumiem, nosaka saskaņā ar šo noteikumu 104.punktu;
gg – kopējā elementa caurspīdīgās daļas saules enerģijas caurlaidība, nosaka saskaņā ar šo noteikumu 5.pielikumu (elementa caurspīdīgā daļa var sastāvēt no stiklojuma vai no pastāvīgiem saules gaismu izkliedējošiem vai aizēnojošiem slāņiem);
FF – rāmja laukuma daļa, projicētā rāmja laukuma attiecība pret kopējo stiklotā elementa projicēto laukumu, nosaka saskaņā ar šo noteikumu 110.punktu;
Al,p – vispārējais stiklotā elementa (piemēram, loga) projicētais laukums (m2).
As,k = aS,c Rse Uc Ac (36),
kur:
As,k – necaurspīdīgās daļas efektīvais savācošais laukums (m2);
asc – absorbcijas koeficients necaurspīdīgās daļas saules starojumam, ko nosaka saskaņā ar standartu LVS EN ISO 6946:2008 “Ēku būvkomponenti un būvelementi. Siltumpretestība un siltumapmaiņas koeficients. Aprēķināšanas metodika” (turpmāk – LVS EN ISO 6946:2008);
Rse – necaurspīdīgās daļas ārējās virsmas siltuma pretestība, nosaka saskaņā ar standartu LVS EN ISO 6946:2008 (m2 K/W);
Uc – necaurspīdīgās daļas termiskā caurlaidība, nosaka saskaņā ar standartu LVS EN ISO 6946:2008 (W/(m2xoC));
Ac – necaurspīdīgās daļas projicētais laukums (m2).
Fēn,g = [(1− fl,int )gēn + fl,intgl+ēn ] / gēn (37),
kur:
gēn – kopējā saules enerģijas caurplūde caur logu, ja netiek izmantots saules ēnojums, nosaka saskaņā ar šo noteikumu 5.pielikumu;
gl+ēn – kopējā saules enerģijas caurplūde caur logu, ja tiek izmantots saules ēnojums, nosaka saskaņā ar šo noteikumu 5.pielikumu;
fl,int – laika faktora vērtība, izmantojot saules ēnojumu, piemēram, kā saules radiācijas gadījuma intensitātes funkcija.
105.1. nav kontroles (iekļaujot logu g vērtības);
105.2. manuālā darbība;
105.3. motorizētā darbība;
105.4. automātiskā kontrole.
106.1. citām ēkām;
106.2. apkārtējās vides reljefu un apaugumu;
106.3. nojumēm, pārkarēm u.tml.;
106.4. tās pašas ēkas citiem elementiem;
106.5. sienu ārējām daļām, kur montēti stiklotie elementi.
| Fēn = | Es,ps,vid | (38), | |
| Es,vid |
kur:
Es,ps,vid – vidējais saules starojums, kas faktiski saņemts no ēnotās plaknes un uzkrāts no ārējiem apstākļiem apkures sezonas laikā (W/m2);
Es,vid – vidējais saules starojums no plaknes, kas uzkrāts bez ēnojuma (W/m2).
108.1. ir kavēta tiešā saules radiācija;
108.2. ir mainījusies grunts atstarošanās radiācija.
Fēn = Fh Fp Fl (39),
kur:
Fh – ēnojuma korekcijas faktora daļa horizonta ietekmei saskaņā ar šo noteikumu 6.pielikuma 1.tabulu;
Fp – ēnojuma korekcijas faktora daļa pārkares un nojumes ietekmei saskaņā ar šo noteikumu 6.pielikuma 2.tabulu;
Fl – ēnojuma korekcijas faktora daļa loga novietojuma ietekmei saskaņā ar šo noteikumu 6.pielikuma 3.tabulu.
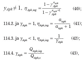
114.1. ja
kur (katram mēnesim vai sezonai un katrai ēkas zonai):
ηApk,ieg – ieguvumu izmantošanas faktors apkurei;
γApk – siltuma bilances koeficients apkures mezglam;
QApk,z – kopējie siltuma zudumi apkures daļai, nosaka saskaņā ar šo noteikumu 68.1.apakšpunktu (Wh);
QApk,ieg – kopējais siltuma ieguvums apkures daļai, nosaka saskaņā ar šo noteikumu 69.1.apakšpunktu (Wh);
aApk – skaitliskais parametrs atbilstoši laika konstantei τApk, nosaka, izmantojot šādu formulu:
| aapk = aapk,0 + | τapk | (44), | |
| τapk,0 |
kur:
aapk,0 – dimensijas norādes skaitliskais parametrs. Nepārtraukti apkurinātām (vairāk nekā 12 stundu diennaktī) ēkām, piemēram, daudzdzīvokļu ēkām, viesnīcām, mēneša aprēķinam aapk,0 = 1, sezonas aprēķinam aapk,0 = 0,8;
τapk – ēkas vai ēku zonas laika konstante, ko nosaka saskaņā ar šo noteikumu 119.punktu (h);
τapk,0 – norādītā laika konstante. Nepārtraukti apkurinātām (vairāk nekā 12 stundu diennaktī) ēkām, piemēram, daudzdzīvokļu ēkām, viesnīcām, mēneša aprēķinam τapk,0 = 15, sezonas aprēķinam τapk,0 = 30.
116.1. ja
kur (katram mēnesim vai sezonai un katrai ēkas zonai):
ηdz,z – siltuma zudumu izmantošanas faktors;
γdz – dzesēšanas daļas siltuma bilances daļa;
Qdz,z – dzesēšanas daļas kopējie siltuma zudumi ar pārvadi un ventilāciju, nosaka saskaņā ar šo noteikumu 68.2.apakšpunktu (Wh);
Qdz,z – dzesēšanas daļas kopējie siltuma ieguvumi, nosaka saskaņā ar šo noteikumu 69.2.apakšpunktu (Wh);
adz – skaitliskais parametrs atkarībā no laika konstantes τdz, nosaka, izmantojot šādu formulu:
| adz = adz,0 + | τdz | (49), | |
| τ dz,0 |
kur:
adz,0 – dimensiju norādītais skaitliskais parametrs. Nepārtraukti dzesētām (vairāk nekā 12 stundu diennaktī) ēkām, piemēram, viesnīcām, mēneša aprēķinam adz,0 = 1, sezonas aprēķinam adz,0 = 0,8;
τ dz – ēkas vai ēkas zonas laika konstante, ko nosaka saskaņā ar šo noteikumu 119.punktu (h);
τ dz,0 – norādītā laika konstante. Nepārtraukti dzesētām (vairāk nekā 12 stundu diennaktī) ēkām, piemēram, viesnīcām, mēneša aprēķinam τ dz,0 = 1, sezonas aprēķinam τ dz,0 = 0,8.
| τ = | Cm / 3600 | (50), | |
| HK |
kur:
τ – ēkas vai ēkas zonas laika konstante apkures τapk vai dzesēšanas τdz daļai (h);
Cm – koriģētā ēkas iekšējā siltuma jauda, aprēķina saskaņā ar šo noteikumu 121.punktu (W/oC);
HK – ēkas kopējais siltuma zudumu koeficients, aprēķina saskaņā ar šo noteikumu 120.punktu (W/oC).
HK = (HT + Hve) (51),
kur:
HT – ēkas siltuma caurlaidības koeficients, nosaka saskaņā ar standartu LBN 002-01 (W/oC);
Hve – ventilācijas siltuma pārvades koeficients, nosaka saskaņā ar standartu LVS EN 15242:2007 un standartu LVS 15241:2007 (W/oC).
Cm = ∑ Xj Aj (52),
kur:
Cm – koriģētā iekšējā siltuma kapacitāte (W/oC);
Xj – koriģētā iekšējā siltuma kapacitāte uz ēkas elementa j laukumu, nosaka saskaņā ar standartu LVS EN ISO 13786:2008 “Ēku būvkomponentu siltumtehniskās īpašības. Dinamiskie siltumtehniskie raksturlielumi. Aprēķināšanas metodika” (W/(m2xoC));
Aj – elementa j laukums (m2).
122.1. nepārtraukta apkure un (vai) dzesēšana konstantā uzstādītā temperatūrā;
122.2. nakts laika un (vai) nedēļas uzstādīta samazināta vai izslēgta temperatūra;
122.3. “brīvdienu” apkure vai dzesēšana (piemēram, laikposmi, kad telpās neuzturas cilvēki);
122.4. maksimālā apkures vai dzesēšanas slodze (laikposmi, kad izvēlas paaugstināt attiecīgos rādītājus).
126.1. vidējā telpas temperatūra ir izmantota aprēķiniem kā uzstādītā temperatūra:
126.1.1. uzstādītās temperatūras starpība starp pastāvīgu apkuri vai dzesēšanu un samazinātu apkuri vai dzesēšanu ir mazāka par 3 oC;
126.1.2. ēkas laika konstante, kas noteikta saskaņā ar šo noteikumu 119.punktu, ir 0,2 reizes mazāka samazinātas apkures periodā (apkurei) vai dzesēšanas periodā (dzesēšanai);
126.2. pastāvīgās apkures daļas uzstādīto temperatūru izmanto kā uzstādīto temperatūru aprēķiniem visiem periodiem, ja laika konstante, kas noteikta saskaņā ar šo noteikumu 119.punktu, ir trīs reizes lielāka samazinātas apkures periodā.
Qapk,n = asamz,H × Qapk,n,N + (1 – asamz,H) × Qapk,n,B (53),
kur:
Qapk,n – nepieciešamā enerģija apkurei, ņemot vērā pārtraukumus (Wh);
Qapk,n,N – nepieciešamā enerģija apkurei nepārtrauktā apkures periodā, pieņemot, ka uzstādītā temperatūra tiek kontrolēta visās mēneša dienās (Wh);
Qapk,n,B – nepieciešamā enerģija apkurei pārtraukuma laikā, pieņemot, ka uzstādītā temperatūra tiek kontrolēta visās mēneša dienās (Wh) (pārtraukuma periodā nepieciešamā enerģija apkurei Qapk,n,B ir nulle);
asamz,H – samazināšanas faktors apkures pārtraukuma laikā, nosaka saskaņā ar šo noteikumu 129.punktu;
asam,H = 1 – bsamz,H(τapk,0 / τ ) × γapk × (1 – fN,apk) (54)
(ar minimālu vērtību asamz,H = fN,apk un maksimālu vērtību asamz,H = 1),
kur:
asam,H – samazināšanas faktors apkurei ar pārtraukumiem;
fN,apk – stundu skaits nedēļā ar nepārtrauktu apkuri (uzstādītā temperatūra nav samazināta vai apkure nav izslēgta), piemēram, (5 x 14)/(7 x 24) = 0,42;
bsamz,apk – empīriskais korelācijas faktors (vērtība bsamz,H = 3);
τ – ēkas vai ēkas zonas laika konstante, nosaka saskaņā ar šo noteikumu 119.punktu (h);
τapk,0 – ieteicamā laika konstante apkures daļai, nosaka saskaņā ar šo noteikumu 5.9.2.apakšnodaļu (h);
γapk – siltuma bilances proporcija apkures daļai, nosaka saskaņā ar šo noteikumu 5.9.2.apakšnodaļu.
Qdz,n = asamz,C × Qdz,n,N + (1 – asamz,C) × Qdz,n,B (55),
kur:
Qdz,n – nepieciešamā enerģija dzesēšanai, ņemot vērā pārtraukumus (Wh);
Qdz,n,N – nepieciešamā enerģija dzesēšanai nepārtrauktā dzesēšanas periodā, pieņemot, ka uzstādītā temperatūra tiek kontrolēta visās mēneša dienās (Wh);
Qdz,n,B – nepieciešamā enerģija dzesēšanai pārtraukumu laikā, pieņemot, ka uzstādītā temperatūra tiek kontrolēta visās mēneša dienās (Wh) (pārtraukuma periodā, ja dzesēšanu neizmanto, QC,n,B ir nulle);
asamz,C – samazināšanas faktors dzesēšanai ar pārtraukumiem, nosaka saskaņā ar šo noteikumu 131.punktu.
asamz,C = 1 – bsamz,H(τdz,0 / τ) × γdz × (1 – fN,dz) (56)
(ar minimālu vērtību asamz,C = fdz,C un maksimālu vērtību asamz,C = 1),
kur:
asamz,C – samazināšanas faktors dzesēšanai ar pārtraukumiem;
fN,dz – dienu skaits nedēļā ar uzstādīto temperatūru dzesēšanai (temperatūra nav samazināta vai iekārta nav izslēgta), piemēram, 5/7;
bred,dz – empīriskais korelācijas faktors, tā vērtība ir 3;
τ – ēkas vai ēkas zonas laika konstante, nosaka saskaņā ar šo noteikumu 119.punktu (h);
τdz,0 – norādītā laika konstante dzesēšanas daļai, nosaka saskaņā ar šo noteikumu 5.9.3.apakšnodaļu (h);
γdz – siltuma bilances proporcija dzesēšanas daļai, nosaka saskaņā ar šo noteikumu 5.9.3.apakšnodaļu.
133. Apkurei un dzesēšanai nepieciešamo enerģiju “brīvdienu” periodā aprēķina šādā kārtībā (mēnešiem, kuros ietverti “brīvdienu” periodi, aprēķinus veic divas reizes):
133.1. nepārtrauktam periodam un “brīvdienu” periodam;
133.2. lineāri interpolē rezultātus neapdzīvotam periodam un apdzīvotam periodam saskaņā ar laika frakciju, izmantojot šādas formulas:
133.2.1. Qapk,n = fapk,N × Qapk,n,N + (1 – fapk,N) × Qapk,uzt (57);
133.2.2.Qdz,n = fdz,N × Qdz,n,N + (1 – fdz,N) × Qdz,uzt (58),
kur:
Qapk,n – nepieciešamā enerģija apkurei, ņemot vērā “brīvdienu” periodus (Wh);
Qdz,n – nepieciešamā enerģija dzesēšanai, ņemot vērā “brīvdienu” periodus (Wh);
Qapk,n,N – nepieciešamā enerģija apkurei nepārtrauktā apkures periodā, pieņemot, ka uzstādītā temperatūra tiek kontrolēta visās mēneša dienās (Wh);
Qdz,n,N – nepieciešamā enerģija dzesēšanai nepārtrauktā dzesēšanas periodā, pieņemot, ka uzstādītā temperatūra tiek kontrolēta visās mēneša dienās (Wh);
Qapk,n,uzt – nepieciešamā enerģija apkurei “brīvdienu” periodā, pieņemot, ka uzstādītā temperatūra tiek kontrolēta visās mēneša dienās (Wh);
Qdz,n,uzt – nepieciešamā enerģija dzesēšanai “brīvdienu” periodā, pieņemot, ka uzstādītā temperatūra tiek kontrolēta visās mēneša dienās (Wh);
fapk,N – dienu skaits ar nepārtrauktu apkuri attiecībā pret dienu skaitu mēnesī, piemēram, 10/31;
fdz,N – dienu skaits ar nepārtrauktu dzesēšanu attiecībā pret dienu skaitu mēnesī, piemēram, 10/31.
kur:
Qapk,n,kopa – kopējā nepieciešamā enerģija apkurei konkrētajā zonā (Wh);
Qapk,n,i – nepieciešamā enerģija apkurei konkrētajā zonā aprēķina periodā (stundā vai mēnesī), nosaka saskaņā ar šo noteikumu 5.4.2.apakšnodaļu (Wh);
Qdz,n,kopa – kopējā nepieciešamā enerģija konkrētajā zonā (Wh);
Qdz,n,j – nepieciešamā enerģija dzesēšanai konkrētajā zonā aprēķina periodā (stundā vai mēnesī), nosaka saskaņā ar šo noteikumu 5.4.2.apakšnodaļu (Wh).
kur:
Qapk,n,an,zs – kopējā nepieciešamā enerģija visu ēkas zonu zs apkures nodrošināšanai, izmantojot noteiktu sistēmu kombināciju (Wh);
Qapk,n,kopa,z – kopējā nepieciešamā enerģija ēkas zonas z apkures nodrošināšanai, izmantojot noteiktu sistēmu kombināciju, nosaka saskaņā ar šo noteikumu 5.11.1.apakšnodaļu (Wh);
Qdz,n,an,zs – kopējā nepieciešamā enerģija visu ēkas zonu zs dzesēšanas nodrošināšanai, izmantojot noteiktu sistēmu kombināciju (Wh);
Qdz,n,kopa,z – kopējā nepieciešamā enerģija ēkas zonas z dzesēšanas nodrošināšanai, izmantojot noteiktu sistēmu kombināciju, nosaka saskaņā ar šo noteikumu 5.11.1.apakšnodaļu (Wh).
138.1. kopējā sistēmu izmantotā enerģija Qapk,sist,iun Qdz,sist,i uz energonesēju i, kas iekļauj vai nodala palīgenerģijas izmantošanu (Wh);
138.2. apkurei nepieciešamās enerģijas summa Qapk,n,i, apkures sistēmu zudumi Qapk,sist,zud,i un apkures sistēmu palīgenerģija QH,sist,pal,i uz energonesēju i (Wh). Zudumi un palīgenerģija ietver enerģijas ražošanu, transportu, kontroli, sadali, uzglabāšanu un izplūdi (tāpat nosaka dzesēšanai: QDz,n,i, QDz,sist,i un QDz,sist,palīg,i);
138.3. sistēmas siltuma zudumus nosaka, ņemot vērā vispārējo sistēmas efektivitāti. Šādā gadījumā aprēķinu veic, izmantojot šādas formulas:
| 138.3.1. | Qapk,sist = | Qapk,n | (63); |
| ηapk,sist |
| 138.3.2. | Qdz,sist = | Qdz,n | (64), |
| ηdz,sist |
kur:
Qapk/dz,sist – enerģijas izmantošana apkures vai dzesēšanas sistēmās, iekļaujot sistēmas zudumus (Wh);
Qapk/dz,n – nepieciešamā enerģija apkurei un dzesēšanai, izmantojot noteiktu apkures sistēmu, nosaka saskaņā ar šo noteikumu 136.punktu (Wh);
ηapk/dz,sist – vispārējā sistēmas efektivitāte apkures vai dzesēšanas sistēmām, iekļaujot enerģijas ražošanu, elektroniku, transportu, uzglabāšanu, sadales un izplūdes zudumus, izņemot, ja tā noteikta kā papildu enerģija.
141.1. ventilatoriem;
141.2. siltuma atgūšanai no saldēšanas;
141.3. gaisa centralizētai sasildīšanai;
141.4. gaisa centralizētai dzesēšanai.
144.1. iegūst izmērītās energoefektivitātes rādītājus saskaņā ar šo noteikumu 4.nodaļu;
144.2. apkopo energoefektivitātes aprēķiniem nepieciešamos datus un rādītājus, piemēram, faktiskos klimatiskos datus, faktiskos iekštelpu apstākļus, ēkas apdzīvotības datus, apkures nevienmērības informāciju;
144.3. pārbauda energoefektivitātes rādītājus.
153.1. ēkās ar mehānisko ventilāciju gaisa temperatūru mēra izplūdes kanālā uz augšu pret gaisa plūsmas virzienu no ventilatora. Ventilējamās zonas vidējo temperatūru novērtē, kad izplūdes ventilators ir ieslēgts;
153.2. ēkās, kurās visas sistēmas tiek kontrolētas datorizēti un iekšējo temperatūru ieraksti tiek veikti vairākās vietās, mērījumus veic saskaņā ar standarta LVS EN 15232:2007 “Ēku energoefektivitāte. Ēku automātikas, regulācijas un pārvaldības ietekme” 5.8.paragrāfu;
153.3. ar nelielu viena kanāla datu reģistrētāju temperatūru mēra vai uzskaita dažās ēkai raksturīgākajās vietās sezonai raksturīgākajos apstākļos, tas ir, dienās, kuras raksturo mēneša vai sezonas meteoroloģisko apstākļu rādītājus;
153.4. izmanto uzstādītās temperatūras rādītājus, ja apkures vai dzesēšanas sistēmas kontrolē termostati un termostatu kalibrēšana ir pārbaudīta;
153.5. ar pirometriem vai manuāliem gaisa temperatūras mērītājiem gaisa temperatūru nosaka uzreiz vairākos mērījumu punktos.
154.1. gaisa apstrādes iekārtu gaisa plūsmas ātruma noteikšana;
154.2. gāzes šķīduma iezīmēšana saskaņā ar standartu LVS EN ISO 12569:2002 “Ēku siltumizolācija – Gaisa apmaiņas noteikšana ēkās – Iezīmētās gāzes izklīdināšanas metode”.
mCO2 = ∑(Epieg,i Kpieg,i ) – ∑(Eex,i Kex,i) (65),
kur:
mCO2 – oglekļa dioksīda (CO2) emitētā masa (kg);
Epieg,i – energonesējam piegādātā enerģija i (Wh);
Eex,i – no energonesēja eksportētā enerģija i (Wh);
Kpieg,i – oglekļa dioksīda (CO2) emisijas faktors enerģijas piegādātājam i (kg/Wh);
Kex,i – oglekļa dioksīda (CO2) emisijas faktors enerģijas eksportētājam i (kg/Wh).
Ekonomikas ministrs K.Gerhards
Ministru kabineta
2009.gada 13.janvāra noteikumiem Nr.39
|
Nr. |
Kurināmais |
Mērvienība |
Augstākā siltumspēja |
CO2 emisijas faktors |
|
1. |
Akmeņogles |
kg |
7,67 |
315 |
|
2. |
Biogāze |
m3 |
5,68 |
0 |
|
3. |
Dabasgāze |
m3 |
10,35 |
181 |
|
4. |
Degvieleļļa (mazuts) |
kg |
11,87 |
262 |
|
5. |
Dīzeļdegviela |
kg |
12,42 |
115 |
|
6. |
Frēzkūdra |
kg |
5,56 |
188 |
|
7. |
Koksne |
kg |
5,21 |
145 |
|
8. |
Salmi |
kg |
5,28 |
0 |
|
9. |
Sašķidrinātā dabas gāze |
kg |
13,73 |
207 |
|
10. |
Elektroenerģija |
– |
– |
90 |
Ministru kabineta
2009.gada 13.janvāra noteikumiem Nr.39
Ministru kabineta
2009.gada 13.janvāra noteikumiem Nr.39
|
Periods |
Dienu daudzums |
Stundu daudzums |
|
Janvāris |
31 |
744 |
|
Februāris |
28 |
672 |
|
Marts |
31 |
744 |
|
Aprīlis |
30 |
720 |
|
Maijs |
31 |
744 |
|
Jūnijs |
30 |
720 |
|
Jūlijs |
31 |
744 |
|
Augusts |
31 |
744 |
|
Septembris |
30 |
720 |
|
Oktobris |
31 |
744 |
|
Novembris |
30 |
720 |
|
Decembris |
31 |
744 |
|
Apkures sezona |
saskaņā ar noteikumu 5.4.1.apakšnodaļu |
dienas x 24 |
|
Dzesēšanas sezona |
saskaņā ar noteikumu 5.4.1.apakšnodaļu |
dienas x 24 |
Ministru kabineta
2009.gada 13.janvāra noteikumiem Nr.39
1. Iekšējie siltuma ieguvumi – siltuma plūsmas daļa no iedzīvotājiem un ierīcēm dzīvojamās ēkās.
1.tabula
|
Nr. |
Nedēļas |
Diennakts |
Dzīvojamā istaba + virtuve |
Citas kondicionētās platības (piemēram,
guļamistaba) |
|
1. |
Pirmdiena–piektdiena |
07.00–17.00 |
8,0 |
1,0 |
|
17.00–23.00 |
20,0 |
1,0 |
||
|
23.00–07.00 |
2,0 |
6,0 |
||
|
Vidēji |
9,0 |
2,67 |
||
|
2. |
Sestdiena un svētdiena |
07.00–17.00 |
8,0 |
2,0 |
|
17.00–23.00 |
20,0 |
4,0 |
||
|
23.00–07.00 |
2,0 |
6,0 |
||
|
Vidēji |
9,0 |
3,83 |
||
|
3. |
Vidēji |
9,0 |
3,0 |
2. Iekšējie siltuma ieguvumi – siltuma plūsmas daļa no iedzīvotājiem un ierīcēm biroja ēkās.
2.tabula
|
Nr. |
Nedēļas dienas |
Diennakts |
Biroja telpas (60 % no lietderīgās grīdas
platības) |
Citas telpas, piemēram, foajē, vestibils,
koridori (40 % no lietderīgās grīdas platības) |
|
1. |
Pirmdiena–piektdiena |
07.00–17.00 |
20,0 |
8,0 |
|
17.00–23.00 |
2,0 |
1,0 |
||
|
23.00–07.00 |
2,0 |
1,0 |
||
|
Vidēji |
9,50 |
3,92 |
||
|
2. |
Sestdiena un svētdiena |
07.00–17.00 |
2,0 |
1,0 |
|
17.00–23.00 |
2,0 |
1,0 |
||
|
23.00–07.00 |
2,0 |
1,0 |
||
|
Vidēji |
2,0 |
1,0 |
||
|
3. |
Vidēji |
7,4 |
3,1 |
3. Siltuma plūsmas daļa no iedzīvotājiem nedzīvojamās ēkās.
3.tabula
|
Nr. |
Lietderīgā platība uz personu |
Citas telpas, piemēram, foajē, vestibils,
koridori (40 % no grīdas lietderīgās platības) |
|
1. |
1,0 |
15 |
|
2. |
2,5 |
10 |
|
3. |
5,5 |
5 |
|
4. |
14 |
3 |
|
5. |
20 |
2 |
4. Siltuma plūsmas daļa no ierīcēm nedzīvojamās ēkās.
4.tabula
|
Nr. |
Ēkas izmantošanas veids |
Saražotais siltums iekārtas darbības
laikā |
Darbības laika daļa |
Vidējā siltuma plūsma no iekārtas |
|
1 |
2 |
3 |
4 |
5 |
|
1. |
Birojs |
15 |
0,20 |
3 |
|
2. |
Mācību iestāde |
5 |
0,15 |
1 |
|
Veselības aprūpes iestāde – klīnika |
8 |
0,50 |
4 |
|
|
3. |
Veselības aprūpes iestāde, kas nav klīnika |
15 |
0,20 |
3 |
|
4. |
Sabiedriskās ēdināšanas telpa |
10 |
0,25 |
3 |
|
5. |
Tirdzniecības telpa |
10 |
0,25 |
3 |
|
6. |
Publisku pasākumu telpa |
5 |
0,20 |
1 |
|
7. |
Viesnīca |
4 |
0,50 |
2 |
|
8. |
Labošanas iestāde |
4 |
0,50 |
2 |
|
9. |
Sporta iestāde |
4 |
0,25 |
1 |
Ministru kabineta
2009.gada 13.janvāra noteikumiem Nr.39
1. Saules enerģijas caurlaidības vērtības.
1.tabula
|
Nr. |
Stiklojuma veids |
Kopējā elementa caurspīdīgās daļas saules enerģijas caurlaidība gg |
|
1. |
Vienkāršs stikls |
0,85 |
|
2. |
Dubultais stiklojums |
0,75 |
|
3. |
Dubultais stiklojums ar selektīvo pārklājumu |
0,67 |
|
4. |
Trīskāršais stiklojums |
0,7 |
|
5. |
Trīskāršais stiklojums ar diviem selektīviem pārklājumiem |
0,5 |
|
6. |
Dubultais logs |
0,75 |
2. Caurspīdīgās daļas saules enerģijas caurlaidības vērtību ietekmē aizsegs (aizkari un žalūzijas), kas būtiski samazina saules enerģijas caurlaidību. 2.tabulā norādīti samazināšanas faktori dažiem aizsega veidiem. Aizsegu (aizkaru un žalūziju) ietekmes koeficienti jāreizina ar kopējā elementa caurspīdīgās daļas saules enerģijas caurlaidības vērtību.
2.tabula
|
Nr. |
Aizsega veids |
Aizsega optiskās īpašības |
Samazināšanas faktori ar |
||
|
absorbcija |
transmisija |
iekšējiem aizsegiem |
ārējiem aizsegiem |
||
|
1. |
Baltas paceļamas un nolaižamas žalūzijas |
0,1 |
0,05 0,1 0,3 |
0,25 0,30 0,45 |
0,10 0,15 0,35 |
|
2. |
Balti aizkari |
0,1 |
0,5 0,7 0,9 |
0,65 0,80 0,95 |
0,55 0,75 0,95 |
|
3. |
Krāsaini auduma aizkari |
0,3 |
0,1 0,3 0,5 |
0,42 0,57 0,77 |
0,17 0,37 0,57 |
|
4. |
Alumīnija pārklāja aizsegi |
0,2 |
0,05 |
0,20 |
0,08 |
Ministru kabineta
2009.gada 13.janvāra noteikumiem Nr.39
1. Ēnojuma korekcijas faktora daļa horizonta ietekmei.
1.tabula
|
Nr. |
Horizonta leņķis |
55o platuma grādos |
65o platuma grādos |
||||
|
dienvidi |
rietumi/austrumi |
ziemeļi |
dienvidi |
rietumi/austrumi |
ziemeļi |
||
|
1. |
0o |
1,00 |
1,00 |
1,00 |
1,00 |
1,00 |
1,00 |
|
2. |
10o |
0,94 |
0,92 |
0,99 |
0,86 |
0,89 |
0,97 |
|
3. |
20o |
0,68 |
0,75 |
0,95 |
0,58 |
0,68 |
0,93 |
|
4. |
30o |
0,49 |
0,62 |
0,92 |
0,41 |
0,54 |
0,89 |
|
5. |
40o |
0,40 |
0,56 |
0,89 |
0,29 |
0,49 |
0,85 |
2. Ēnojuma korekcijas faktora daļa pārkares un nojumes ietekmei.
2.tabula
|
Nr. |
Horizonta leņķis |
55o platuma grādos |
65o platuma grādos |
||||
|
dienvidi |
rietumi/austrumi |
ziemeļi |
dienvidi |
rietumi/austrumi |
ziemeļi |
||
|
1. |
0o |
1,00 |
1,00 |
1,00 |
1,00 |
1,00 |
1,00 |
|
2. |
30o |
0,93 |
0,91 |
0,91 |
0,95 |
0,92 |
0,90 |
|
3. |
45o |
0,80 |
0,79 |
0,80 |
0,85 |
0,81 |
0,80 |
|
4. |
60o |
0,60 |
0,61 |
0,65 |
0,66 |
0,65 |
0,66 |
3. Ēnojuma korekcijas faktora daļa loga novietojuma ietekmei.
3.tabula
|
Nr. |
Horizonta leņķis |
55o platuma grādos |
65o platuma grādos |
||||
|
dienvidi |
rietumi/austrumi |
ziemeļi |
dienvidi |
rietumi/austrumi |
ziemeļi |
||
|
1. |
0o |
1,00 |
1,00 |
1,00 |
1,00 |
1,00 |
1,00 |
|
2. |
30o |
0,94 |
0,91 |
0,99 |
0,94 |
0,90 |
0,98 |
|
3. |
45o |
0,86 |
0,83 |
0,99 |
0,85 |
0,82 |
0,98 |
|
4. |
60o |
0,74 |
0,75 |
0,99 |
0,73 |
0,73 |
0,98 |
Ministru kabineta
2009.gada 13.janvāra noteikumiem Nr.39
|
Nr. |
Ēku konstrukciju klasifikācija* |
HK (W/K) |
Cm (Wh/K) |
τ (h) |
|
1. |
Ļoti viegla |
9,2 Agr |
16,7 Agr |
1,8 |
|
2. |
Viegla |
9,2 Agr |
23,1 Agr |
2,5 |
|
3. |
Vidēja |
9,2 Agr |
34,4 Agr |
3,7 |
|
4. |
Smaga |
9,9 Agr |
54,2 Agr |
5,5 |
|
5. |
Ļoti smaga |
10,4 Agr |
77,2 Agr |
7,4 |
Piezīme.
* Saskaņā ar standartu LVS EN 13790:2008.