
Ekonomikas ministrijas dienesta informācija
2000.gada 9.augustā
Par darījumiem privatizācijas sertifikātu tirgū jūlijā
Šā gada 1.augustā bija spēkā 41 uzņēmējsabiedrībai piešķirtā licence darbībai privatizācijas sertifikātu tirgū, no tām apturētas - 6.
Tirdzniecības starpnieki sniedz informāciju par noslēgtajiem darījumiem Privatizācijas un sertifikācijas informatīvā nodrošinājuma centram (PSINC). Ekonomikas ministrijas pārskatos apkopotā informācija atšķiras no laikrakstos publicētās PSINC operatīvās informācijas, jo pārskatos par ilgāku laika periodu tiek izmantota visa līdz to sagatavošanas brīdim (arī ar nokavēšanos) saņemtā informācija.
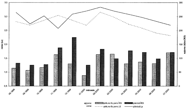
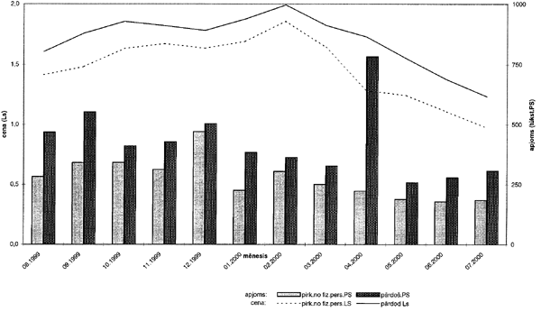
Dati par darījumiem ar sertifikātiem ir doti atsevišķi par privatizācijas sertifikātiem, kuri piešķirti par nodzīvotiem gadiem un politiskajām represijām, turpmāk tekstā - PS, un par īpašuma kompensācijas sertifikātiem, turpmāk tekstā - ĪKS.
Par jūlijā noslēgtajiem darījumiem PSINC informāciju sniedza 25 starpniecības uzņēmumi (jūnijā - 24), no kuriem aktīvākie (uzņēmumi, kuru darījumu apjoms mēnesī pārsniedza divus procentus no kopējā mēneša darījumu apjoma, un bija vairāk nekā 5 darījumu dienas) ir uzskaitīti 1.pielikumā kopējo noslēgto darījumu apjomu dilšanas secībā.
Kopējais ar PS veikto darījumu apjoms jūlijā bija 491,62 tūkst. PS (107,63% salīdzinājumā ar iepriekšējo mēnesi) par vidējo cenu Ls1,13 (jūnijā - Ls 1,27) un 241,86 tūkst. ĪKS (134,84% salīdzinājumā ar iepriekšējo mēnesi) par vidējo cenu Ls2,51 (jūnijā - Ls 2,64).
Starpniecības uzņēmumu starpā bija veikti darījumi ar 83,91 tūkst. PS (640,85% salīdzinājumā ar iepriekšējo mēnesi) par vidējo cenu Ls1,09 (jūnijā - Ls1,16) un 31,57 tūkst. ĪKS (263,46% salīdzinājumā ar iepriekšējo mēnesi) par vidējo cenu Ls2,60 (jūnijā - Ls 2,67).
Datus par PS un ĪKS cenu un apjomu sadalījumu pa tirgus segmentiem skat. 2.pielikumā.
Starpniecības uzņēmumu tirdzniecības kontu atlikums 1.jūlijā bija 4,26 milj. PS (1.jūnijā - 4, 38 milj.) un 0,64 milj. ĪKS (1.jūnijā - 0,61 milj.).
1.pielikums
Par tirdzniecības starpniekiem privatizācijas sertifikātu tirgū
Jūlijā informāciju par veiktajiem darījumiem snieguši 25 starpniecības uzņēmumi.
Tabulā starpniecības uzņēmumi sakārtoti dilstošā kopējā veikto darījumu apjomu secībā, un to kopējais darījumu apjoms ir vairāk par 81% no mēnesī veikto darījumu kopējā apjoma (pirmo 3 uzņēmumu kopējais darījumu apjoms - vairāk par 54% ).
| NPK | Lic.nr. | Nosaukums |
| 1 | S 352/4 | Ražošanas komercfirma SIA "LOTTE" |
| 2 | S 66/7 | A/S "LATVIJAS KRĀJBANKA" |
| 3 | S 353/3 | SIA ražošanas komercfirma "ELANS IN" |
| 4 | S 31/7 | A/S "MATEKS" |
| 5 | S 232/4 | SIA "A & S INVEST" |
| 6 | S 343/4 | Firma "LVK" SIA |
| 7 | S 258/4 | SIA "NIKO-LOTO" |
| 8 | S 386/1 | Kopuzņēmums SIA "SVIT" |
| 9 | S 33/4 | A/S " LATGALES FINANSU UN INVESTĪCIJU KOMPĀNIJA" |
| 10 | S 362/4 | A/S "PS INVESTMENTS" |
2.pielikums
Privatizācijas sertifikātu cenu un apjomu sadalījums pa tirgus segmentiem mēnesī 1999.-2000. gadā
| Organizētais tirgus | Pirkšana no fiziskām personām | Pārdošana | ||||||||||
| Mēnesis | Privatizācijas | Īpašuma kompen- | Privatizācijas | Īpašuma kompen- | Privatizācijas | Īpašuma kompen- | ||||||
| sertifikāti | sācijas sertifikāti | sertifikāti | sācijas sertifikāti | sertifikāti | sācijas sertifikāti | |||||||
| Apjoms | Cena | Apjoms | Cena | Apjoms | Cena | Apjoms | Cena | Apjoms | Cena | Apjoms | Cena | |
| 08.1999 | 494,62 | 1,50 | 84,80 | 3,08 | 281,99 | 1,41 | 64,25 | 2,82 | 467,68 | 1,61 | 82,37 | 3,15 |
| 09.1999 | 479,66 | 1,64 | 76,58 | 2,81 | 340,31 | 1,48 | 56,31 | 2,69 | 552,08 | 1,76 | 75,13 | 2,74 |
| 10.1999 | 321,16 | 1,81 | 106,95 | 3,22 | 341,08 | 1,63 | 66,63 | 2,87 | 409,63 | 1,86 | 77,24 | 3,02 |
| 11.1999 | 449,12 | 1,77 | 244,61 | 2,71 | 312,09 | 1,67 | 113,01 | 3,04 | 426,88 | 1,82 | 137,43 | 2,57 |
| 12.1999 | 572,38 | 1,79 | 217,11 | 3,03 | 469,86 | 1,63 | 79,90 | 2,87 | 503,14 | 1,78 | 174,99 | 3,09 |
| 01.2000 | 269,38 | 1,84 | 117,12 | 3,06 | 225,43 | 1,69 | 37,96 | 2,69 | 383,38 | 1,88 | 75,08 | 3,20 |
| 02.2000 | 407,78 | 1,91 | 225,79 | 3,29 | 304,20 | 1,86 | 113,24 | 3,16 | 361,95 | 1,99 | 132,95 | 3,33 |
| 03.2000 | 400,14 | 1,70 | 184,83 | 3,04 | 250,20 | 1,64 | 115,14 | 2,97 | 327,10 | 1,82 | 98,51 | 3,19 |
| 04.2000 | 386,39 | 1,44 | 161,67 | 2,94 | 222,78 | 1,28 | 80,03 | 2,73 | 782,31 | 1,73 | 127,23 | 3,08 |
| 05.2000 | 421,26 | 1,36 | 193,48 | 2,84 | 188,40 | 1,24 | 86,45 | 2,58 | 257,05 | 1,55 | 121,55 | 2,97 |
| 06.2000 | 349,29 | 1,29 | 131,20 | 2,67 | 178,20 | 1,11 | 81,09 | 2,41 | 278,42 | 1,37 | 98,27 | 2,83 |
| 07.2000 | 364,88 | 1,16 | 162,88 | 2,52 | 185,14 | 0,97 | 120,30 |
| 2,32 | 306,48 | 1,23 | 121,56 | 2,69 |
|
Apjomi doti tūkst. PS, cenas - Ls. PS tirgū veikto darījumu apjomu un cenu sadalījums pa tirgus segmentiem ĪKS tirgū veikto darījumu apjomu un cenu sadalījums pa tirgus segmentiem |