
Dažādi sludinājumi: Šajā laidienā 4 Pēdējās nedēļas laikā 40 Visi
OFICIĀLAIS PAZIŅOJUMS
Dažādi sludinājumi
Dažādi sludinājumi
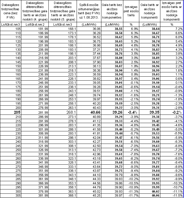
Paziņojums par SIA "Preiļu saimnieks" siltumenerģijas gala tarifu projektu Preiļos, Preiļu novada teritorijā
SIA "Preiļu saimnieks", reģ. Nr. LV47703001720, juridiskā adrese: Liepu iela 2, Preiļi, Preiļu novads, LV-5301, Sabiedrisko pakalpojumu regulēšanas komisijai iesniedza siltumenerģijas tarifa projektu Preiļu novada administratīvajā teritorijā (iesniegšanas datums 20.08.2013.), kas ir aprēķināts saskaņā ar "Siltumenerģijas apgādes pakalpojuma tarifu aprēķināšanas metodikas" SPRK Nr.1/7 no 14.04.2010.
Piedāvātais tarifs varētu stāties spēkā ar 2014. gada 1.janvāri. Tarifa izmaiņas ir saistītas ar mainīgo un pastāvīgo izmaksu izmaiņām, iepirktās siltumenerģijas apjoma pieaugumu, kurināmā cenu izmaiņām un tarifa apstiprināšanu atbilstoši spēkā esošajai tarifu metodikai, izdalot atsevišķi siltumenerģijas ražošanas tarifu, siltumenerģijas sadales un pārvades tarifu un siltumenerģijas tirdzniecības tarifu.
Iepazīties ar tarifu projektā ietverto vispārpieejamo informāciju, kā arī sniegt savus priekšlikumus un ieteikumus par siltumenerģijas tarifa projektu lietotājs var SIA "Preiļu saimnieks" Liepu ielā 2, Preiļos, Preiļu novadā, iepriekš sazinoties ar galveno grāmatvedi Jevgeņiju Kuzņecovu, tālrunis 65381152, fakss 65381152, e-pasts: psaimnieks@inbox.lv.
Priekšlikumus un ieteikumus par tarifa projektu rakstveidā vai elektroniski var iesniegt SIA "Preiļu saimnieks", reģ. Nr. LV47703001720, juridiskā adrese: Liepu iela 2, Preiļi, Preiļu novads, LV-5301, e-pasts: psaimnieks@inbox.lv, tālrrunis 65381152, fakss 65381152, kā arī Sabiedrisko pakalpojumu regulēšanas komisijai (Rīgā, Ūnijas ielā 45, fakss 67097277, vai tās reģionālās struktūrvienības adresē), e-pasta adrese: sprk@sprk.gov.lv, 20 dienu laikā no šī paziņojuma publicēšanas normatīvajos aktos noteiktajā kārtībā.
SIA "Preiļu saimnieks" valdes priekšsēdētājs Jānis Mūrnieks
2013.gada 20.augustā
Oficiālie paziņojumi: