
Sabiedrisko pakalpojumu regulēšanas komisijas padomes lēmums Nr.56
Rīgā 2008.gada 27.februārī (prot. Nr.8, 5.p.)
Par dabasgāzes diferencēto tirdzniecības tarifu un mazuta faktisko kotāciju
Sabiedrisko pakalpojumu regulēšanas komisija (turpmāk – Komisija) 2008.gada 25.janvārī ir saņēmusi akciju sabiedrības “Latvijas Gāze”, vienotais reģistrācijas numurs: 40003000642, juridiskā adrese: Aristida Briāna iela 6, Rīga, LV–1001 (turpmāk – AS “Latvijas Gāze”) 2007.gada 24.janvāra vēstuli Nr.01-7-3/296 “Par mazuta kotācijas aprēķināšanu piemērojamo dabasgāzes tirdzniecības gala tarifu noteikšanai”.
Ņemot vērā Komisijas rīcībā esošo informāciju, Komisija konstatē:
1. Likuma “Par sabiedrisko pakalpojumu regulatoriem” mērķis ir nodrošināt iespēju saņemt nepārtrauktus, drošus un kvalitatīvus sabiedriskos pakalpojumus, kuru tarifi (cenas) atbilst ekonomiski pamatotām izmaksām (1.pants). Tarifi nosakāmi tādā apmērā, lai lietotāju izdarītie tarifu maksājumi segtu sabiedrisko pakalpojumu izmaksas un nodrošinātu sabiedrisko pakalpojumu rentabilitāti atbilstoši licences nosacījumiem tās termiņā, ja nozares speciālie likumi neparedz citus tarifu noteikšanas principus. Ja mainās rentabilitāti ietekmējošie faktori, regulators var ierosināt tarifu pārskatīšanu (20.pants).
2. Komisija 2005.gada 30.novembrī ar lēmumu Nr.287 ir apstiprinājusi Dabasgāzes tirdzniecības tarifu aprēķināšanas metodiku (turpmāk – Metodika). Metodika paredz, ka:
2.1. nosakot bāzes tarifu, regulators veic peļņas un izmaksu analīzi un novērtēšanu (9.punkts);
2.2. saskaņā ar Metodikas 6.nodaļas “Tirdzniecības gala tarifu noteikšana” vidējo dabasgāzes iepirkuma cenu aprēķina pēc formulas C vid d g iep = Iiept / Qiep , kur
Cvid d g iep – vidējā prognozējamā dabasgāzes iepirkuma cena [Ls/tūkst.n.m3];
Iiep t – dabasgāzes kopējas iepirkšanas izmaksas n gadā [Ls];
Iiep t = ( Clīg.t x qfakt t /qnorm )xQiep x Lt + Iapm t
Clīg t – līgumā noteiktā dabasgāzes iepirkšanas cenas prognoze n gadā [USD/tūkst.n.m3];
qfakt t – prognozētā dabasgāzes faktiskā zemākā siltumspēja n gadā [kcal/n.m3];
qnorm – iepirkšanas līgumā noteiktā dabasgāzes normatīvā zemākā siltumspēja [kcal/n.m3];
Lt – prognozētais Latvijas Bankas viena Amerikas Savienoto Valstu dolāra kurss n gadā;
Iapm t – dabasgāzes iepirkšanas priekšapmaksas papildu izmaksas (kreditēšana) [Ls].
3. Metodika nosaka, ka, apstiprinot diferencētos gala tarifus, Komisija nosaka, kā piemērot mazuta faktisko vidējo kotāciju pārskata periodā (66.1 punkts).
4. 2007.gada 28.martā Komisija pieņēma lēmumu Nr.83 “Par AS “Latvijas Gāze” dabasgāzes apgādes tarifiem”, ar kuru apstiprināja dabasgāzes diferencētos tirdzniecības gala tarifus lietotājiem atkarībā no dabasgāzes patēriņa apjoma gadā, mazuta kotācijas grupām biržā (FOB ARA) un pie siltumspējas 7900 kilokalorijas uz normālu dabasgāzes kubikmetru (lēmuma lemjošās daļas 7.punkts). Minētā lēmuma 11.punkts noteica, kā piemērot mazuta faktisko vidējo kotāciju pārskata periodā.
5. Izanalizējot situāciju dabasgāzes apgādes tirgū un AS “Latvijas Gāze” sniegto informāciju, 2007.gada 23.novembrī Komisija pieņēma lēmumu Nr.555 “Par dabasgāzes diferencēto tirdzniecības tarifu un mazuta faktisko kotāciju”, ar kuru atcēla Komisijas 2007.gada 28.marta lēmuma Nr.83 “Par AS “Latvijas Gāze” dabasgāzes apgādes tarifiem (publicēts 2007.gada 30.marta laikrakstā “Latvijas Vēstnesis” 54(3630)) lemjošās daļas 11.punktu un noteica, ka:
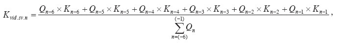
AS “Latvijas Gāze” faktisko mazuta vidējo svērto kotāciju kārtējam mēnesim nosaka saskaņā ar šādu formulu:
,
kur
Kvid.sv.n – n mēnesī piemērojamā iepriekšējo sešu kalendāro mēnešu vidējā svērtā mazuta kotācija USD/t;
Qn-6...n-1 – faktiskais dabasgāzes iepirkuma apjoms n-6 līdz n-1 mēnesī, tūkst.m3;
Kn-6...n-1 – faktiskā sešu mēnešu vidējā mazuta kotācija n-6 līdz n-1 mēnesī, USD/t.
6. AS “Latvijas Gāze” 2008.gada 24.janvāra vēstulē Nr.01-7-3/296 informē Komisiju par to, ka 2007.gada nogalē ir strauji pieaugušas mazuta ar 1% sēra saturu un gazolīna cenas. Tā kā dabasgāzes iepirkuma cena ir atkarīga no šīm cenām, 2008.gada aprīlī, uzsākot dabasgāzes iesūknēšanu pazemes krātuvē, komersantam radīsies būtiski zaudējumi, ja arī 2008.gada aprīlī dabasgāzes tirdzniecības cenas noteikšanai pielietos Komisijas 2007.gada 23.novembra lēmumā Nr.555 noteikto mazuta kotācijas piemērošanas kārtību, tā kā iesūknēšanas sezonas laikā tehniski ir neiespējami izmantot dabasgāzes krātuvē esošos dabasgāzes atlikumus un tirdzniecībā nonāks no dabasgāzes vada par daudz augstāku cenu iepirktā dabasgāze. Pamatojoties uz to, AS “Latvijas Gāze” lūdz Komisiju noteikt iepriekšējo mazuta kotācijas pielietošanas kārtību, kāda tā bija noteikta pirms 2007.gada 23.novembra Komisijas pieņemtā lēmuma Nr.555 “Par dabasgāzes diferencēto tirdzniecības tarifu un mazuta faktisko kotāciju”.
7. Administratīvā procesa likuma 85.panta pirmā daļa paredz, ka adresātam nelabvēlīgu tiesisku administratīvo aktu var atcelt jebkurā brīdī, izņemot gadījumu, kad saskaņā ar tiesību normām šāda paša satura administratīvais akts tūlīt būtu jāizdod no jauna.
8. A/S “Latvijas Gāze” pārstāvji Komisijas 2008.gada 27.februāra padomes sēdē uzsvēra, ka mazuta kotācijas piemērošanas kārtības nemainīšanas gadījumā AS “Latvijas Gāze” zaudējumi 2008. gada aprīlī atbilstoši dabasgāzes patēriņa prognozēm sasniegs līdz pat ***1 milj.LVL, maijā – *** milj.LVL, jūnijā – *** milj.LVL. Zaudējumu rašanās ir saistīta ar vidējās svērtās mazuta kotācijas piemērošanu aprīlī, kad tiek pārtraukta dabasgāzes izņemšana no krātuves un lietotāju apgādei tā, saskaņā ar jauno piegādes līgumu, jāiepērk atbilstoši faktiskajai iepriekšējo sešu mēnešu mazuta (kas 2008.gada janvārī bija 436,28 USD par tonnu un februārī tiek prognozēts 450 USD par tonnu apmērā) un gazolīna vidējai kotācijai, bet jāpiemēro gala tarifi, kas noteikti atbilstoši mazuta kotācijai 330 USD par tonnu. Lēmuma pieņemšanas gadījumā AS “Latvijas Gāze” zaudējumi aprīlī samazinātos par apmēram *** milj.LVL, taču dabasgāzes pārdošana joprojām nestu zaudējumus, jo spēkā esošie dabasgāzes gala tarifi neparedz mazuta kotāciju virs 400 USD par tonnu.
Ņemot vērā Komisijas rīcībā esošo informāciju, Komisija secina:
1. Komisijas rīcībā esošā informācija un no AS “Latvijas Gāze” saņemtās ziņas (2007.gada 24.janvāra vēstuli Nr.01-7-3/296 “Par mazuta kotācijas aprēķināšanu piemērojamo dabasgāzes tirdzniecības gala tarifu noteikšanu”) ir pietiekamas un dod pamatu, lai Komisija varētu pieņemt lēmumu par mazuta faktiskās vidējās kotācijas pārskata periodā piemērošanas kārtības maiņu saskaņā ar Metodikas 66.1 punktu.
2. Situācija dabasgāzes apgādes tirgū kopš 2007.gada 23.novembrī Komisijas pieņemtā lēmuma Nr.555 “Par dabasgāzes diferencēto tirdzniecības tarifu un mazuta faktisko kotāciju” ir būtiski mainījusies sakarā ar strauji kāpjošajām mazuta ar 1% sēra saturu un gazolīna cenām pasaules tirgū, par ko liecina šo naftas produktu vidējās tirgus cenas Amsterdamas, Roterdamas un Antverpenes reģiona ostās (publicē informācijas aģentūra “Platt’s”). Atbilstoši Komisija 2007.gada 23.novembra lēmuma Nr.555 “Par dabasgāzes diferencēto tirdzniecības tarifu un mazuta faktisko kotāciju” 2.punktā noteiktajai mazuta kotācijas pielietošanas kārtībai, sākot ar 2008.gada aprīli komersanta dabasgāzes iepirkšanas izdevumi lietotāju apgādei ar dabasgāzi ievērojami pārsniegs no dabasgāzes tirdzniecības gūstamos ieņēmumus, jo jāpārtrauc iepriekšējā sezonā par zemāku cenu iepirktās dabasgāzes izņemšana no pazemes gāzes krātuves un tirdzniecībai paredzētā dabasgāze jāiepērk no piegādātājiem, norēķinoties par piegādēm pārdošanas mēnesī atbilstoši faktiskajām iepriekšējo sešu mēnešu vidējām mazuta un gazolīna kotācijām.
3. Saskaņā ar Administratīvā procesa likuma 65.panta trešo daļu, ja piemērojamā tiesību normā noteikts, ka administratīvais akts izdodams, bet nav noteikts tā konkrētais saturs (satura izvēles administratīvais akts), iestāde izdod šo aktu, ievērojot piemērojamā tiesību normā noteiktos ietvarus, un šajos ietvaros, pamatodamās uz lietderības apsvērumiem, nosaka administratīvā akta saturu. No minētā iziet, ka, ievērojot Metodikas 66.1 punktā noteiktos ietvarus un pamatodamās uz lietderības apsvērumiem, Komisija var noteikt administratīvā akta saturu daļā, kas attiecas uz veidu, kā piemērot mazuta faktisko vidējo kotāciju pārskata periodā. Komisija vērtē administratīvā akta lietderību, analizējot AS “Latvijas Gāze” tiesību aizskārumu un sabiedrības interešu ieguvumu. Administratīvā procesa likuma 85.panta pirmā daļa paredz, ka adresātam nelabvēlīgu tiesisku administratīvo aktu var atcelt jebkurā brīdī, izņemot gadījumu, kad saskaņā ar tiesību normām šāda paša satura administratīvais akts tūlīt būtu jāizdod no jauna. Līdz ar to, izanalizējot situāciju dabasgāzes apgādes tirgū un izvērtējot lietderības apstākļus, Komisijai ir pamats atcelt 2007.gada 23.novembrī pieņemto lēmumu Nr.555 “Par dabasgāzes diferencēto tirdzniecības tarifu un mazuta faktisko kotāciju”.
Saskaņā ar 2005.gada 30.novembra Komisijas lēmumu Nr.287 apstiprinātās Dabasgāzes tirdzniecības tarifu aprēķināšanas metodikas 66.1 punktu un pamatojoties uz likuma “Par sabiedrisko pakalpojumu regulatoriem” 1., 7.panta pirmo daļu, 9.panta pirmās daļas 1. un 3.punktu, otro daļu, 20.pantu un 21.panta septīto daļu, Administratīvā procesa likuma 13.pantu un 85.panta pirmo daļu,
padome nolemj:
1. Atcelt Komisijas 2007.gada 23.novembrī pieņemto lēmumu Nr.555 “Par dabasgāzes diferencēto tirdzniecības tarifu un mazuta faktisko kotāciju”.
2. Uzdot AS “Latvijas Gāze” savlaicīgi informēt lietotājus par mazuta faktisko sešu mēnešu vidējo kotāciju un tai atbilstošajiem tarifiem norēķinos par dabasgāzi:
2.1. lietotājus ar dabasgāzes gada patēriņu līdz 500 n.m3 un no 500 līdz 25 000 n.m3 – reizi pusgadā attiecīgi līdz pusgada pēdējā mēneša 10.datumam;
2.2. pārējos lietotājus – reizi mēnesī līdz mēneša 10.datumam par iepriekšējo sešu mēnešu mazuta faktisko vidējo kotāciju esošajam mēnesim un prognozēto sešu mēnešu vidējo kotāciju nākošajam mēnesim.
3. Noteikt, ka šī lēmuma 1.un 2.punkts stājas spēkā 2008.gada 1.aprīlī.
Lēmums stājas spēkā ar tā pieņemšanas brīdi.
Šo lēmumu var pārsūdzēt Administratīvajā rajona tiesā viena mēneša laikā no dienas, kad ieinteresētā persona uzzina vai tai vajadzēja uzzināt par pieņemto lēmumu.
1*** – Ierobežotas pieejamības informācija.
Sabiedrisko pakalpojumu regulēšanas komisijas padomes priekšsēdētāja p.i. G.Zeltiņš