
Ministru kabineta noteikumi: Šajā laidienā 15 Pēdējās nedēļas laikā 33 Visi
Ministru kabineta noteikumi Nr. 239
Rīgā 2022. gada 19. aprīlī (prot. Nr. 22 2. §)
Grozījumi Ministru kabineta 2010. gada 21. decembra noteikumos Nr. 1159 "Kārtība, kādā piešķir un izmaksā izdienas pensijas Korupcijas novēršanas un apkarošanas biroja amatpersonām"
Izdoti saskaņā ar Korupcijas novēršanas un
apkarošanas biroja amatpersonu izdienas pensiju likuma
4. panta pirmo daļu un 8. panta sesto daļu
Izdarīt Ministru kabineta 2010. gada 21. decembra noteikumos Nr. 1159 "Kārtība, kādā piešķir un izmaksā izdienas pensijas Korupcijas novēršanas un apkarošanas biroja amatpersonām" (Latvijas Vēstnesis, 2010, 204. nr.; 2013, 148. nr.) šādus grozījumus:
1. Izteikt noteikumu nosaukumu šādā redakcijā:
"Kārtība, kādā piešķir, aprēķina un izmaksā izdienas pensijas Korupcijas novēršanas un apkarošanas biroja amatpersonām".
2. Izteikt tiesību akta izdošanas pamatojuma norādi šādā redakcijā:
"Izdoti saskaņā ar Korupcijas novēršanas un apkarošanas biroja amatpersonu izdienas pensiju likuma 4. panta pirmo daļu un 8. panta sesto daļu".
3. Papildināt ar 7.1 punktu šādā redakcijā:
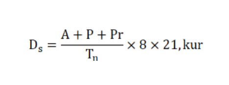
"7.1 Vidējo mēneša darba samaksu izdienas pensijas piešķiršanai aprēķina, izmantojot šādu formulu:
Ds – vidējā mēneša darba samaksa;
A – aprēķinātā mēnešalgas kopsumma par pēdējiem 60 mēnešiem (sākot ar pēdējo darba dienu);
P – aprēķinātā atlīdzību regulējošajos normatīvajos aktos noteikto piemaksu kopsumma par pēdējiem 60 mēnešiem (sākot ar pēdējo darba dienu);
Pr – aprēķinātā prēmiju un naudas balvu kopsumma par pēdējiem 60 mēnešiem (sākot ar pēdējo darba dienu);
Tn – faktiski nostrādātais laiks (stundās) pēdējos 60 mēnešos (sākot ar pēdējo darba dienu);
8 – normālais darba laiks (stundās);
21 – vidējais darba dienu skaits mēnesī."
4. Papildināt ar 7.2 punktu šādā redakcijā:
"7.2 Šo noteikumu 7.1 punktā minētajā faktiski nostrādātajā laikā neieskaita laiku, kad izdienas pensijas pieprasītājs atradies dienestā, neieņemot noteiktu amatu, ir bijis atvaļinājumā, nav pildījis amata pienākumus pārejošas darbnespējas dēļ, Valsts un pašvaldību institūciju amatpersonu un darbinieku atlīdzības likuma 3. panta ceturtajā daļā un 26. panta pirmajā daļā minētajos gadījumos, Darba likuma 74. panta pirmajā un otrajā daļā minētajos gadījumos, kā arī citos ārējos normatīvajos aktos noteiktajos attaisnotas prombūtnes gadījumos."
5. Papildināt ar 7.3 punktu šādā redakcijā:
"7.3 Vidējās mēneša darba samaksas aprēķinā neieskaita samaksāto slimības naudu, samaksu par atvaļinājumu, samaksāto atlīdzību Valsts un pašvaldību institūciju amatpersonu un darbinieku atlīdzības likuma 3. panta ceturtajā daļā (izņemot 5. punktā noteikto naudas balvu) un 26. panta pirmajā daļā minētajos gadījumos, Darba likuma 74. panta pirmajā un otrajā daļā minētajos gadījumos un citos ārējos normatīvajos aktos noteiktajos attaisnotas prombūtnes gadījumos, kā arī izmaksas, kas veiktas par iepriekšējiem laika periodiem."
Ministru prezidents A. K. Kariņš
Ministru prezidenta vietā -
labklājības ministrs G. Eglītis