
Latvijas Bankas noteikumi: Šajā laidienā 4 Pēdējās nedēļas laikā 0 Visi
Latvijas Bankas noteikumi Nr.133
Rīgā 2014.gada 16.maijā
Monetāro finanšu iestāžu procentu likmju pārskatu sagatavošanas noteikumi
Izdoti saskaņā ar likuma "Par Latvijas Banku"
39. panta otro daļu
I. Vispārīgie jautājumi
1. Noteikumi nosaka, kuras monetārās finanšu iestādes un kādā kārtībā sagatavo un iesniedz Latvijas Bankai procentu likmju pārskatus (tālāk tekstā – pārskats), kā arī pārskatu iesniegšanas termiņus.
2. Noteikumos lietoti šādi termini:
2.1. kopējā faktiskā gada izmaksu procentu likme – gada likme, kas izlīdzina to maksājumu (kredītu, kredītu pieteikumu izskatīšanas izmaksu, kredītu administrēšanas izmaksu, komisijas maksas u.c.) tagadnes un nākotnes vērtību, kuri izriet no līguma nosacījumiem, monetārajai finanšu iestādei vienojoties ar klientu (annual percentage rate of charge);
2.2. nolīgtā gada procentu likme – starp monetāro finanšu iestādi un klientu noslēgtā līgumā noteiktā procentu likme, kura aprēķināta uz gada 365 dienu bāzes un kotēta procentos gadā un kura neiekļauj komisijas maksu, administratīvos izdevumus u.c. ar kredītu un noguldījumu apkalpošanu saistītus izdevumus (annualised agreed rate);
2.3. procentu likmes darbības sākotnējais periods – līgumā noteiktais laika periods no kredīta izsniegšanas brīža līdz procentu likmes pārmaiņu datumam. Šis periods var būt īsāks par sākotnējo termiņu vai vienāds ar to;
2.4. šauri definētā faktiskā procentu likme – procentu likme, kas izlīdzina tādu maksājumu (noguldījumu vai kredītu, maksājumu vai atmaksu, procentu maksājumu) tagadnes un nākotnes vērtību, kuri nav komisijas un citas maksas un kuri izriet no līguma nosacījumiem, monetārajai finanšu iestādei vienojoties ar klientu (narrowly defined effective rate);
2.5. atjaunojamais kredīts – kredīts (revolving loan), kam ir šādas pazīmes:
2.5.1. klients var bez iepriekšējas paziņošanas monetārajai finanšu iestādei izmantot vai izņemt no konta līdzekļus līdz iepriekš noteiktam kredītlimitam;
2.5.2. pieejamā kredīta summa var palielināties vai samazināties, līdzekļus aizņemoties vai atmaksājot;
2.5.3. kredītu var izmantot atkārtoti;
2.5.4. nav pienākuma regulāri atmaksāt aizņemtos līdzekļus;
2.6. pārsnieguma kredīts – norēķinu konta debeta atlikums (overdraft);
2.7. kredīts mājokļa iegādei – kredīts, kas izsniegts mājsaimniecībām mājas, dzīvokļa vai zemes iegādei, būvniecībai vai rekonstrukcijai, t.sk. hipotēku kredīti un kredīti mājas vai dzīvokļa uzlabošanai, kuru izmantošana uzlabo mājas vai dzīvokļa ekonomiskos rādītājus;
2.8. norēķinu kartes divu posmu kredīts – kredīts, kas izsniegts mājsaimniecībai vai nefinanšu sabiedrībai, izmantojot atliktā maksājuma debetkarti vai kredītkarti, kurai ir divi kredītu izsniegšanas posmi – bezprocentu kredīts un procentu kredīts;
2.9. norēķinu kartes bezprocentu kredīts – kredīts, ko monetārā finanšu iestāde izsniedz mājsaimniecībai vai nefinanšu sabiedrībai kā kartes turētājai ar 0% likmi no dienas, kad norēķinu cikla laikā tiek veikts maksājums ar karti, līdz dienai, kad jānorēķinās par šā norēķinu cikla debeta atlikumu (convenience credit);
2.10. norēķinu kartes procentu kredīts – kredīts, kas seko norēķinu kartes bezprocentu kredītam (extended credit), t.i., debeta atlikums kartes kontā, par kuru nav veikts norēķins, kad tas bija iespējams pirmo reizi, un par kuru tiek aprēķināta procentu likme vai vairāklīmeņu procentu likme, kas parasti ir lielāka par 0%, un par kuru klientam jāmaksā obligātie mēneša maksājumi, lai vismaz daļēji atmaksātu norēķinu kartes procentu kredītu;
2.11. noguldījumi ar brīdinājuma termiņu par izņemšanu – naudas līdzekļi, kuri noguldīti monetārajā finanšu iestādē, nenosakot termiņu, un kurus iespējams izņemt, vai nu iepriekš brīdinot monetāro finanšu iestādi atbilstoši līgumā noteiktajam brīdinājuma termiņam, vai arī samaksājot tai nozīmīgu soda naudu (piemēram, krājnoguldījumi);
2.12. noguldījumi uz nakti – noguldījumi, kas konvertējami naudā un/vai pārvedami pēc pieprasījuma ar čeku, bankas rīkojumu, debeta ierakstu vai tamlīdzīgi bez būtiskas kavēšanās, ierobežojumiem vai soda naudas. Šādi noguldījumi ietver arī:
2.12.1. atlikumus (kas pelna vai nepelna procentus), kas pārvēršami naudā tūlīt pēc pieprasījuma vai līdz pieprasījuma dienai sekojošās darbadienas beigām bez nozīmīgas soda naudas vai ierobežojumiem, bet kas nav pārvedami;
2.12.2. atlikumus (kas pelna vai nepelna procentus), ko veido iepriekš samaksātās summas saistībā ar elektronisko naudu elektroniskajā informācijas nesējā vai uz programmatūras bāzes (piemēram, priekšapmaksas kartes);
2.12.3. kredītus, kas atmaksājami nākamajā darbadienā pēc kredīta piešķiršanas dienas;
2.13. patēriņa kredīts – kredīts, kas izsniegts mājsaimniecībām tādu patēriņa preču (piemēram, sadzīves tehnikas un automobiļu) iegādei un pakalpojumu (piemēram, medicīniskās aprūpes un ceļojumu) samaksai, kuru nolūks nav saistīts ar peļņas gūšanu;
2.14. pārējie kredīti – kredīti, kas nav izsniegti patēriņam vai mājokļa iegādei, piemēram, kredīti komercdarbībai, izglītībai;
2.15. pārskatītie kredīti – kredīti, kuru līgumi pārskatīti pēc mājsaimniecības vai nefinanšu sabiedrības aktīvas darbības, kas vērsta uz vienošanos par jauniem līguma noteikumiem, t.sk. par procentu likmi;
2.16. pārskatītie noguldījumi – noguldījumi, kuru līgumi pārskatīti pēc mājsaimniecības vai nefinanšu sabiedrības aktīvas darbības, kas vērsta uz vienošanos par jauniem līguma noteikumiem, t.sk. par procentu likmi;
2.17. repo darījums – vērtspapīru pārdošana par noteiktu cenu ar nosacījumu atpirkt tos pašus vai līdzīgus vērtspapīrus par noteiktu cenu darījuma termiņa beigās;
2.18. sākotnējais termiņš – periods no darījuma sākuma datuma līdz nolīgtajam darījuma beigu datumam. Sākotnējo termiņu attiecina uz kredītiem;
2.19. noteiktais termiņš – periods no darījuma sākuma datuma līdz nolīgtajam darījuma beigu datumam. Noteikto termiņu attiecina uz noguldījumiem;
2.20. atlikušais termiņš – periods no pārskata perioda beigu datuma līdz nolīgtajam darījuma beigu datumam;
2.21. sliktais kredīts – kredīts, kura procentu vai pamatsummas (vai tās daļas) kavējuma periods pārsniedz 90 dienas vai kuram konstatēts daļējs vai pilnīgs vērtības samazinājums saskaņā ar Eiropas Parlamenta un Padomes Regulas (ES) Nr. 575/2013 178. pantā minēto saistību neizpildes definīciju;
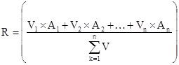
2.22. mājsaimniecība:
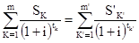
2.22.1. fiziskā persona vai fizisko personu grupa kā patērētājs un tikai pašu galapatēriņam domātu preču ražotājs un nefinanšu pakalpojumu sniedzējs;
2.22.2. pašnodarbinātā persona, kas strādā savā profesionālajā praksē vai zemnieku (zvejnieku) saimniecībā ar mērķi gūt ienākumus vai labumus, nenodarbina nevienu citu personu un nav ierakstīta Latvijas Republikas Uzņēmumu reģistra komercreģistrā;
2.22.3. mājsaimniecības apkalpojoša bezpeļņas organizācija – atsevišķa juridiska vienība, kas nodrošina preces un pakalpojumus fiziskajām personām vai fizisko personu grupām un kas resursus gūst galvenokārt no brīvprātīgām iemaksām naudā vai natūrā, piemēram, arodbiedrības, profesionālās vai izglītības apvienības, patērētāju asociācijas, politiskās partijas, baznīcas, reliģiskās kopienas, kā arī kultūras, atpūtas un sporta klubi, žēlsirdības, atbalsta un palīdzības organizācijas;
2.23. monetārā finanšu iestāde (tālāk tekstā – MFI) – centrālā banka, kredītiestāde, krājaizdevu sabiedrība, naudas tirgus fonds un cita finanšu sabiedrība, kas pieņem noguldījumus vai tuvus noguldījumu aizstājējus no klientiem, kuri nav MFI, uz sava rēķina piešķir kredītus un veic ieguldījumus vērtspapīros, kā arī elektroniskās naudas iestāde, kuras pamatdarbība ir elektroniskās naudas emisija;
2.24. nefinanšu sabiedrība – institucionāla vienība, kuras pamatdarbība ir preču ražošana un nefinanšu pakalpojumu sniegšana, t.sk. Latvijas Republikas Uzņēmumu reģistra komercreģistrā reģistrēts individuālais komersants.
3. Citu terminu lietojums atbilst Latvijas Bankas noteikumos, kas nosaka monetāro finanšu iestāžu "Mēneša bilances pārskata" sagatavošanas un iesniegšanas kārtību, sniegtajam šo terminu skaidrojumam.
4. Pārskatos sniegtā informācija nepieciešama procentu likmju statistikas sagatavošanai atbilstoši Eiropas Savienības, t.sk. Eiropas Centrālās bankas, tiesību aktu prasībām, lai nodrošinātu Eiropas Centrālās bankas monetārās politikas īstenošanu un makroekonomisko prognozēšanu un informētu citas institūcijas un sabiedrību par procentu likmēm Latvijas Republikā.
5. Pārskatos sniegto informāciju Latvijas Banka var nodot likuma "Par Latvijas Banku" 40. panta otrajā daļā minētajām iestādēm, ievērojot minētajā likumā noteiktās prasības.
6. Noteikumi attiecas uz šādām MFI:
6.1. Latvijas Republikā reģistrētām kredītiestādēm un citās valstīs reģistrētu kredītiestāžu filiālēm, kuras reģistrētas Latvijas Republikā (tālāk tekstā – kredītiestāde);
6.2. Latvijas Republikā reģistrētām krājaizdevu sabiedrībām (tālāk tekstā – krājaizdevu sabiedrība), kuru kredītu atlikumu kopsumma ir lielāka par 250 000 euro.
II. Procentu likmju pārskatu sagatavošanas un iesniegšanas kārtība un iesniegšanas termiņi
7. MFI sagatavo un iesniedz Latvijas Bankai šādus pārskatus:
7.1. "Jauno darījumu procentu likmju pārskats" (1. pielikums);
7.2. "Jauno darījumu procentu likmju pārmaiņu pārskats" (2. pielikums);
7.3. "Darījumu atlikumu procentu likmju pārskats" (3. pielikums).
8. MFI pārskatus sagatavo un iesniedz pēc pārskata mēneša beigām Latvijas Bankai šādos termiņos:
8.1. kredītiestādes – sešu darbadienu laikā pēc pārskata mēneša beigām;
8.2. krājaizdevu sabiedrības – ''Jauno darījumu procentu likmju pārskatu'' un "Jauno darījumu procentu likmju pārmaiņu pārskatu" par martu, jūniju, septembri un decembri un ''Darījumu atlikumu procentu likmju pārskatu'' par stāvokli 31. martā, 30. jūnijā, 30. septembrī un 31. decembrī – četru darbadienu laikā pēc pārskata mēneša beigām.
9. Pārskatus iesniedz elektroniskā veidā saskaņā ar Latvijas Bankas noteikumiem, kas regulē elektronisko informācijas apmaiņu ar Latvijas Banku.
10. Pārskatos ievēro rādītāju dalījumu attiecībā uz rezidentiem un nerezidentiem. Attiecībā uz nerezidentiem pārskatos ievēro dalījumu pārējās euro zonas valstīs un pārējās ārvalstīs.
11. Pārskatos atsevišķi uzrāda darījumus euro, ASV dolāros un pārējās ārvalstu valūtās.
12. Sagatavojot pārskatus, MFI katram kredītam vai noguldījumam aprēķina nolīgto gada procentu likmi vai šauri definēto faktisko procentu likmi, pamatojoties uz līguma nosacījumiem. Šauri definēto faktisko procentu likmi var aprēķināt jebkuram noguldījumam vai kredītam. MFI var izmantot arī nolīgtās gada procentu likmes aprēķinu, ja:
12.1. procentu kapitalizācija notiek regulāri un sakrīt ar pamatsummas samaksas laika plānu;
12.2. pamatsummas samaksa un procentu kapitalizācija notiek regulāri, bet procentu maksājumi tiek veikti biežāk nekā pamatsummas samaksa.
13. MFI lieto tikai šauri definētās faktiskās procentu likmes aprēķinu, ja:
13.1. pamatsummas samaksa ir regulāra, bet procentu maksājumi ir neregulāri vai procentu maksājumi tiek veikti retāk nekā pamatsummas samaksa;
13.2. procentu maksājumi tiek veikti reizi ceturksnī, bet pamatsummas samaksa nav regulāra.
14. Nolīgto gada procentu likmi aprēķina, izmantojot šādu vienādojumu:
|
|
, |
kur:
AAR – nolīgtā gada procentu likme;
r – gada procentu likme, kas noteikta starp monetāro finanšu iestādi un klientu noslēgtajā līgumā (mainīgas procentu likmes gadījumā izmanto kredīta izsniegšanas vai noguldījuma piesaistīšanas brīdī aprēķināto procentu likmi);
n – procentu kapitalizācijas reižu skaits gadā (piemēram, 1, 2, 4, 12).
15. Šauri definēto faktisko procentu likmi aprēķina, izmantojot šādu vienādojumu:
|
|
, |
kur:
S – sākotnēji izsniegtā kredīta (piesaistītā noguldījuma) apjoms;
i – šauri definētā faktiskā procentu likme;
CFn – n-tā nākotnes naudas plūsma;
N – ar finanšu instrumentu saistīto naudas plūsmu skaits;
Dn – dienu skaits no datuma, kad izsniegts kredīts (piesaistīts noguldījums), līdz datumam, kad notiek n-tā nākotnes naudas plūsma.
16. Izsniegto kredītu un piesaistīto noguldījumu apjomu un atlikumu uzrāda veselos euro. Ārvalstu valūtās izsniegto kredītu un piesaistīto noguldījumu apjomu un atlikumu uzrāda euro saskaņā ar grāmatvedībā izmantojamo attiecīgās ārvalstu valūtas kursu pārskata mēneša pēdējās dienas beigās.
17. Procentu likmes uzrāda procentos, norādot četrus ciparus aiz komata.
18. Attiecinot katru kredītu vai noguldījumu uz konkrētu termiņu grupu, ņem vērā, ka pārskatu ietvaros par gadu uzskatāms periods no iepriekšējā gada konkrētā datuma līdz attiecīgā gada tam pašam datumam (ieskaitot).
19. Katrā termiņu grupā uzrāda arī tos kredītus un noguldījumus, kuri attiecināmi uz termiņu grupas ilgāko termiņu.
III. ''Jauno darījumu procentu likmju pārskata'' un "Jauno darījumu procentu likmju pārmaiņu pārskata" aizpildīšanas kārtība
20. ''Jauno darījumu procentu likmju pārskatā'' MFI uzrāda pārskata perioda jaunos darījumus.
21. Jaunais darījums ir starp mājsaimniecību vai nefinanšu sabiedrību un MFI pārskata periodā:
21.1. no jauna noslēgts līgums par finanšu pakalpojuma sniegšanu, kurā pirmo reizi noteikta kredīta vai noguldījuma procentu likme;
21.2. pārskatītais kredīts vai pārskatītais noguldījums.
22. Spēkā esošo noguldījuma, kredīta un repo līgumu pagarinājumi, kas notiek automātiski, t.i., bez klienta aktīvas iejaukšanās, un neietver jaunas vienošanās par spēkā esošā līguma noteikumiem, t.sk. procentu likmi, nav uzskatāmi par jauniem darījumiem. Ja līguma darbības laikā (laikā t1) fiksēto procentu likmi aizstāj ar mainīgo procentu likmi un otrādi, par ko puses vienojušās līguma darbības sākumā (laikā t0), to neuzskata par jaunu vienošanos.
23. ''Jauno darījumu procentu likmju pārskatā'' ietver jaunos darījumus par kredīta, pārsnieguma kredīta, atjaunojamā kredīta un norēķinu kartes divu posmu kredīta izsniegšanu, piesaistītajiem noguldījumiem un repo darījumiem. Par jaunajiem darījumiem uzskatāmi arī tie darījumi, kuru norēķinu diena ir nākamajā pārskata periodā.
24. Jaunā darījuma noslēgšanas brīdī ''Jauno darījumu procentu likmju pārskatā'' uzrāda visu attiecīgajā darījumā noteikto summu, izņemot šo noteikumu 25. un 26. punktā minēto.
25. Pārsnieguma kredītu, atjaunojamo kredītu un norēķinu kartes divu posmu kredītu ''Jauno darījumu procentu likmju pārskatā'' uzrāda kā pārskata mēneša pēdējās dienas bilances atlikumu (atlikums dienas beigās).
26. Ja kredīts izsniegts saskaņā ar kredītlīnijas nosacījumiem, ''Jauno darījumu procentu likmju pārskatā'' uzrāda summas, kas kredītlīnijas ietvaros saņemtas un pārskata perioda beigās nav atmaksātas. Kredītlīnijā pieejamā summa, kas nav saņemta vai ir atmaksāta, nav uzrādāma ne kā jauns darījums, ne kā darījuma atlikums.
27. Ja mājsaimniecība vai nefinanšu sabiedrība saņem kredītu pa daļām (tranches) laikā t1, t2, t3 utt., nevis visu summu līguma darbības sākumā (laikā t0), "Jauno darījumu procentu likmju pārskatā" to uzrāda kā vienošanos starp mājsaimniecību vai nefinanšu sabiedrību un MFI laikā t0 ar līgumā norādīto procentu likmi un visu līgumā noteikto summu.
28. ''Jauno darījumu procentu likmju pārskatā'', aprēķinot norēķinu kartes divu posmu kredītu vidējo svērto procentu likmi, norēķinu kartes bezprocentu kredītu atlikumi nav jāņem vērā.
29. Pozīcijas ''Pārējie kredīti mājsaimniecībām'' apakšpozīcijā "t.sk. kredīti pašnodarbinātām personām" atsevišķi uzrāda kredītus pašnodarbinātām personām saimnieciskās darbības veikšanai. Kredītus pašnodarbinātām personām privātajam patēriņam uzrāda attiecīgi vai nu pozīcijā "Kredīti mājsaimniecībām mājokļa iegādei" vai pozīcijā "Patēriņa kredīti mājsaimniecībām".
30. Katrs rezidentu nefinanšu sabiedrībām un pārējo euro zonas valstu nefinanšu sabiedrībām izsniegts kredīts uzrādāms vienā no šādām grupām:
30.1. kredīta apjoms līdz 250 000 euro;
30.2. kredīta apjoms no 250 001 līdz 1 000 000 euro;
30.3. kredīta apjoms pārsniedz 1 000 000 euro.
31. Šo noteikumu 30. punktā minētajiem kredītiem, kuri izsniegti valūtā, kas nav euro, kredīta apjomu pārrēķina saskaņā ar šo noteikumu 16. punkta prasībām.
32. ''Jauno darījumu procentu likmju pārskatā'' atsevišķi uzrāda kredītus nefinanšu sabiedrībām ar mainīgo procentu likmi, ar procentu likmes darbības sākotnējo periodu līdz 1 gadam un sākotnējo termiņu ilgāku par 1 gadu.
33. Pozīcijās ''Kredīti mājsaimniecībām mājokļa iegādei'' un ''Patēriņa kredīti mājsaimniecībām'' mājsaimniecībām un nefinanšu sabiedrībām visās kredītu apjomu grupās apakšpozīcijā ''t.sk. kredīti ar nodrošinājumu vai garantiju'' atsevišķi uzrāda kredītus, kuriem ir nodrošinājums vai garantija, kas ir vienāda ar kredīta kopējo apjomu vai lielāka par to.
34. Noguldījumus uzrāda, ievērojot, ka noguldījumiem noteicošais ir noteiktais termiņš.
35. ''Jauno darījumu procentu likmju pārskatā'' jaunos kredītus, izņemot atjaunojamos kredītus, pārsnieguma kredītus un norēķinu karšu divu posmu kredītus, klasificē pēc procentu likmes darbības sākotnējā perioda. Procentu likmi uzskata par nemainīgu tad, ja tās vērtība ir precīzi noteikta, piemēram, 10%, vai ja tā ir salikta procentu likme, kuras pamatā ir indeksa vērtība noteiktā datumā un laikā. Kredītus, kuriem nav noteikts procentu likmes darbības sākotnējais periods, uzrāda kā kredītus ar mainīgo procentu likmi un procentu likmes darbības sākotnējo periodu līdz 1 gadam mājsaimniecībām un procentu likmes darbības sākotnējo periodu līdz 3 mēnešiem nefinanšu sabiedrībām.
36. Pārskatītos kredītus uzrāda atbilstoši šo noteikumu 21., 30., 32. un 33. punktā minētajiem nosacījumiem, kā arī atsevišķi mājsaimniecību un nefinanšu sabiedrību dalījumā, ievērojot instrumentu veidu dalījumu.
37. ''Jauno darījumu procentu likmju pārskatā'' uzrādāmo vidējo svērto procentu likmi aprēķina, izmantojot šādu vienādojumu:
|
|
, |
kur:
R – vidējā svērtā procentu likme;
Vn – katra jaunā darījuma apjoms;
An – katra jaunā darījuma nolīgtā gada procentu likme, šauri definētā faktiskā procentu likme vai kopējā faktiskā gada izmaksu procentu likme.
38. Kopējo faktisko gada izmaksu procentu likmi aprēķina kredītiem mājsaimniecībām mājokļa iegādei un patēriņa kredītiem mājsaimniecībām, izmantojot šādu vienādojumu:
|
|
, |
kur:
K – veikto kredīta izmaksu kārtas numurs;
K' – veikto kredīta atmaksu kārtas numurs;
Sk – K kredīta izmaksas summa;
S'k' – K' kredīta atmaksas summa (pamatsumma, procenti, komisijas maksa u.c. maksājumi);
m – pēdējās veiktās kredīta izmaksas kārtas numurs;
m' – pēdējās veiktās kredīta atmaksas kārtas numurs;
tk – intervāls, kas izteikts gados un gada daļās (daļskaitlis), starp kredīta izmaksas reizi Nr. 1 un katru nākamo kredīta izmaksas reizi Nr. 2 līdz Nr. m;
tk' – intervāls, izteikts gados un gada daļās (daļskaitlis), starp kredīta izmaksas reizi Nr. 1 un katru atmaksas reizi Nr. 1 līdz Nr. m';
i – kopējā faktiskā gada izmaksu procentu likme.
39. Ja ''Jauno darījumu procentu likmju pārskata'' atsevišķas pozīcijas rādītājs salīdzinājumā ar iepriekšējā ''Jauno darījumu procentu likmju pārskata'' attiecīgo rādītāju mainījies par 2 vai vairāk procentu punktiem, MFI aizpilda "Jauno darījumu procentu likmju pārmaiņu pārskatu", norādot attiecīgās pozīcijas procentu likmes, to pārmaiņu apmēru un iemeslus.
IV. "Darījumu atlikumu procentu likmju pārskata" aizpildīšanas kārtība
40. ''Darījumu atlikumu procentu likmju pārskatā'' uzrāda MFI kredītu, noguldījumu un repo darījumu pārskata mēneša pēdējās dienas bilances atlikumus (atlikumi dienas beigās).
41. ''Darījumu atlikumu procentu likmju pārskatā'' atsevišķi uzrāda kredītus (ietverot pārsnieguma kredītus, atjaunojamos kredītus un norēķinu kartes divu posmu kredītus) termiņu dalījumā un atbilstoši sākotnējā termiņa un atlikušā termiņa dalījumam un procentu likmes pārskatīšanas periodam, noguldījumus uz nakti, noguldījumus ar noteiktu termiņu, noguldījumus ar brīdinājuma termiņu par izņemšanu un repo darījumus.
42. Ja mājsaimniecībām un nefinanšu sabiedrībām darījuma veids ir pārsnieguma kredīts vai atjaunojamais kredīts, tas uzrādāms kredītu termiņu grupā līdz 1 gadam. Norēķinu kartes divu posmu kredīts uzrādāms kredīta termiņu grupā atbilstoši līgumā noteiktajam termiņam. Aprēķinot norēķinu kartes divu posmu kredīta vidējo svērto procentu likmi, norēķinu kartes bezprocentu kredīta atlikumu neņem vērā.
43. ''Darījumu atlikumu procentu likmju pārskatā'' kredītus uzrāda dalījumā pēc sākotnējā termiņa, bet noguldījumus pēc noteiktā termiņa.
44. ''Darījumu atlikumu procentu likmju pārskatā'', aprēķinot kredītu vidējo svērto procentu likmi, nav jāņem vērā sliktie kredīti. Slikto kredītu atlikumus uzrāda atbilstošajā ''Darījumu atlikumu procentu likmju pārskata'' pozīcijā ''Atlikums".
45. ''Darījumu atlikumu procentu likmju pārskatā'' vidējo svērto procentu likmi aprēķina, izmantojot šādu vienādojumu:
|
|
, |
kur:
R – vidējā svērtā procentu likme;
Vn – katra kredīta, noguldījuma vai repo darījuma atlikums pārskata perioda beigās;
An – katra kredīta, noguldījuma vai repo darījuma nolīgtā gada procentu likme vai šauri definētā faktiskā procentu likme.
V. Noslēguma jautājumi
46. Atzīt par spēku zaudējušiem Latvijas Bankas padomes 2013. gada 16. maija noteikumus Nr. 100 "Monetāro finanšu iestāžu procentu likmju pārskatu sagatavošanas noteikumi" (Latvijas Vēstnesis, 2013, Nr. 102).
47. Pārskatus par 2014. gada novembri iesniedz Latvijas Bankai līdz 2014. gada 8. decembrim, un tiem piemēro Latvijas Bankas padomes 2013. gada 16. maija noteikumus Nr. 100 "Monetāro finanšu iestāžu procentu likmju pārskatu sagatavošanas noteikumi".
48. Noteikumi stājas spēkā 2014. gada 1. decembrī.
Latvijas Bankas prezidents I.Rimšēvičs
1. pielikums
Latvijas Bankas 2014. gada 16. maija
noteikumiem Nr. 133
| Jauno darījumu procentu likmju pārskats |
VSPARK 27002076 |
|||
| 20____. gada ___________________ |
Iesniedz Latvijas Bankai |
|||
| MFI nosaukums | ||||
| MFI kods |_|_|_| |
KJ-1 |
|||
|
Pozīcijas nosaukums |
Pozīcijas kods |
Euro | ASV dolāros | ||||||||
| Apjoms (euro) | Vidējā svērtā procentu likme (%) | Apjoms (euro) | Vidējā svērtā procentu likme (%) | ||||||||
|
|
kredīti ar nodrošinā- jumu vai garantiju |
|
kredīti ar nodrošinā- jumu vai garantiju |
|
kredīti ar nodrošinā- jumu vai garantiju |
kredīti ar nodrošinā- jumu vai garantiju |
|||||
|
|
|
|
|||||||||
|
A |
B |
01 |
02 |
03 |
04 |
05 |
06 |
07 |
08 |
||
| Rezidenti |
|
||||||||||
| Kredīti mājsaimniecībām mājokļa iegādei |
|
|
|
|
|
|
|||||
| Ar mainīgo procentu likmi un procentu likmes darbības sākotnējo periodu līdz 1 gadam |
142111 |
|
|
|
|
||||||
| Ar procentu likmes darbības sākotnējo periodu |
|
|
|
|
|
||||||
1–5 gadi |
142112 |
|
|
|
|
||||||
| 5–10 gadi |
142113 |
|
|
|
|||||||
| ilgāku par 10 gadiem |
142114 |
|
|
|
|||||||
VSPARK 27002076 (turpinājums)
KJ-1
|
A |
B |
01 |
02 |
03 |
04 |
05 |
06 |
07 |
08 |
||
| Patēriņa kredīti mājsaimniecībām |
143111 |
||||||||||
| Ar mainīgo procentu likmi un procentu likmes darbības sākotnējo periodu līdz 1 gadam | |||||||||||
| Ar procentu likmes darbības sākotnējo periodu | |||||||||||
1–5 gadi |
143112 |
||||||||||
| 5–10 gadi |
143113 |
||||||||||
| ilgāku par 10 gadiem |
143114 |
||||||||||
| Pārējie kredīti mājsaimniecībām |
144111 |
||||||||||
| Ar mainīgo procentu likmi un procentu likmes darbības sākotnējo periodu līdz 1 gadam |
x |
x |
x |
x |
|||||||
| Ar procentu likmes darbības sākotnējo periodu | |||||||||||
1–5 gadi |
144112 |
x |
x |
x |
x |
||||||
| 5–10 gadi |
144113 |
x |
x |
x |
x |
||||||
| ilgāku par 10 gadiem |
144114 |
x |
x |
x |
x |
||||||
| t.sk. kredīti pašnodarbinātām personām | |||||||||||
| Ar mainīgo procentu likmi un procentu likmes darbības sākotnējo periodu līdz 1 gadam |
147111 |
x |
x |
x |
x |
||||||
| Ar procentu likmes darbības sākotnējo periodu | |||||||||||
1–5 gadi |
147112 |
x |
x |
x |
x |
||||||
| 5–10 gadi |
147113 |
x |
x |
x |
x |
||||||
| ilgāku par 10 gadie |
147114 |
x |
x |
x |
x |
||||||
| Kontrolsumma* |
119999 |
||||||||||
* Aritmētiska ailes rādītāju summa.
VSPARK 27002076 (turpinājums)
KJ-1
| Pozīcijas nosaukums | Pozīcijas kods |
Pārējās ārvalstu valūtās | |||||
| Apjoms (euro) | Vidējā svērtā procentu likme (%) | ||||||
|
|
kredīti ar nodrošinājumu vai garantiju |
|
kredīti ar nodrošinājumu vai garantiju | ||||
|
|
|||||||
|
A |
B |
09 |
10 |
11 |
12 |
||
| Rezidenti |
|
||||||
| Kredīti mājsaimniecībām mājokļa iegādei |
|
||||||
| Ar mainīgo procentu likmi un procentu likmes darbības sākotnējo periodu līdz 1 gadam |
142111 |
||||||
| Ar procentu likmes darbības sākotnējo periodu | |||||||
1–5 gadi |
142112 |
||||||
| 5–10 gadi |
142113 |
||||||
| ilgāku par 10 gadiem |
142114 |
||||||
| Patēriņa kredīti mājsaimniecībām | |||||||
| Ar mainīgo procentu likmi un procentu likmes darbības sākotnējo periodu līdz 1 gadam |
143111 |
||||||
| Ar procentu likmes darbības sākotnējo periodu | |||||||
1–5 gadi |
143112 |
||||||
| 5–10 gadi |
143113 |
||||||
| ilgāku par 10 gadiem |
143114 |
||||||
VSPARK 27002076 (turpinājums)
KJ-1
|
A |
B |
09 |
10 |
11 |
12 |
||
| Pārējie kredīti mājsaimniecībām | |||||||
| Ar mainīgo procentu likmi un procentu likmes darbības sākotnējo periodu līdz 1 gadam |
144111 |
x |
x |
||||
| Ar procentu likmes darbības sākotnējo periodu | |||||||
1–5 gadi |
144112 |
x |
x |
||||
| 5–10 gadi |
144113 |
x |
x |
||||
| ilgāku par 10 gadiem |
144114 |
x |
x |
||||
| t.sk. kredīti pašnodarbinātām personām |
|
||||||
| Ar mainīgo procentu likmi un procentu likmes darbības sākotnējo periodu līdz 1 gadam |
147111 |
x |
x |
||||
| Ar procentu likmes darbības sākotnējo periodu |
|
||||||
1–5 gadi |
147112 |
x |
x |
||||
| 5–10 gadi |
147113 |
x |
x |
||||
| ilgāku par 10 gadiem |
147114 |
x |
x |
||||
| Kontrolsumma* |
119999 |
||||||
* Aritmētiska ailes rādītāju summa.
VSPARK 27002076 (turpinājums)
KJ-1
| Pozīcijas nosaukums | Pozīcijas kods |
Euro | ASV dolāros | ||||||||
| Apjoms (euro) | Vidējā svērtā procentu
likme (%) |
Apjoms (euro) | Vidējā svērtā procentu likme (%) |
||||||||
| kredīti ar nodrošinā- jumu vai garantiju |
kredīti ar nodrošinā- jumu vai garantiju |
kredīti ar nodrošinā- jumu vai garantiju |
kredīti ar nodrošinā- jumu vai garantiju |
||||||||
|
A |
B |
01 |
02 |
03 |
04 |
05 |
06 |
07 |
08 |
||
| Rezidenti |
|
||||||||||
| Kredīti nefinanšu sabiedrībām (apjoms ≤250 000 euro)** |
|
||||||||||
| Ar mainīgo procentu likmi un procentu likmes darbības sākotnējo periodu līdz 3 mēnešiem |
141616 |
||||||||||
| Ar procentu likmes darbības sākotnējo periodu |
|
||||||||||
3 mēn.–1 gads |
141617 |
||||||||||
| 1–3 gadi |
141618 |
||||||||||
| 3–5 gadi |
141619 |
||||||||||
| 5–10 gadi |
141613 |
||||||||||
| ilgāku par 10 gadiem |
141614 |
||||||||||
| Ar mainīgo procentu likmi, ar procentu likmes darbības sākotnējo periodu līdz 1 gadam un sākotnējo termiņu ilgāku par 1 gadu |
141615 |
||||||||||
** To kredītu apjoms, kuri nav izsniegti euro, pārrēķināms euro saskaņā ar grāmatvedībā izmantojamo attiecīgās ārvalstu valūtas kursu pārskata mēneša pēdējās dienas beigās.
VSPARK 27002076 (turpinājums)
KJ-1
|
A |
B |
01 |
02 |
03 |
04 |
05 |
06 |
07 |
08 |
||
| Kredīti nefinanšu sabiedrībām (apjoms 250 001–1 000 000 euro)** |
|
||||||||||
| Ar mainīgo procentu likmi un procentu likmes darbības sākotnējo periodu līdz 3 mēnešiem |
141716 |
||||||||||
| Ar procentu likmes darbības sākotnējo periodu |
|
||||||||||
3 mēn.–1 gads |
141717 |
||||||||||
| 1–3 gadi |
141718 |
||||||||||
| 3–5 gadi |
141719 |
||||||||||
| 5–10 gadi |
141713 |
|
|
|
|
||||||
| ilgāku par 10 gadiem |
141714 |
|
|
|
|
||||||
| Ar mainīgo procentu likmi, ar procentu likmes darbības sākotnējo periodu līdz 1 gadam un sākotnējo termiņu ilgāku par 1 gadu |
141715 |
|
|
|
|
||||||
| Kredīti nefinanšu sabiedrībām (apjoms >1 000 000 euro)** |
|
||||||||||
| Ar mainīgo procentu likmi un procentu likmes darbības sākotnējo periodu līdz 3 mēnešiem |
141516 |
|
|
|
|
||||||
| Ar procentu likmes darbības sākotnējo periodu |
|
||||||||||
| 3 mēn.–1 gads |
141517 |
|
|
|
|
||||||
| 1–3 gadi |
141518 |
|
|
|
|
||||||
| 3–5 gadi |
141519 |
|
|
|
|
||||||
| 5–10 gadi |
141513 |
|
|
|
|
||||||
| ilgāku par 10 gadiem |
141514 |
|
|
|
|
||||||
| Ar mainīgo procentu likmi, ar procentu likmes darbības sākotnējo periodu līdz 1 gadam un sākotnējo termiņu ilgāku par 1 gadu |
141515 |
|
|
|
|
||||||
| Kontrolsumma* |
129999 |
|
|
|
|
||||||
* Aritmētiska ailes rādītāju summa.
** To kredītu apjoms, kuri nav izsniegti euro, pārrēķināms euro saskaņā ar grāmatvedībā izmantojamo attiecīgās ārvalstu valūtas kursu pārskata mēneša pēdējās dienas beigās.
VSPARK 27002076 (turpinājums)
KJ-1
| Pozīcijas nosaukums | Pozīcijas kods |
Pārējās ārvalstu valūtās | |||||
| Apjoms (euro) | Vidējā svērtā procentu likme (%) | ||||||
|
|
kredīti ar nodrošinājumu vai garantiju | kredīti ar nodrošinājumu vai garantiju | |||||
|
|
|||||||
|
A |
B |
09 |
10 |
11 |
12 |
||
| Rezidenti |
|
||||||
| Kredīti nefinanšu sabiedrībām (apjoms ≤250 000 euro)** |
|
||||||
| Ar mainīgo procentu likmi un procentu likmes darbības sākotnējo periodu līdz 3 mēnešiem |
141616 |
||||||
| Ar procentu likmes darbības sākotnējo periodu |
|
||||||
3 mēn.–1 gads |
141617 |
||||||
| 1–3 gadi |
141618 |
||||||
| 3–5 gadi |
141619 |
||||||
| 5–10 gadi |
141613 |
||||||
| ilgāku par 10 gadiem |
141614 |
||||||
| Ar mainīgo procentu likmi, ar procentu likmes darbības sākotnējo periodu līdz 1 gadam un sākotnējo termiņu ilgāku par 1 gadu |
141615 |
||||||
** To kredītu apjoms, kuri nav izsniegti euro, pārrēķināms euro saskaņā ar grāmatvedībā izmantojamo attiecīgās ārvalstu valūtas kursu pārskata mēneša pēdējās dienas beigās.
VSPARK 27002076 (turpinājums)
KJ-1
|
A |
B |
09 |
10 |
11 |
12 |
||
| Kredīti nefinanšu sabiedrībām (apjoms 250 001–1 000 000 euro)** |
|
|
|
|
|||
| Ar mainīgo procentu likmi un procentu likmes darbības sākotnējo periodu līdz 3 mēnešiem |
141716 |
||||||
| Ar procentu likmes darbības sākotnējo periodu |
|
||||||
|
3 mēn.–1 gads |
141717 |
|||||
| 1–3 gadi |
141718 |
||||||
| 3–5 gadi |
141719 |
||||||
| 5–10 gadi |
141713 |
||||||
| ilgāku par 10 gadiem |
141714 |
||||||
| Ar mainīgo procentu likmi, ar procentu likmes darbības sākotnējo periodu līdz 1 gadam un sākotnējo termiņu ilgāku par 1 gadu |
141715 |
||||||
| Kredīti nefinanšu sabiedrībām (apjoms >1 000 000 euro)** |
|
||||||
| Ar mainīgo procentu likmi un procentu likmes darbības sākotnējo periodu līdz 3 mēnešiem |
141516 |
||||||
| Ar procentu likmes darbības sākotnējo periodu |
|
||||||
3 mēn.–1 gads |
141517 |
||||||
| 1–3 gadi |
141518 |
||||||
| 3–5 gadi |
141519 |
||||||
| 5–10 gadi |
141513 |
||||||
| ilgāku par 10 gadiem |
141514 |
||||||
| Ar mainīgo procentu likmi, ar procentu likmes darbības sākotnējo periodu līdz 1 gadam un sākotnējo termiņu ilgāku par 1 gadu |
141515 |
||||||
| Kontrolsumma* |
129999 |
||||||
* Aritmētiska ailes rādītāju summa.
** To kredītu apjoms, kuri nav izsniegti euro pārrēķināms euro, saskaņā ar grāmatvedībā izmantojamo attiecīgās ārvalstu valūtas kursu pārskata mēneša pēdējās dienas beigās.
VSPARK 27002076 (turpinājums)
KJ-2
| Pozīcijas nosaukums | Pozīcijas kods |
Euro | ASV dolāros | ||||||||
| Apjoms (euro) | Vidējā svērtā
procentu likme (%) |
Apjoms (euro) | Vidējā svērtā
procentu likme (%) |
||||||||
|
|
kredīti ar nodrošinā- jumu vai garantiju |
kredīti ar nodrošinā- jumu vai garantiju |
kredīti ar nodrošinā- jumu vai garantiju |
kredīti ar nodrošinā- jumu vai garantiju |
|||||||
|
|
|
|
|||||||||
|
A |
B |
01 |
02 |
03 |
04 |
05 |
06 |
07 |
08 |
||
| Pārējās euro zonas valstis |
|
||||||||||
| Kredīti mājsaimniecībām mājokļa iegādei |
|
|
|
|
|
|
|
||||
| Ar mainīgo procentu likmi un procentu likmes darbības sākotnējo periodu līdz 1 gadam |
142111 |
||||||||||
| Ar procentu likmes darbības sākotnējo periodu |
|
||||||||||
| 1–5 gadi |
142112 |
||||||||||
| 5–10 gadi |
142113 |
||||||||||
| ilgāku par 10 gadiem |
142114 |
||||||||||
| Patēriņa kredīti mājsaimniecībām |
|
||||||||||
| Ar mainīgo procentu likmi un procentu likmes darbības sākotnējo periodu līdz 1 gadam |
143111 |
||||||||||
| Ar procentu likmes darbības sākotnējo periodu |
|
||||||||||
1–5 gadi |
143112 |
||||||||||
| 5–10 gadi |
143113 |
||||||||||
| ilgāku par 10 gadiem |
143114 |
||||||||||
| Pārējie kredīti mājsaimniecībām | |||||||||||
| Ar mainīgo procentu likmi un procentu likmes darbības sākotnējo periodu līdz 1 gadam |
144111 |
x |
x |
||||||||
VSPARK 27002076 (turpinājums)
KJ-2
|
A |
B |
01 |
02 |
03 |
04 |
05 |
06 |
07 |
08 |
||
| Ar procentu likmes darbības sākotnējo periodu |
|
|
|
|
|
|
|
|
|
||
1–5 gadi |
144112 |
x |
x |
|
|
|
|
||||
| 5–10 gadi |
144113 |
x |
x |
|
|
|
|
||||
| ilgāku par 10 gadiem |
144114 |
x |
x |
|
|
|
|
||||
| t.sk. kredīti pašnodarbinātām personām |
|
|
|
|
|
|
|||||
| Ar mainīgo procentu likmi un procentu likmes darbības sākotnējo periodu līdz 1 gadam |
147111 |
x |
x |
|
|
|
|
||||
| Ar procentu likmes darbības sākotnējo periodu |
|
|
|
|
|
|
|
||||
1–5 gadi |
147112 |
x |
x |
|
|
|
|
||||
| 5–10 gadi |
147113 |
x |
x |
|
|
|
|
||||
| ilgāku par 10 gadiem |
147114 |
x |
x |
|
|
|
|
||||
| Kontrolsumma* |
139999 |
|
|
|
|
||||||
* Aritmētiska ailes rādītāju summa.
VSPARK 27002076 (turpinājums)
KJ-2
| Pozīcijas nosaukums | Pozīcijas kods |
Pārējās ārvalstu valūtās | |||||
| Apjoms (euro) | Vidējā svērtā procentu likme (%) | ||||||
|
|
kredīti ar nodrošinā- jumu vai garantiju |
kredīti ar nodrošinā- jumu vai garantiju |
|||||
|
|
|||||||
|
A |
B |
09 |
10 |
11 |
12 |
||
| Pārējās euro zonas valstis |
|
||||||
| Kredīti mājsaimniecībām mājokļa iegādei |
|
|
|
|
|
||
| Ar mainīgo procentu likmi un procentu likmes darbības sākotnējo periodu līdz 1 gadam |
142111 |
||||||
| Ar procentu likmes darbības sākotnējo periodu |
|
||||||
1–5 gadi |
142112 |
||||||
| 5–10 gadi |
142113 |
||||||
| ilgāku par 10 gadiem |
142114 |
||||||
| Patēriņa kredīti mājsaimniecībām |
|
||||||
| Ar mainīgo procentu likmi un procentu likmes darbības sākotnējo periodu līdz 1 gadam |
143111 |
||||||
| Ar procentu likmes darbības sākotnējo periodu |
|
||||||
1–5 gadi |
143112 |
||||||
| 5–10 gadi |
143113 |
||||||
| ilgāku par 10 gadiem |
143114 |
||||||
VSPARK 27002076 (turpinājums)
KJ-2
|
A |
B |
09 |
10 |
11 |
12 |
||
| Pārējie kredīti mājsaimniecībām |
|
|
|
|
|
||
| Ar mainīgo procentu likmi un procentu likmes darbības sākotnējo periodu līdz 1 gadam |
144111 |
x |
x |
||||
| Ar procentu likmes darbības sākotnējo periodu |
|
||||||
| 1–5 gadi |
144112 |
x |
x |
||||
| 5–10 gadi |
144113 |
x |
x |
||||
| ilgāku par 10 gadiem |
144114 |
x |
x |
||||
| t.sk. kredīti pašnodarbinātām personām |
|
||||||
| Ar mainīgo procentu likmi un procentu likmes darbības sākotnējo periodu līdz 1 gadam |
147111 |
x |
x |
||||
| Ar procentu likmes darbības sākotnējo periodu |
|
||||||
| 1–5 gadi |
147112 |
x |
x |
||||
| 5–10 gadi |
147113 |
x |
x |
||||
| ilgāku par 10 gadiem |
147114 |
x |
x |
||||
| Kontrolsumma* |
139999 |
||||||
* Aritmētiska ailes rādītāju summa.
VSPARK 27002076 (turpinājums)
KJ-2
| Pozīcijas nosaukums | Pozīcijas kods |
Euro | ASV dolāros | ||||||||
| Apjoms (euro) | Vidējā svērtā
procentu likme (%) |
Apjoms (euro) | Vidējā svērtā
procentu likme (%) |
||||||||
|
|
kredīti ar nodrošinā- jumu vai garantiju |
kredīti ar nodrošinā- jumu vai garantiju |
|
kredīti ar nodrošinā- jumu vai garantiju |
|
kredīti ar nodrošinā- jumu vai garantiju |
|||||
|
|
|
|
|||||||||
|
A |
B |
01 |
02 |
03 |
04 |
05 |
06 |
07 |
08 |
||
| Pārējās euro zonas valstis |
|
||||||||||
| Kredīti nefinanšu sabiedrībām (apjoms ≤250 000 euro)** |
|
||||||||||
| Ar mainīgo procentu likmi un procentu likmes darbības sākotnējo periodu līdz 3 mēnešiem |
141616 |
||||||||||
| Ar procentu likmes darbības sākotnējo periodu |
|
||||||||||
3 mēn.–1 gads |
141617 |
||||||||||
| 1–3 gadi |
141618 |
||||||||||
| 3–5 gadi |
141619 |
||||||||||
| 5–10 gadi |
141613 |
||||||||||
| ilgāku par 10 gadiem |
141614 |
||||||||||
| Ar mainīgo procentu likmi, ar procentu likmes darbības sākotnējo periodu līdz 1 gadam un sākotnējo termiņu ilgāku par 1 gadu |
141615 |
||||||||||
** To kredītu apjoms, kuri nav izsniegti euro, pārrēķināms euro saskaņā ar grāmatvedībā izmantojamo attiecīgās ārvalstu valūtas kursu pārskata mēneša pēdējās dienas beigās.
VSPARK 27002076 (turpinājums)
KJ-2
|
A |
B |
01 |
02 |
03 |
04 |
05 |
06 |
07 |
08 |
||
| Kredīti nefinanšu sabiedrībām (apjoms 250 001–1 000 000 euro)** |
|
||||||||||
| Ar mainīgo procentu likmi un procentu likmes darbības sākotnējo periodu līdz 3 mēnešiem |
141716 |
||||||||||
| Ar procentu likmes darbības sākotnējo periodu |
|
||||||||||
3 mēn.–1 gads |
141717 |
||||||||||
| 1–3 gadi |
141718 |
||||||||||
| 3–5 gadi |
141719 |
||||||||||
| 5–10 gadi |
141713 |
||||||||||
| ilgāku par 10 gadiem |
141714 |
||||||||||
| Ar mainīgo procentu likmi, ar procentu likmes darbības sākotnējo periodu līdz 1 gadam un sākotnējo termiņu ilgāku par 1 gadu |
141715 |
||||||||||
| Kredīti nefinanšu sabiedrībām (apjoms) >1 000 000 euro** |
|
||||||||||
| Ar mainīgo procentu likmi un procentu likmes darbības sākotnējo periodu līdz 3 mēnešiem |
141516 |
||||||||||
| Ar procentu likmes darbības sākotnējo periodu |
|
||||||||||
3 mēn.–1 gads |
141517 |
||||||||||
| 1–3 gadi |
141518 |
||||||||||
| 3–5 gadi |
141519 |
||||||||||
| 5–10 gadi |
141513 |
||||||||||
| ilgāku par 10 gadiem |
141514 |
||||||||||
| Ar mainīgo procentu likmi, ar procentu likmes darbības sākotnējo periodu līdz 1 gadam un sākotnējo termiņu ilgāku par 1 gadu |
141515 |
||||||||||
| Kontrolsumma* |
129999 |
||||||||||
* Aritmētiska ailes rādītāju summa.
** To kredītu apjoms, kuri nav izsniegti euro, pārrēķināms euro saskaņā ar grāmatvedībā izmantojamo attiecīgās ārvalstu valūtas kursu pārskata mēneša pēdējās dienas beigās.
VSPARK 27002076 (turpinājums)
KJ-2
| Pozīcijas nosaukums | Pozīcijas kods |
Pārējās ārvalstu valūtās | |||||
| Apjoms (euro) | Vidējā svērtā procentu likme (%) | ||||||
|
|
kredīti ar nodrošinājumu vai garantiju | kredīti ar nodrošinājumu vai garantiju | |||||
|
|
|||||||
|
A |
B |
09 |
10 |
11 |
12 |
||
| Pārējās euro zonas valstis |
|
||||||
| Kredīti nefinanšu sabiedrībām (apjoms ≤250 000 euro)** |
|
||||||
| Ar mainīgo procentu likmi un procentu likmes darbības sākotnējo periodu līdz 3 mēnešiem |
141616 |
||||||
| Ar procentu likmes darbības sākotnējo periodu |
|
||||||
3 mēn.–1 gads |
141617 |
||||||
| 1–3 gadi |
141618 |
||||||
| 3–5 gadi |
141619 |
||||||
| 5–10 gadi |
141613 |
||||||
| ilgāku par 10 gadiem |
141614 |
||||||
| Ar mainīgo procentu likmi, ar procentu likmes darbības sākotnējo periodu līdz 1 gadam un sākotnējo termiņu ilgāku par 1 gadu |
141615 |
||||||
** To kredītu apjoms, kuri nav izsniegti euro, pārrēķināms euro saskaņā ar grāmatvedībā izmantojamo attiecīgās ārvalstu valūtas kursu pārskata mēneša pēdējās dienas beigās.
VSPARK 27002076 (turpinājums)
KJ-2
|
A |
B |
09 |
10 |
11 |
12 |
||
| Kredīti nefinanšu sabiedrībām (apjoms 250 001–1 000 000 euro)** |
|
|
|
|
|||
| Ar mainīgo procentu likmi un procentu likmes darbības sākotnējo periodu līdz 3 mēnešiem |
141716 |
||||||
| Ar procentu likmes darbības sākotnējo periodu |
|
||||||
3 mēn.–1 gads |
141717 |
||||||
| 1–3 gadi |
141718 |
||||||
| 3–5 gadi |
141719 |
||||||
| 5–10 gadi |
141713 |
||||||
| ilgāku par 10 gadiem |
141714 |
||||||
| Ar mainīgo procentu likmi, ar procentu likmes darbības sākotnējo periodu līdz 1 gadam un sākotnējo termiņu ilgāku par 1 gadu |
141715 |
||||||
| Kredīti nefinanšu sabiedrībām (apjoms) >1 000 000 euro** |
|
||||||
| Ar mainīgo procentu likmi un procentu likmes darbības sākotnējo periodu līdz 3 mēnešiem |
141516 |
||||||
| Ar procentu likmes darbības sākotnējo periodu |
|
||||||
3 mēn.–1 gads |
141517 |
||||||
| 1–3 gadi |
141518 |
||||||
| 3–5 gadi |
141519 |
||||||
| 5–10 gadi |
141513 |
||||||
| ilgāku par 10 gadiem |
141514 |
||||||
| Ar mainīgo procentu likmi, ar procentu likmes darbības sākotnējo periodu līdz 1 gadam un sākotnējo termiņu ilgāku par 1 gadu |
141515 |
||||||
| Kontrolsumma* |
129999 |
||||||
* Aritmētiska ailes rādītāju summa.
** To kredītu apjoms, kuri nav izsniegti euro, pārrēķināms euro saskaņā ar grāmatvedībā izmantojamo attiecīgās ārvalstu valūtas kursu pārskata mēneša pēdējās dienas beigās.
VSPARK 27002076 (turpinājums)
KJ-2
| Pozīcijas nosaukums | Pozīcijas kods |
Euro | ASV dolāros | Pārējās ārvalstu valūtās | |||||
|
Apjoms |
Vidējā svērtā |
Apjoms |
Vidējā svērtā |
Apjoms |
Vidējā svērtā |
||||
|
A |
B |
01 |
02 |
03 |
04 |
05 |
06 |
||
| Pārējās ārvalstis |
|
||||||||
| Kredīti nefinanšu sabiedrībām un mājsaimniecībām |
|
|
|
|
|
|
|
||
| Ar mainīgo procentu likmi un procentu likmes darbības sākotnējo periodu līdz 3 mēnešiem |
140116 |
||||||||
| Ar procentu likmes darbības sākotnējo periodu |
|
||||||||
3 mēn.–1 gads |
140117 |
||||||||
| 1–3 gadi |
140118 |
||||||||
| 3–5 gadi |
140119 |
||||||||
| 5–10 gadi |
140113 |
||||||||
| ilgāku par 10 gadiem |
140114 |
||||||||
| Ar mainīgo procentu likmi, ar procentu likmes darbības sākotnējo periodu līdz 1 gadam un sākotnējo termiņu ilgāku par 1 gadu |
140115 |
||||||||
| Kontrolsumma* |
179999 |
||||||||
* Aritmētiska ailes rādītāju summa.
VSPARK 27002076 (turpinājums)
KJ-3
| Pozīcijas nosaukums | Pozīcijas kods |
Euro | ASV dolāros | Pārējās ārvalstu valūtās | |||
|
Apjoms |
Vidējā svērtā |
Apjoms |
Vidējā svērtā |
Apjoms |
Vidējā svērtā |
||
|
A |
B |
01 |
02 |
03 |
04 |
05 |
06 |
| Rezidenti |
|
||||||
| Mājsaimniecību atjaunojamais un pārsnieguma kredīts |
146854 |
|
|
||||
| Mājsaimniecību norēķinu karšu divu posmu kredīts |
146855 |
|
|
||||
| Nefinanšu sabiedrību atjaunojamais un pārsnieguma kredīts |
141854 |
|
|
||||
| Nefinanšu sabiedrību norēķinu karšu divu posmu kredīts |
141855 |
|
|
||||
| Pārējās euro zonas valstis |
|
|
|
||||
| Mājsaimniecību atjaunojamais un pārsnieguma kredīts |
146054 |
|
|
||||
| Mājsaimniecību norēķinu karšu divu posmu kredīts |
146055 |
|
|
||||
| Nefinanšu sabiedrību atjaunojamais un pārsnieguma kredīts |
141054 |
|
|
||||
| Nefinanšu sabiedrību norēķinu karšu divu posmu kredīts |
141055 |
|
|
||||
| Pārējās ārvalstis |
|
|
|
||||
| Nefinanšu sabiedrību un mājsaimniecību atjaunojamais un pārsnieguma kredīts |
140954 |
|
|
||||
| Nefinanšu sabiedrību un mājsaimniecību norēķinu karšu divu posmu kredīts |
140955 |
|
|
||||
VSPARK 27002076 (turpinājums)
KJ-3
|
A |
B |
01 |
02 |
03 |
04 |
05 |
06 |
| Kopējā faktiskā gada izmaksu procentu likme | |||||||
| Rezidenti |
|
|
|
|
|
||
| Kredīti mājsaimniecībām mājokļa iegādei |
142820 |
|
|
||||
| Patēriņa kredīti mājsaimniecībām |
143820 |
|
|
|
|
||
| Pārējās euro zonas valstis |
|
|
|
||||
| Kredīti mājsaimniecībām mājokļa iegādei |
142020 |
|
|
|
|
||
| Patēriņa kredīti mājsaimniecībām |
143020 |
|
|
|
|
||
| Kontrolsumma* |
189999 |
|
|
* Aritmētiska ailes rādītāju summa.
VSPARK 27002076 (turpinājums)
KJ-4
| Pozīcijas nosaukums
|
Pozīcijas kods |
Euro | ASV dolāros | Pārējās ārvalstu valūtās | |||
|
Apjoms |
Vidējā svērtā |
Apjoms |
Vidējā svērtā |
Apjoms |
Vidējā svērtā |
||
|
A |
B |
01 |
02 |
03 |
04 |
05 |
06 |
| Rezidenti | |||||||
| Pārskatītie kredīti mājsaimniecībām mājokļa iegādei |
162800 |
||||||
| Pārskatītie patēriņa kredīti mājsaimniecībām |
163800 |
||||||
| Pārskatītie pārējie kredīti mājsaimniecībām |
164800 |
||||||
| Pārskatītie kredīti nefinanšu sabiedrībām |
161800 |
||||||
| Pārējās euro zonas valstis | |||||||
| Pārskatītie kredīti mājsaimniecībām mājokļa iegādei |
162000 |
||||||
| Pārskatītie patēriņa kredīti mājsaimniecībām |
163000 |
||||||
| Pārskatītie pārējie kredīti mājsaimniecībām |
164000 |
||||||
| Pārskatītie kredīti nefinanšu sabiedrībām |
161000 |
||||||
| Pārējās ārvalstis | |||||||
| Pārskatītie kredīti mājsaimniecībām |
166900 |
||||||
| Pārskatītie kredīti nefinanšu sabiedrībām |
161900 |
||||||
| Kontrolsumma* |
199999 |
||||||
* Aritmētiska ailes rādītāju summa.
VSPARK 27002076 (turpinājums)
NJ-1
| Pozīcijas nosaukums | Pozīcijas kods |
Euro | ASV dolāros | Pārējās ārvalstu valūtās | |||||
|
Apjoms |
Vidējā svērtā |
Apjoms |
Vidējā svērtā |
Apjoms |
Vidējā svērtā |
||||
|
A |
B |
01 |
02 |
03 |
04 |
05 |
06 |
||
| Rezidenti |
|
||||||||
| Mājsaimniecību noguldījumi |
|
||||||||
| Ar noteikto termiņu |
|
||||||||
līdz 1 gadam |
156131 |
||||||||
| 1–2 gadi |
156135 |
||||||||
| 2–5 gadi |
156136 |
||||||||
| ilgāku par 5 gadiem |
156137 |
||||||||
| Mājsaimniecību repo darījumi |
156140 |
||||||||
| Nefinanšu sabiedrību noguldījumi |
|
||||||||
| Ar noteikto termiņu |
|
||||||||
līdz 1 gadam |
151131 |
||||||||
| 1–2 gadi |
151135 |
||||||||
| 2–5 gadi |
151136 |
||||||||
| ilgāku par 5 gadiem |
151137 |
||||||||
| Nefinanšu sabiedrību repo darījumi |
151140 |
||||||||
| Kontrolsumma* |
159999 |
||||||||
* Aritmētiska ailes rādītāju summa.
VSPARK 27002076 (turpinājums)
NJ-2
|
Pozīcijas nosaukums |
Pozīcijas kods |
Euro | ASV dolāros | Pārējās ārvalstu valūtās | |||||
|
Apjoms |
Vidējā svērtā |
Apjoms |
Vidējā svērtā |
Apjoms |
Vidējā svērtā |
||||
|
A |
B |
01 |
02 |
03 |
04 |
05 |
06 |
||
| Pārējās euro zonas valstis |
|
||||||||
| Mājsaimniecību noguldījumi |
|
||||||||
| Ar noteikto termiņu |
|
|
|
|
|
||||
līdz 1 gadam |
156131 |
||||||||
| 1–2 gadi |
156135 |
||||||||
| 2–5 gadi |
156136 |
||||||||
| ilgāku par 5 gadiem |
156137 |
||||||||
| Mājsaimniecību repo darījumi |
156140 |
||||||||
| Nefinanšu sabiedrību noguldījumi |
|
||||||||
| Ar noteikto termiņu |
|
||||||||
līdz 1 gadam |
151131 |
||||||||
| 1–2 gadi |
151135 |
||||||||
| 2–5 gadi |
151136 |
||||||||
| ilgāku par 5 gadiem |
151137 |
||||||||
| Nefinanšu sabiedrību repo darījumi |
151140 |
||||||||
VSPARK 27002076 (turpinājums)
NJ-2
|
A |
B |
01 |
02 |
03 |
04 |
05 |
06 |
||
| Pārējās ārvalstis |
|
|
|
|
|
||||
| Nefinanšu sabiedrību un
mājsaimniecību noguldījumi |
|
|
|
|
|
||||
| Ar noteikto termiņu |
|
|
|
|
|
||||
|
līdz 1 gadam |
150131 |
||||||||
| 1–2 gadi |
150135 |
||||||||
| 2–5 gadi |
150136 |
||||||||
| ilgāku par 5 gadiem |
150137 |
||||||||
| Nefinanšu sabiedrību un mājsaimniecību repo darījumi |
150140 |
||||||||
| Kontrolsumma* |
169999 |
||||||||
* Aritmētiska ailes rādītāju summa.
| MFI vadītājs | / | / | ||||
| (paraksts) | (vārds, uzvārds) | |||||
| Izpildītājs | Iesniegšanas datums | |||||
| (vārds, uzvārds; tālruņa numurs) | ||||||
Latvijas Bankas prezidents I.Rimšēvičs
2. pielikums
Latvijas Bankas 2014. gada 16. maija
noteikumiem Nr. 133
| Jauno darījumu procentu likmju pārmaiņu pārskats |
VSPARK 27002077 |
|||
| 20____. gada ___________________ |
Iesniedz Latvijas Bankai |
|||
| MFI nosaukums | ||||
| MFI kods |_|_|_| | "Jauno darījumu procentu likmju pārskata" paskaidrojums |
|||
| Pārskata sadaļas nosaukums | Pozīcijas kods |
Ailes |
Procentu likme (%) |
Pārmaiņas (procentu punktos) (02–01) |
Pārmaiņu iemesli | |||
|
Iepriekšējā |
Jaunajā |
|||||||
|
A |
B |
C |
01 |
02 |
03 |
04 |
||
| Euro | ||||||||
| ASV dolāros | ||||||||
| Pārējās ārvalstu valūtās | ||||||||
| MFI vadītājs | / | / | ||||
| (paraksts) | (vārds, uzvārds) | |||||
| Izpildītājs | Iesniegšanas datums | |||||
| (vārds, uzvārds; tālruņa numurs) | ||||||
Latvijas Bankas prezidents I.Rimšēvičs
3. pielikums
Latvijas Bankas 2014. gada 16. maija
noteikumiem Nr. 133
| Darījumu atlikumu procentu likmju pārskats |
VSPARK 27002078 |
|||
| 20____. gada ___________________ |
Iesniedz Latvijas Bankai |
|||
| MFI nosaukums | ||||
| MFI kods |_|_|_| |
KA-1 |
|||
| Pozīcijas nosaukums | Pozīcijas kods |
Euro | ASV dolāros | Pārējās ārvalstu valūtās | |||||
|
Atlikums |
Vidējā svērtā |
Atlikums |
Vidējā svērtā |
Atlikums |
Vidējā svērtā |
||||
|
A |
B |
01 |
02 |
03 |
04 |
05 |
06 |
||
| Rezidenti |
|
||||||||
| Kredīti mājsaimniecībām mājokļa iegādei |
242131 |
||||||||
| Ar sākotnējo termiņu | |||||||||
līdz 1 gadam |
|||||||||
| 1–5 gadi |
242132 |
||||||||
| ilgāku par 5 gadiem |
242137 |
||||||||
| Patēriņa un pārējie kredīti mājsaimniecībām |
245131 |
||||||||
| Ar sākotnējo termiņu | |||||||||
līdz 1 gadam |
|||||||||
| 1–5 gadi |
245132 |
||||||||
| ilgāku par 5 gadiem |
245137 |
||||||||
| Kredīti nefinanšu sabiedrībām |
|
||||||||
| Ar sākotnējo termiņu |
241131 |
||||||||
līdz 1 gadam |
|||||||||
| 1–5 gadi |
241132 |
||||||||
| ilgāku par 5 gadiem |
241137 |
||||||||
| Kontrolsumma* |
219999 |
||||||||
* Aritmētiska ailes rādītāju summa.
VSPARK 27002078 (turpinājums)
KA-2
| Pozīcijas nosaukums | Pozīcijas kods |
Euro | ASV dolāros | Pārējās ārvalstu valūtās | |||||
|
Atlikums |
Vidējā svērtā |
Atlikums |
Vidējā svērtā |
Atlikums |
Vidējā svērtā |
||||
|
A |
B |
01 |
02 |
03 |
04 |
05 |
06 |
||
| Pārējās euro zonas valstis |
|
||||||||
| Kredīti mājsaimniecībām mājokļa iegādei |
|
|
|
|
|
||||
| Ar sākotnējo termiņu |
|
|
|
|
|
||||
| līdz 1 gadam |
242131 |
||||||||
| 1–5 gadi |
242132 |
||||||||
| ilgāku par 5 gadiem |
242137 |
||||||||
| Patēriņa un pārējie kredīti mājsaimniecībām |
|
||||||||
| Ar sākotnējo termiņu |
|
||||||||
| līdz 1 gadam |
245131 |
||||||||
| 1–5 gadi |
245132 |
||||||||
| ilgāku par 5 gadiem |
245137 |
||||||||
| Kredīti nefinanšu sabiedrībām |
|
||||||||
| Ar sākotnējo termiņu |
|
||||||||
| līdz 1 gadam |
241131 |
||||||||
| 1–5 gadi |
241132 |
||||||||
| ilgāku par 5 gadiem |
241137 |
||||||||
| Pārējās ārvalstis |
|
||||||||
| Kredīti nefinanšu sabiedrībām un mājsaimniecībām |
|
||||||||
| Ar sākotnējo termiņu |
|
||||||||
| līdz 1 gadam |
240131 |
||||||||
| 1–5 gadi |
240132 |
||||||||
| ilgāku par 5 gadiem |
240137 |
||||||||
| Kontrolsumma* |
229999 |
||||||||
* Aritmētiska ailes rādītāju summa.
VSPARK 27002078 (turpinājums)
KA-3
|
Pozīcijas nosaukums
|
Pozīcijas kods |
Euro | ASV dolāros | Pārējās ārvalstu valūtās | ||||
|
Atlikums |
Vidējā svērtā |
Atlikums |
Vidējā svērtā |
Atlikums |
Vidējā svērtā |
|||
|
A |
B |
01 |
02 |
03 |
04 |
05 |
06 |
|
| Rezidenti |
|
|||||||
| Kredīti mājsaimniecībām ar sākotnējo termiņu ilgāku par 1 gadu |
246891 |
|||||||
| t.sk. | Kredīti mājsaimniecībām ar sākotnējo termiņu ilgāku par 1 gadu, un ar atlikušo termiņu līdz 1 gadam |
246892 |
||||||
| Kredīti mājsaimniecībām ar sākotnējo termiņu ilgāku par 1 gadu, ar atlikušo termiņu ilgāku par 1 gadu un ar procentu likmes pārskatīšanas periodu ≤1 gadu |
246893 |
|||||||
| Kredīti mājsaimniecībām ar sākotnējo termiņu ilgāku par 2 gadiem |
246894 |
|||||||
| t.sk. | Kredīti mājsaimniecībām ar sākotnējo termiņu ilgāku par 2 gadiem un ar atlikušo termiņu līdz 2 gadiem |
246895 |
||||||
| Kredīti mājsaimniecībām ar sākotnējo termiņu ilgāku par 2 gadiem, ar atlikušo termiņu ilgāku par 2 gadiem un ar procentu likmes pārskatīšanas periodu ≤2 gadiem |
246896 |
|||||||
| Kredīti nefinanšu sabiedrībām ar sākotnējo termiņu ilgāku par 1 gadu |
241891 |
|||||||
| t.sk. | Kredīti nefinanšu sabiedrībām ar sākotnējo termiņu ilgāku par 1 gadu un ar atlikušo termiņu līdz 1 gadam |
241892 |
||||||
VSPARK 27002078 (turpinājums)
KA-3
|
A |
B |
01 |
02 |
03 |
04 |
05 |
06 |
|
| Kredīti nefinanšu sabiedrībām ar sākotnējo termiņu ilgāku par 1 gadu, ar atlikušo termiņu ilgāku par 1 gadu un ar procentu likmes pārskatīšanas periodu ≤1 gadu |
241893 |
|||||||
| Kredīti nefinanšu sabiedrībām ar sākotnējo termiņu ilgāku par 2 gadiem |
241894 |
|||||||
| t.sk. | Kredīti nefinanšu sabiedrībām ar sākotnējo termiņu ilgāku par 2 gadiem un ar atlikušo termiņu līdz 2 gadiem |
241895 |
||||||
| Kredīti nefinanšu sabiedrībām ar sākotnējo termiņu ilgāku par 2 gadiem, ar atlikušo termiņu ilgāku par 2 gadiem un ar procentu likmes pārskatīšanas periodu ≤2 gadiem |
241896 |
|||||||
| Kontrolsumma* |
239999 |
|||||||
* Aritmētiska ailes rādītāju summa.
VSPARK 27002078 (turpinājums)
KA-4
|
Pozīcijas nosaukums |
Pozīcijas |
Euro | ASV dolāros | Pārējās ārvalstu valūtās | |||||
|
Atlikums |
Vidējā svērtā |
Atlikums |
Vidējā svērtā |
Atlikums |
Vidējā svērtā |
||||
|
A |
B |
01 |
02 |
03 |
04 |
05 |
06 |
||
| Pārējās euro zonas valstis |
|
||||||||
| Kredīti mājsaimniecībām ar sākotnējo termiņu ilgāku par 1 gadu |
246091 |
||||||||
| t.sk. | Kredīti mājsaimniecībām ar sākotnējo termiņu ilgāku par 1 gadu un ar atlikušo termiņu līdz 1 gadam |
246092 |
|||||||
| Kredīti mājsaimniecībām ar sākotnējo termiņu ilgāku par 1 gadu, ar atlikušo termiņu ilgāku par 1 gadu un ar procentu likmes pārskatīšanas periodu ≤1 gadu |
246093 |
||||||||
| Kredīti mājsaimniecībām ar sākotnējo termiņu ilgāku par 2 gadiem |
246094 |
||||||||
| t.sk. | Kredīti mājsaimniecībām ar sākotnējo termiņu ilgāku par 2 gadiem un ar atlikušo termiņu līdz 2 gadiem |
246095 |
|||||||
| Kredīti mājsaimniecībām ar sākotnējo termiņu ilgāku par 2 gadiem, ar atlikušo termiņu ilgāku par 2 gadiem un ar procentu likmes pārskatīšanas periodu ≤2 gadiem |
246096 |
||||||||
| Kredīti nefinanšu sabiedrībām ar sākotnējo termiņu ilgāku par 1 gadu |
241091 |
||||||||
| t.sk. | Kredīti nefinanšu sabiedrībām ar sākotnējo termiņu ilgāku par 1 gadu un ar atlikušo termiņu līdz 1 gadam |
241092 |
|||||||
VSPARK 27002078 (turpinājums)
KA-4
|
A |
B |
01 |
02 |
03 |
04 |
05 |
06 |
||
| Kredīti nefinanšu sabiedrībām ar sākotnējo termiņu ilgāku par 1 gadu, ar atlikušo termiņu ilgāku par 1 gadu un ar procentu likmes pārskatīšanas periodu ≤1 gadu |
241093 |
||||||||
| Kredīti nefinanšu sabiedrībām ar sākotnējo termiņu ilgāku par 2 gadiem |
241094 |
||||||||
| t.sk. | Kredīti nefinanšu sabiedrībām ar sākotnējo termiņu ilgāku par 2 gadiem un ar atlikušo termiņu līdz 2 gadiem |
241095 |
|||||||
| Kredīti nefinanšu sabiedrībām ar sākotnējo termiņu ilgāku par 2 gadiem, ar atlikušo termiņu ilgāku par 2 gadiem un ar procentu likmes pārskatīšanas periodu ≤2 gadiem |
241096 |
||||||||
| Kontrolsumma* |
239999 |
||||||||
* Aritmētiska ailes rādītāju summa.
VSPARK 27002078 (turpinājums)
NA-1
| Pozīcijas nosaukums | Pozīcijas kods |
Euro | ASV dolāros | Pārējās ārvalstu valūtās | ||||||
|
Atlikums |
Vidējā svērtā |
Atlikums |
Vidējā svērtā |
Atlikums |
Vidējā svērtā |
|||||
|
A |
B |
01 |
02 |
03 |
04 |
05 |
06 |
|||
| Rezidenti |
|
|||||||||
| Mājsaimniecību noguldījumi |
256160 |
|||||||||
Uz nakti |
||||||||||
| Ar noteikto termiņu |
256131 |
|||||||||
līdz 1 gadam |
||||||||||
| 1–2 gadi |
256135 |
|||||||||
| ilgāku par 2 gadiem |
256138 |
|||||||||
| Ar brīdinājuma termiņu par izņemšanu |
256170 |
|||||||||
līdz 3 mēnešiem |
||||||||||
| ilgāku par 3 mēnešiem |
256180 |
|||||||||
| Mājsaimniecību repo darījumi |
256140 |
|||||||||
| Nefinanšu sabiedrību noguldījumi |
251160 |
|||||||||
Uz nakti |
||||||||||
| Ar noteikto termiņu |
251131 |
|||||||||
līdz 1 gadam |
||||||||||
| 1–2 gadi |
251135 |
|||||||||
| ilgāku par 2 gadiem |
251138 |
|||||||||
| Ar brīdinājuma termiņu par izņemšanu |
251170 |
|||||||||
līdz 3 mēnešiem |
||||||||||
| ilgāku par 3 mēnešiem |
251180 |
|||||||||
| Nefinanšu sabiedrību repo darījumi |
251140 |
|||||||||
| Kontrolsumma* |
239999 |
|||||||||
* Aritmētiska ailes rādītāju summa.
VSPARK 27002078 (turpinājums)
NA-2
| Pozīcijas nosaukums | Pozīcijas kods |
Euro | ASV dolāros | Pārējās ārvalstu valūtās | ||||||
|
Atlikums |
Vidējā svērtā |
Atlikums |
Vidējā svērtā |
Atlikums |
Vidējā svērtā |
|||||
|
A |
B |
01 |
02 |
03 |
04 |
05 |
06 |
|||
| Pārējās euro zonas valstis |
|
|||||||||
| Mājsaimniecību noguldījumi |
|
|
|
|
|
|||||
Uz nakti |
256160 |
|
|
|||||||
| Ar noteikto termiņu |
|
|
|
|||||||
līdz 1 gadam |
256131 |
|
|
|||||||
| 1–2 gadi |
256135 |
|
|
|||||||
| ilgāku par 2 gadiem |
256138 |
|
|
|||||||
| Ar brīdinājuma termiņu par izņemšanu |
|
|
|
|||||||
| līdz 3 mēnešiem |
256170 |
|
|
|||||||
| ilgāku par 3 mēnešiem |
256180 |
|
|
|||||||
| Mājsaimniecību repo darījumi |
256140 |
|
|
|||||||
| Nefinanšu sabiedrību noguldījumi |
|
|
|
|||||||
Uz nakti |
251160 |
|
|
|||||||
| Ar noteikto termiņu |
|
|
|
|||||||
| līdz 1 gadam |
251131 |
|
|
|||||||
| 1–2 gadi |
251135 |
|
|
|||||||
| ilgāku par 2 gadiem |
251138 |
|
|
|||||||
| Ar brīdinājuma termiņu par izņemšanu |
|
|
|
|||||||
līdz 3 mēnešiem |
251170 |
|
|
|||||||
| ilgāku par 3 mēnešiem |
251180 |
|
|
|||||||
| Nefinanšu sabiedrību repo darījumi |
251140 |
|
|
|||||||
| Kontrolsumma* |
239999 |
|
|
|||||||
* Aritmētiska ailes rādītāju summa.
VSPARK 27002078 (turpinājums)
NA-2
| Pozīcijas nosaukums | Pozīcijas kods |
Euro | ASV dolāros | Pārējās ārvalstu valūtās | ||||||
|
Atlikums |
Vidējā svērtā |
Atlikums |
Vidējā svērtā |
Atlikums |
Vidējā svērtā |
|||||
|
A |
B |
01 |
02 |
03 |
04 |
05 |
06 |
|||
| Pārējās ārvalstis |
|
|||||||||
| Nefinanšu sabiedrību un
mājsaimniecību noguldījumi |
|
|||||||||
| Uz nakti |
250160 |
|||||||||
| Ar noteikto termiņu |
|
|
|
|||||||
| līdz 1 gadam |
250131 |
|
|
|||||||
| 1–2 gadi |
250135 |
|
|
|||||||
| ilgāku par 2 gadiem |
250138 |
|
|
|||||||
| Ar brīdinājuma termiņu par izņemšanu |
|
|
|
|||||||
līdz 3 mēnešiem |
250170 |
|
|
|||||||
| ilgāku par 3 mēnešiem |
250180 |
|
|
|||||||
| Nefinanšu sabiedrību un mājsaimniecību repo darījumi |
250140 |
|
|
|||||||
| Kontrolsumma* |
249999 |
|
|
|||||||
* Aritmētiska ailes rādītāju summa.
| MFI vadītājs | / | / | ||||
| (paraksts) | (vārds, uzvārds) | |||||
| Izpildītājs | Iesniegšanas datums | |||||
| (vārds, uzvārds; tālruņa numurs) | ||||||
Latvijas Bankas prezidents I.Rimšēvičs