
Valsts galvenā pārtikas un veterinārā inspektora rīkojums Nr.128
Rīgā 2004.gada 23.jūlijā
Par veterināro sertifikātu zvejas un akvakultūras produktu eksportam uz Azerbaidžānas Republiku
Pamatojoties uz 2003.gada 11.novembra MK noteikumiem Nr.638 “Prasības zvejas produktu, pārtikai paredzēto akvakultūras dzīvnieku un to produktu ieviešanai Latvijā, izvešanai no tās un tranzīta pārvadājumiem” 35.punktu, nosaku:
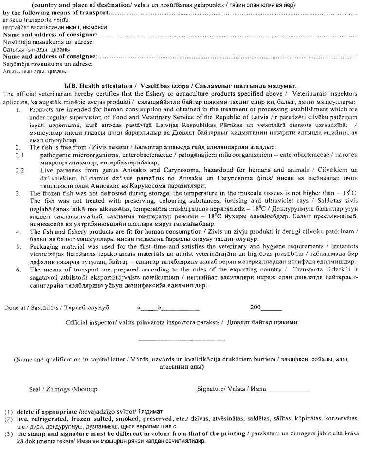
1. Zvejas un akvakultūras produktu izvešanai uz Azerbaidžānas Republiku izsniegt pielikumā noteiktās formas veterināro sertifikātu (skat. pielikumā).
2. Atcelt sertifikāta “Eksport 2” izrakstīšanu zvejas un akvakultūras produktu izvešanai uz Azerbaidžānas Republiku.
3. Rīkojumu publicēt laikrakstā “Latvijas Vēstnesis”.
4. Rīkojums stājas spēkā ar parakstīšanas brīdi.
5. Kontroli pār rīkojuma izpildi uzdodu Pārtikas uzraudzības departamenta direktoram E.Zavadskim.
Valsts galvenā pārtikas un veterinārā inspektora pienākumu izpildītājs M.Samohvalovs
Pielikums