
Jūrmalas pilsētas domes saistošie noteikumi: Šajā laidienā 2 Pēdējās nedēļas laikā 2 Visi
Jūrmalas pilsētas domes saistošie noteikumi Nr.23
Jūrmalā 2017.gada 19.jūnijā (prot. Nr.12, 1.p.)
Grozījumi Jūrmalas pilsētas domes 2010.gada 4.februāra saistošajos noteikumos Nr.6 "Jūrmalas pilsētas pašvaldības nolikums"
Izdoti saskaņā ar likuma "Par pašvaldībām"
21.panta pirmās daļas 1.punktu un 24.pantu
1. Izdarīt Jūrmalas pilsētas domes 2010.gada 4.februāra saistošajos noteikumos Nr.6 "Jūrmalas pilsētas pašvaldības nolikums" šādus grozījumus:
1.1. Izteikt 9.punktu šādā redakcijā:
"9. Dome ievēlē no deputātu vidus Domes priekšsēdētāju, Domes priekšsēdētāja vietniekus un pastāvīgo komiteju personāla sastāvu."
1.2. Izteikt 10.1.apakšpunktu šādā redakcijā:
"10.1. Dome izveido šādas pastāvīgās komitejas ar skaitlisko sastāvu:
10.1.1. finanšu komiteja 7 locekļu sastāvā;
10.1.2. pilsētsaimniecības un drošības komiteja 5 locekļu sastāvā;
10.1.3. sociālo, veselības un integrācijas jautājumu komiteja 5 locekļu sastāvā;
10.1.4. jaunatnes un sporta jautājumu komiteja 5 locekļu sastāvā;
10.1.5. attīstības un vides jautājumu komiteja 5 locekļu sastāvā;
10.1.6. tūrisma un kurortoloģijas komiteja 5 locekļu sastāvā;
10.1.7. izglītības un kultūras jautājumu komiteja 5 locekļu sastāvā;
10.1.8. transporta un mājokļu jautājumu komiteja 5 locekļu sastāvā."
1.3. Izteikt 11.punktu šādā redakcijā:
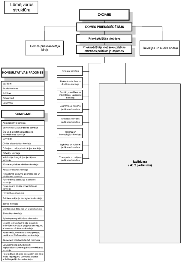
"11. Domes darbību nodrošina Domes priekšsēdētājs, Domes priekšsēdētāja vietnieks, Domes priekšsēdētāja vietnieks pilsētas attīstības politikas jautājumos, Domes izpilddirektors, Domes izpilddirektora vietnieks, pastāvīgo komiteju priekšsēdētāji, kā arī Pašvaldības administrācijas darbinieki atbilstoši Pašvaldības pārvaldes struktūrai saskaņā ar šo noteikumu pielikumu."
1.4. Izteikt 19.punktu šādā redakcijā:
"19. Domes priekšsēdētājs, Domes priekšsēdētāja vietnieks, Domes priekšsēdētāja vietnieks pilsētas attīstības politikas jautājumos, pastāvīgo komiteju priekšsēdētāji un citas vēlētas pašvaldības amatpersonas, kā arī izpilddirektors un izpilddirektors vietnieks un citi pašvaldības administrācijas darbinieki saņem atlīdzību par savu pienākumu pildīšanu Domes noteiktajā kārtībā."
1.5. Izteikt III. nodaļas nosaukumu šādā redakcijā:
"III. DOMES PRIEKŠSĒDĒTĀJA, PRIEKŠSĒDĒTĀJA VIETNIEKU, IZPILDDIREKTORA UN IZPILDDIREKTORA VIETNIEKA PILNVARAS"
1.6. Izteikt 21.6.apakšpunktu šādā redakcijā:
"21.6. dod saistošus rīkojumus priekšsēdētāja vietniekiem un pašvaldības administrācijas darbiniekiem un iestādēm;".
1.7. Izteikt 23.2 punktu šādā redakcijā:
"23.2 Domes priekšsēdētājam ir divi vietnieki:
23.21. Domes priekšsēdētāja vietnieks;
23.22. Domes priekšsēdētāja vietnieks pilsētas attīstības politikas jautājumos."
1.8. Papildināt ar 23.3 punktu šādā redakcijā:
"23.3 Domes priekšsēdētāja vietnieks pilda Domes priekšsēdētāja pienākumus viņa prombūtnes laikā vai viņa uzdevumā, kā arī pilda citus pienākumus likumā paredzētajā gadījumā."
1.9. Papildināt ar 23.4 punktu šādā redakcijā:
"23.4 Domes priekšsēdētāja vietnieks pilsētas attīstības politikas jautājumos:
23.4 1. pilda pienākumus Domes priekšsēdētāja uzdevumā, kā arī pilda citus pienākums likumā paredzētajos gadījumos;
23.4 2. pārrauga un koordinē pilsētas attīstības politikas jautājumus;
23.4.3. pilda citus ar domes lēmumiem noteiktos un šajā nolikumā paredzētos uzdevumus."
1.10. Izteikt 29.punktu šādā redakcijā:
"29. Domes izpilddirektora pienākumus viņa prombūtnes laikā veic Domes izpilddirektora vietnieks."
1.11. Papildināt ar 29.1 punktu šādā redakcijā:
"29.1 Domes izpilddirektora vietnieks veic pienākumus saskaņā ar pašvaldības nolikumu, Domes lēmumiem, Domes priekšsēdētāja, Domes priekšsēdētāja vietnieku un izpilddirektora rīkojumiem."
1.12. Izteikt 36.punktu šādā redakcijā:
"36. Pilsētsaimniecības un drošības komiteja izskata jautājumus un lēmuma projektus, kas saistīti ar pilsētsaimniecību un drošības īstenošanu Jūrmalas pilsētā un sniedz atzinumus par tiem."
1.13. Izteikt 37.1 punktu šādā redakcijā:
"37.1 Tūrisma un kurortoloģijas komiteja izskata jautājumus un lēmumu projektus par tūrisma un kurortoloģijas infrastruktūru Jūrmalas pilsētā un sniedz atzinumus par tiem."
1.14. Svītrot 37.6 punktu.
1.15. Papildināt ar 37.8 punktu šādā redakcijā:
"37.8 Transporta un mājokļu jautājumu komiteja izskata jautājumus un lēmuma projektus, kas saistīti ar Jūrmalas pilsētas transportu un mājokļa jautājumiem un sniedz atzinumus par tiem."
1.16. Izteikt 62.5.apakšpunktu šādā redakcijā:
"62.5. ar priekšsēdētāja vietnieku."
1.17. Izteikt 87.punktu šādā redakcijā:
"87. Domes sēdi vada domes priekšsēdētājs. Viņa prombūtnes laikā priekšsēdētāja vietnieks vai priekšsēdētāja vietnieks pilsētas attīstības politikas jautājumos."
1.18. Izteikt 134.punktu šādā redakcijā:
"134. Izpilddirektors un izpilddirektora vietnieks pieņem apmeklētājus ne retāk kā vienu reizi mēnesī. Nodaļu un pārvalžu vadītāji pieņem apmeklētājus ne retāk kā vienu reizi nedēļā. Pieņemšanas laikus nosaka ar domes priekšsēdētāja rīkojumu."
1.19. Izteikt 1.pielikumu jaunā redakcijā (1.pielikums).
1.20. Izteikt 2.pielikumu jaunā redakcijā (2.pielikums).
2. Saistošie noteikumi stājas spēkā nākamajā dienā pēc to parakstīšanas.
Jūrmalas pilsētas domes priekšsēdētājs G.Truksnis
1.pielikums
Jūrmalas pilsētas domes 2017.gada 19.jūnija
saistošajiem noteikumiem Nr.23 (prot. Nr.12, 1.p.)
2.pielikums
Jūrmalas pilsētas domes 2017.gada 19.jūnija
saistošajiem noteikumiem Nr.23 (prot. Nr.12, 1.p.)
Paskaidrojuma raksts
Jūrmalas pilsētas domes 2017.gada 19.jūnija saistošajiem noteikumiem Nr.23
"Grozījumi Jūrmalas pilsētas domes 2010.gada 4.februāra saistošajos noteikumos
Nr.6 "Jūrmalas pilsētas pašvaldības nolikums""
|
Paskaidrojuma raksta sadaļas |
Norādāmā informācija |
| 1. Īss projekta satura izklāsts | Atbilstoši likuma "Par pašvaldībām" 24.panta pirmajai daļai pašvaldības nolikums ir saistošie noteikumi, kas nosaka pašvaldības pārvaldes organizāciju, lēmumu pieņemšanas kārtību, iedzīvotāju tiesības un pienākumus vietējā pārvaldē, kā arī citus pašvaldības darba organizācijas jautājumus. |
| 2. Projekta nepieciešamības pamatojums | 1. Atbilstoši Jūrmalas pilsētas attīstības
stratēģijai 2010.–2030.gadam (apstiprināta ar Jūrmalas pilsētas domes
2010.gada 16.decembra lēmumu Nr.825 "Par Jūrmalas pilsētas attīstības
stratēģijas 2010.–2030.gadam apstiprināšanu") ir noteikta Jūrmalas
pilsētas attīstības vīzija, stratēģiskie mērķi, ilgtermiņa attīstības
prioritātes, pasākumu kopums un attīstības perspektīvas. Lai sekmīgi realizētu Jūrmalas pilsētas pašvaldībai uzstādītos mērķus un īstenotu attīstības pasākumus uzņēmējdarbības veicināšanai, pilsētas ekonomikas veidošanai, konkurētspējas celšanai un kvalitatīvas dzīves vides nodrošināšanai pašvaldības iedzīvotājiem, pēc 2017.gada pašvaldības vēlēšanās jaunās lēmējvaras ievēlēšanas, ar saistošo noteikumu grozījumiem tiek izveidots domes priekšsēdētāja vietnieka pilsētas attīstības politikas jautājumos amats un pašvaldības izpilddirektora vietnieka amats, kuru pienākumi ir saistīti ar pašvaldības attīstības jautājumiem. Tāpat tiek precizēta pastāvīgo komiteju kompetence. 2. Lai panāktu efektīvu pašvaldības lēmējvaras un izpildvaras aktuālo jautājumu izskatīšanu un komiteju kompetenču sadalījumu, pašvaldības nolikumā tiek precizēta lēmējvaras un izpildvaras struktūrshēma. |
| 3. Informācija par plānoto projekta ietekmi uz pašvaldības budžetu | Saistošo noteikumu projekta īstenošanas nodrošināšanai ir nepieciešami grozījumi pašvaldības atlīdzības fonda ietvaros. |
| 4. Informācija par plānoto projekta ietekmi uz uzņēmējdarbības vidi pašvaldības teritorijā | Nav attiecināms. |
| 5. Informācija par administratīvajām procedūrām | Līdzšinējās administratīvās procedūras netiek mainītas. |
| 6. Informācija par konsultācijām ar privātpersonām | Saistošo noteikumu izstrādē nav nepieciešama konsultēšanās ar privātpersonām, jo tie neierobežo sabiedrības intereses. |
Jūrmalas pilsētas domes priekšsēdētājs G.Truksnis