
Ministru kabineta noteikumi Nr.555
Rīgā 2004.gada 29.jūnijā (prot. Nr.39, 27.§)
Dabas resursu nodokļa aprēķināšanas un maksāšanas kārtība
Izdoti saskaņā ar likuma “Par dabas resursu nodokli” 6.pantu, 8.panta pirmo daļu, 9.panta piekto daļu, 10.panta pirmo daļu, 16.panta otro daļu, 17.panta pirmo daļu, 18.panta otrās daļas 1. un 4.punktu, 18.panta trešo daļu, 19.panta otro daļu, 1.pielikuma 2., 6. un 7.punktu un 7.pielikuma 4.punktu
I. Vispārīgie jautājumi
1. Noteikumi nosaka:
1.1. dabas resursu lietošanas, zemes dzīļu derīgo īpašību izmantošanas, vides piesārņojuma un videi kaitīgu preču, preču iepakojuma, vienreiz lietojamo galda trauku un piederumu, radioaktīvo vielu un transportlīdzekļu uzskaites, dabas resursu nodokļa (turpmāk — nodoklis) aprēķināšanas un maksāšanas kārtību;
1.2. kārtību, kādā piemērojamas papildlikmes par Iepakojuma likumā noteikto izlietotā iepakojuma reģenerācijas normu neievērošanu;
1.3. kārtību, kādā aprēķināms nodoklis par iekārtas emitēto siltumnīcefekta gāzu apjomu, kas nav ietverts nodoto siltumnīcefekta gāzu emisijas kvotu daudzumā;
1.4. piesārņojuma veida un apjoma deklarācijas veidlapas paraugu, aizpildīšanas un iesniegšanas kārtību C kategorijas piesārņojošām darbībām;
1.5. iepakojuma materiāla veidu un svaru apliecinošu uzskaites dokumentu veidus, kā arī šajos dokumentos iekļaujamo informāciju;
1.6. institūciju, kura var izsniegt iepakojuma materiāla veidu un svaru apliecinošu dokumentu gadījumos, ja nodokļa maksātājs pats nevar nodrošināt iepakojuma materiāla veida un svara pamatošanu ar uzskaites dokumentiem;
1.7. iepakojuma materiāla veida un svara noteikšanas metodes gadījumos, ja maksātāja rīcībā nav nepieciešamo iepakojuma materiāla veidu un svaru apliecinošo dokumentu;
1.8. kārtību, kādā nodokļa atlaidi var saņemt nodokļa maksātājs, kuram nav nodokļu parādu un kas finansē projektus, kuru mērķis ir, veicot tehnoloģiskus uzlabojumus vai vides aizsardzības pasākumus, samazināt vides piesārņošanu vai dabas resursu patēriņu;
1.9. kārtību, kādā samaksātais nodoklis par videi kaitīgām precēm atmaksājams subsīdiju veidā no likumā par valsts budžetu kārtējam gadam budžeta programmai “Latvijas vides aizsardzības fonds” paredzētās dotācijas juridiskajām personām, kuras atbilstoši normatīvajos aktos noteiktajām tehnoloģiskajām un vides aizsardzības prasībām veic videi kaitīgo preču atkritumu pārstrādi vai reģenerāciju vai izved videi kaitīgo preču atkritumus reģenerācijai vai pārstrādei ārpus Latvijas teritorijas, kā arī mērķprogrammu īstenošanai;
1.10. konkrēto dabas resursu, piesārņojošo vielu, preču un produktu un radioaktīvo vielu klasifikāciju un atbilstību nodokļa likmju grupām;
1.11. to konkrēto videi kaitīgo preču un produktu klasifikāciju un tehniskos raksturojumus, par kuriem jāmaksā nodoklis;
1.12. pieļaujamās svara noviržu normas iepakojumam;
1.13. kārtību, kādā maksājams nodoklis par nelietderīgiem zudumiem, kas radušies ieguves procesā, par zudumiem, kas saistīti ar izrakteņa kondīcijas bojājumiem, un par iegūtajiem izrakteņu apjomiem, kas neatbilst izpētes atzinumā norādītajam izrakteņa veidam un kondīcijai;
1.14. kārtību, kādā piemērojama nodokļa likme par parka vīngliemežu (Helix pomatia L.) vākšanu;
1.15. kārtību, kādā piemērojama nodokļa likme par ģeoloģiskajās struktūrās kārtējā taksācijas periodā iesūknēto dabasgāzi;
1.16. nodokļa ieņēmumu izmantošanu atbilstoši likuma “Par dabas resursu nodokli” (turpmāk — likums) 7.pielikumā noteiktajiem ieņēmumu izlietojuma normatīviem.
2. Nodokļa maksātāja pienākums ir nodrošināt uzskaiti par dabas resursu ieguves un izmantošanas veidu un apjomu, par vidē novadītā piesārņojuma veidu un apjomu, par taksācijas periodā zemes dzīlēs iesūknēto dabasgāzes apjomu, par iepakojuma materiāla veidu un svaru, par vienreiz lietojamiem galda traukiem un piederumiem, par videi kaitīgām precēm un par radioaktīvajām vielām.
3. Nodokli par dabas resursu ieguvi un izmantošanu limitos noteiktajos apjomos, par vides piesārņojumu limitos noteiktajos apjomos, par zemes dzīļu derīgo īpašību izmantošanu, iesūknējot ģeoloģiskajās struktūrās dabasgāzi, par videi kaitīgu preču un preču iepakojumā realizāciju vai izmantošanu savas saimnieciskās darbības nodrošināšanai, par vienreiz lietojamo galda trauku un piederumu realizāciju mazumtirdzniecībā un sabiedriskajā ēdināšanā, par radioaktīvo vielu izmantošanu un par transportlīdzekļu pirmreizējo reģistrāciju nodokļa maksātājs iekļauj uzņēmējdarbības izmaksās. Nodokļa maksātājs virslimita nodokļa maksājumus, kā arī visas likuma 19. un 20.pantā minētās soda naudas un nokavējuma naudas nedrīkst iekļaut saimnieciskās darbības izmaksās.
II. Nodokļa aprēķināšanas kārtība
par dabas resursu ieguvi un lietošanu un par piesārņojošajām vielām
4. Limitus dabas resursu ieguvei un izmantošanai un piesārņojošo vielu novadīšanai vidē nosaka vides normatīvajos aktos minētajās atļaujās un speciālajās atļaujās (licencēs) katram dabas resursu un piesārņojuma veidam atsevišķi.
5. Atļaujas parka vīngliemežu (Helix pomatia L.) vākšanai izsniedz Dabas aizsardzības pārvalde, pamatojoties uz konkursa rezultātiem.
6. Dabas resursu lietošanas atļauju (1.pielikums) izsniedz to dabas resursu realizēšanai, kas iegūti likuma 1.pielikuma 5.punktā noteiktajās saimnieciskajās darbībās. Dabas resursu lietošanas atļauju uz vienu gadu izsniedz reģionālā vides pārvalde, kuras teritorijā ir iegūti dabas resursi.
7. Lai saņemtu dabas resursu lietošanas atļauju, nodokļa maksātājs iesniedz reģionālajā vides pārvaldē šādus dokumentus:
7.1. iesniegumu, kurā ietverta šāda informācija:
7.1.1. paredzētais realizējamo dabas resursu veids (atbilstoši likuma 1.pielikuma 1.tabulai);
7.1.2. paredzētais realizējamo dabas resursu apjoms;
7.1.3. dabas resursu atrašanās vieta un saimnieciskā darbība, kurā ir iegūti dabas resursi (atbilstoši likuma 1.pielikuma 5.punktam);
7.2. zemes īpašuma tiesības vai lietošanas tiesības apliecinošus dokumentus, kas pamato tiesības realizēt dabas resursus;
7.3. ģeoloģisko pārskatu, kurā noteikts saimnieciskajā darbībā iesaistīto dabas resursu veids un faktiskais apjoms;
7.4. Valsts ģeoloģijas dienesta atzinumu par to, ka, veicot saimniecisko darbību, nav nepieciešama zemes dzīļu izmantošanas atļauja (licence), ja no viena objekta saimnieciskajā darbībā paredzēts iesaistīt dabas resursus, kuru kopējais apjoms pārsniedz 1000 m3;
7.5. teritorijas karti (mērogā 1 : 10000 vai lielākā), kurā norādīta dabas resursu atrašanās vieta.
8. Ja nav iesniegti visi šo noteikumu 7.punktā minētie dokumenti, reģionālā vides pārvalde 14 dienu laikā pēc iesnieguma saņemšanas rakstiski informē iesniedzēju par nepieciešamo papildu informāciju. Par iesnieguma pieņemšanas dienu uzskatāma diena, kad nodokļa maksātājs ir iesniedzis visus nepieciešamos dokumentus.
9. Par derīgā izrakteņa nelietderīgiem zudumiem nodokli maksā pēc pamatlikmēm un papildlikmēm kā par virslimita ieguvi. Nelietderīgie zudumi ir derīgā izrakteņa zudumi, kas pārsniedz Vides ministrijas akceptētā derīgā izrakteņa vai atradnes izstrādes projektā paredzētos zudumus. Par iegūtajiem derīgā izrakteņa apjomiem, kas neatbilst zemes dzīļu ieguves atļaujā (licencē) noteiktajam derīgā izrakteņa veidam, nodokli maksā pēc pamatlikmēm un papildlikmēm kā par dabas resursu ieguvi bez atļaujas.
10. Nodokļa maksātājs nodokli par dabasgāzes iesūknēšanu ģeoloģiskajās struktūrās aprēķina par taksācijas periodā faktisko iesūknēto dabasgāzes apjomu.
11. Nodokļa aprēķināšanai lietojamā piesārņojošo vielu klasifikācija atbilstoši likuma 3., 4., 5. un 6.pielikumā minētajām bīstamības klasēm noteikta šo noteikumu 2., 3. un 4.pielikumā.
12. Nodokļa maksātājs nodokli aprēķina par dabas resursu ieguves un izmantošanas un vides piesārņojuma faktisko veidu un apjomu saskaņā ar nodokļa likmēm, pamatojoties uz dabas resursu ieguves, izmantošanas un vides piesārņojuma uzskaites vai analīžu datiem un attiecīgajā atļaujā (licencē) noteiktajiem limitiem.
13. Nodokli aprēķina katram dabas resursu vai vides piesārņojuma veidam atsevišķi. Nodokli par virszemes un pazemes ūdens ieguvi, izņemot minerālūdens ieguvi, maksā, ja ūdens ieguve pārsniedz 10 m3 diennaktī.
14. Nodokli par dabas resursu ieguvi un izmantošanu un vides piesārņošanu limitos noteiktajos apjomos nodokļa maksātājs aprēķina atbilstoši likuma pielikumos noteiktajām pamatlikmēm.
15. Reģionālo vides pārvalžu un Vides valsts inspekcijas amatpersonas kontrolē dabas resursu ieguves un izmantošanas apjoma atbilstību atļaujā (licencē) noteiktajiem apjomiem un vidē novadītā piesārņojuma veida un apjoma atbilstību atļaujā noteiktajiem limitiem. Reģionālo vides pārvalžu amatpersonas, saskaņojot pārskatu par aprēķināto dabas resursu nodokli (turpmāk — pārskats) (5.pielikums), pārbauda nodokļa par dabas resursu ieguvi un izmantošanu un nodokļa par vidē novadīto piesārņojumu aprēķinu pareizību.
16. Nodokli par dabas resursu lietošanu virs limitos noteiktajiem apjomiem un virslimita piesārņojumu aprēķina, summējot pamatlikmi un papildlikmi trīskārtīgā pamatlikmes apmērā (kopā — četrkārtīgā pamatlikmes apmērā). Dabas resursu virslimita lietošana vai virslimita piesārņojums ir apjoms, kas pārsniedz izsniegtajā atļaujā (licencē) noteikto limitu.
17. Ja atļaujā attiecīgajai piesārņojošo vielu novadīšanai vidē nav norādīts limits, nodokli par visu apjomu aprēķina pēc pamatlikmēm un pārskatā izdara atzīmi “bez limita”. C kategorijas piesārņojošām darbībām nodokli par visu apjomu aprēķina pēc pamatlikmēm un pārskatā izdara atzīmi “bez limita”.
18. Nodokli par atkritumu apglabāšanu izgāztuvēs un poligonos, kuros nav uzstādīti svari, aprēķina, pamatojoties uz uzskaites datiem, par apglabāto atkritumu tilpumu nesaspiestā veidā, ierēķinot speciālā iepakojuma (arī konteineru), balastvielu, stabilizatoru un citu piejaukumu apjomu (tilpumu).
19. Nodokļa maksātājs nodokļa maksājumus par dabas resursu ieguvi un izmantošanu virs limitos noteiktajiem apjomiem un virslimita piesārņojumu aprēķina, sākot ar dienu, kad pārsniegts limits vai beidzies atļaujas (licences) derīguma termiņš.
20. Komersanti, kuru darbībai ir sezonas raksturs un kuri maksā nodokli par dabas resursu ieguvi un izmantošanu un vidē novadīto piesārņojumu, pārskatu Valsts ieņēmumu dienesta teritoriālajā iestādē iesniedz un nodokli maksā atbilstoši ar Valsts ieņēmumu dienesta teritoriālo iestādi saskaņotam maksājumu grafikam.
21. Nodokļa maksātāju sarakstu ar saskaņoto aprēķināto nodokļa summu par kārtējo gadu reģionālās vides pārvaldes līdz nākamā gada 20.martam iesniedz Valsts ieņēmumu dienesta teritoriālajā iestādē. Valsts ieņēmumu dienesta teritoriālās iestādes veic nodokļa samaksas kontroli un piedziņu.
22. Likuma 4.pielikumā noteiktajām oglekļa dioksīda (CO2) emisijām nenosaka limitus, un nodokli par visu oglekļa dioksīda (CO2) emisijas apjomu aprēķina pēc pamatlikmēm un pārskatā izdara atzīmi “bez limita”.
23. Oglekļa dioksīda (CO2) emisiju apjomu no sadedzināšanas iekārtām aprēķina, ņemot vērā kurināmā veidu, patērēto apjomu un emisijas faktoru.
24. Nodokli par iekārtas emitēto siltumnīcefekta gāzu apjomu, kas nav ietverts nodotās siltumnīcefekta gāzu emisijas kvotu daudzumā, aprēķina nodokļa maksātājs pēc likuma 4.pielikumā noteiktajām pamatlikmēm. Latvijas vides aģentūra informē Valsts ieņēmumu dienesta teritoriālās iestādes par nodokļa maksātājiem, kuriem jāmaksā nodoklis par iekārtas emitēto siltumnīcefekta gāzu apjomu, kas nav ietverts nodotās siltumnīcefekta gāzu emisijas kvotu daudzumā.
25. Nodokļa maksātājs, kas veic C kategorijas piesārņojošās darbības, līdz nākamā gada 10.janvārim iesniedz reģionālajā vides pārvaldē C kategorijas piesārņojošās darbības deklarāciju (turpmāk — deklarācija) (6.pielikums) par iepriekšējo gadu. Nodokļa maksātājs aprēķina nodokli par C kategorijas piesārņojošām darbībām, pamatojoties uz deklarācijā norādīto piesārņojuma veidu un apjomu. Nodokļa maksātājs nodrošina savas darbības radītā piesārņojuma veida un apjoma uzskaiti.
III. Nodokļa aprēķināšanas un maksāšanas kārtība par videi kaitīgajām precēm, par preču iepakojumu, par radioaktīvajām vielām, par vienreiz lietojamiem galda traukiem un piederumiem, un par transportlīdzekļiem un pārskata iesniegšanas kārtība
26. Nodokli par videi kaitīgām precēm, par vienreiz lietojamiem galda traukiem un piederumiem, par preču iepakojumu, par radioaktīvām vielām un par transportlīdzekļiem aprēķina atbilstoši likuma 7., 8., 9. un 10.pielikumā un šo noteikumu 7.pielikumā noteiktajai klasifikācijai.
27. Par pamatojumu tam, vai no papīra, kartona, to laminātiem ar polimēru vai metāla komponentiem, plastmasas (polimēriem) un metāla folijas gatavotie un mazumtirdzniecībā realizējamie vai sabiedriskajā ēdināšanā izmantojamie galda trauki un piederumi (tai skaitā šķīvji, bļodas, krūzes, tasītes, glāzes, kokteiļu salmiņi, naži, dakšiņas, karotes un spraudiņi) ir vienreiz vai daudzkārt lietojami, izmanto informāciju, kas iekļauta iegādes līgumos vai pavaddokumentos, vai uz to iepakojuma. Ja nodokļa maksātājs nevar dokumentāri pamatot, ka galda trauki un piederumi ir daudzkārt lietojami, nodoklis jāmaksā kā par vienreiz lietojamiem saskaņā ar likuma 9.pantu un 8.pielikumu.
28. Nodokli par videi kaitīgām precēm un preču iepakojumu aprēķina un maksā persona, kura pirmā Latvijas teritorijā realizē vai izmanto savas saimnieciskās darbības nodrošināšanai videi kaitīgas preces vai preces iepakojumā.
29. Nodokli par videi kaitīgām precēm un preču iepakojumu maksā par iepriekšējā pārskata periodā Latvijas teritorijā realizētajām vai savas saimnieciskās darbības nodrošināšanai izmantotajām videi kaitīgām precēm un par iepriekšējā pārskata periodā Latvijas teritorijā realizēto vai savas saimnieciskās darbības nodrošināšanai izmantoto preču iepakojumu. Nodokli par transporta iepakojumu vai sekundāro iepakojumu, kas precei noņemts, preces izpakojot vai pārpakojot pirms realizācijas vai izmantojot savas saimnieciskās darbības nodrošināšanai, līdz nākamā mēneša divdesmitajam datumam maksā par ceturksni, kurā preces izpakotas vai pārpakotas.
30. Nodokļa maksātājs nodokli par videi kaitīgām precēm vai preču iepakojumu var samaksāt tūlīt pēc šo preču vai preču iepakojumā ievešanas Latvijas teritorijā.
31. Iepakojuma materiāla svaru nosaka, izmantojot vienu no šādām svara noteikšanas metodēm:
31.1. tiešās noteikšanas metode — iepakojuma katras vienības svēršana saskaņā ar normatīvajiem aktiem par metroloģijas prasībām;
31.2. netiešās noteikšanas metode — preču iepakojuma materiāla svara noteikšana, izmantojot iepakojuma materiāla izlietojuma normu vai preču piegādātāja sniegto preču iepakojuma tehnisko aprakstu (specifikāciju), kā arī iepakojuma materiāla un svara patēriņa norma uz preču vienību.
32. Pieļaujamās novirzes preču iepakojuma svaram, to nosakot ar netiešās noteikšanas metodi, nevar būt lielākas par:
32.1. iepakojumam no stikla — 15 % uz iepakojuma vienību;
32.2. iepakojumam no plastmasas (polimēriem) — 10 % uz iepakojuma vienību;
32.3. iepakojumam no metāla — 10 % uz iepakojuma vienību;
32.4. iepakojumam no papīra, kartona un laminātiem ar polimēru vai metāla komponentiem — 10 % uz iepakojuma vienību;
32.5. iepakojumam no koksnes — 15 % uz iepakojuma vienību normālos apstākļos un 20 % uz iepakojuma vienību, ja uz iepakojumu transportējot iedarbojies mitrums;
32.6. iepakojumam no papīra, kartona un citām dabiskajām šķiedrām — 15 % uz vienu iepakojuma vienību normālos apstākļos un 25 % uz iepakojuma vienību, ja uz iepakojumu transportējot iedarbojies mitrums.
33. Preču iepakojuma materiāla veidu un svaru pamato ar vienu no šādiem dokumentiem:
33.1. grāmatvedības uzskaites dokumenti un ar aktu apstiprinātas iepakojuma materiāla izlietojuma normas;
33.2. piegādātāja noformēts un parakstīts dokuments (oriģināls), kas apliecina iepakojuma materiāla veidu un svaru (turpmāk — iepakojuma piegādātāja apliecinājums);
33.3. līgums par preču iegādi, kurā iekļauta informācija par iepakojuma materiāla veidu un svaru;
33.4. šo noteikumu 36.punktā minētās pilnvarotās institūcijas atzinums par iepakojuma materiāla veidu un svaru;
33.5. muitas iestādes apstiprināta starptautisko kravas pārvadājumu pavadzīmes kopija, uz kuras norādīts muitas deklarācijas numurs un datums, — ja preces ieved no valstīm, kas nav Eiropas Savienības dalībvalstis, un kravas pavadzīme satur informāciju par iepakojuma materiāla veidu un svaru;
33.6. iepakojuma materiāla un svara patēriņa normas uz preču vienību.
34. Iepakojuma materiāla izlietojuma normas ar aktu apstiprina nodokļa maksātāja izveidota komisija. Iepakojuma materiāla izlietojuma normas satur informāciju par konkrētai precei vai tipveida precei pievienojamo iepakojuma materiāla veidu un svaru. Iepakojuma materiāla izlietojuma normas apstiprina neatkarīgi no preces iepakošanas vietas.
35. Ja preču piegādātāja un preču saņēmēja savstarpēji rakstiski noslēgtajā līgumā par preču iegādi ir ietverta visa nodokļa aprēķināšanai nepieciešamā informācija par šo preču standarta iepakojuma (tas ir, ja katrā preču iegādē tiek lietots viens un tas pats preču iepakojums) materiāla veidu un svaru, preču saņēmējs pats var noteikt preču iepakojuma materiāla veidu un svaru.
36. Atzinumu par iepakojuma materiāla veidu un svaru (8.pielikums) izsniedz Latvijas iepakojuma sertifikācijas centrs.
37. Ja persona, kura ražo preces, nodod tās citai personai iepakošanai, nodokļa maksātājs ir persona, kura realizē šīs preces iepakojumā Latvijas teritorijā.
38. Ja preču ražotājs, pamatojoties uz savstarpēju līgumu, realizē videi kaitīgas preces vai preces iepakojumā citai Latvijas Republikā reģistrētai personai, kura izved šīs preces no Latvijas teritorijas, preču ražotāja samaksāto nodokļa summu ieskaita kā nodokļa avansa maksājumus, ja attiecīgo videi kaitīgo preču vai preču iepakojuma izvešanu no Latvijas teritorijas var dokumentāri pamatot.
39. Ja nodokļa maksātājs Latvijas teritorijā realizē vai izmanto savas saimnieciskās darbības nodrošināšanai preces atkārtoti lietotā iepakojumā, nodoklis par šo iepakojumu nav jāmaksā, ja atkārtoti lietotā iepakojuma materiāla veidu un svaru var dokumentāri pamatot.
40. Nodokli par preču iepakojumu aprēķina, summējot saskaņā ar likuma 8.pielikumā noteiktajām nodokļa likmēm aprēķināto nodokļa summu par katru iepakojuma materiāla veidu (tai skaitā par primāro, sekundāro un terciāro (transporta) iepakojumu) atbilstoši Iepakojuma likumam.
41. Ja atsevišķam iepakojuma veidam (tai skaitā primārajam, sekundārajam un terciārajam (transporta) iepakojumam) 95 % no tā svara veido pamatmateriāls, nodokli aprēķina par katra attiecīgā iepakojuma veida kopējo iepakojumā lietoto materiālu svaru, piemērojot likuma 8.pielikumā pamatmateriālam noteikto nodokļa likmi.
42. Iepakojuma materiāliem, kas neatbilst nevienai no likuma 8.pielikumā minētajām materiālu grupām, piemēro likuma 8.pielikuma 6.pozīcijai noteikto likmi.
43. Realizējot iepakojumu kopā ar precēm (tai skaitā primāro, sekundāro un terciāro (transporta) iepakojumu), iepakojumu apliek ar nodokli neatkarīgi no norēķinu veida. Iepakojumu, ko pircēja ērtības vai reklāmas noformējuma dēļ iepakotu vai neiepakotu preču vai produktu kopumam (pirkumam) pievieno tirgotājs, apliek ar nodokli neatkarīgi no norēķinu veida.
44. Desu izstrādājumu apvalki, stiprinājumi, sieru vasks, tējas filtrpapīra maisiņi un tam pievienotās sastāvdaļas, kā arī plastikāta kartes (to skaitā algu kartes, kredītkartes, kartes telesakaru nodrošināšanai) nav iepakojums, un tos ar nodokli neapliek.
45. Ja nodokļa maksātājs precei pievieno tikai etiķeti, dabas resursu nodoklis nav jāmaksā.
46. Neatkarīgi no lietojuma veida kosmētikas, parfimērijas, sadzīves ķīmijas, farmaceitisko un tabakas izstrādājumu iepakojumu apliek ar nodokli atbilstoši likuma 9.panta ceturtajai daļai un likuma 8.pielikumam.
47. Par iepakojuma apjomu, kurš nav pārstrādāts vai reģenerēts saskaņā ar Iepakojuma likumā un citos iepakojuma apsaimniekošanu regulējošajos normatīvajos aktos noteiktajām izlietotā iepakojuma pārstrādes vai reģenerācijas normām attiecīgajā gadā, nodokli nākamajā gadā aprēķina un maksā, papildus pamatlikmei piemērojot papildlikmi trīskārtīgā apmērā.
48. Nodokļa maksātājs nodokli par iepakojuma apjomu, kas nav pārstrādāts vai reģenerēts, aprēķina un samaksā pēc tam, kad nodokļa maksātājs iesniedzis reģionālajā vides pārvaldē vai Ietekmes uz vidi novērtējuma valsts birojā Iepakojuma likumā noteikto ikgadējo ziņojumu. Nodokļa maksājumus par preču iepakojumu, papildus pamatlikmei piemērojot papildlikmi trīskārtīgā apmērā atbilstoši likuma 6.pantam, par iepriekšējo gadu veic līdz nākamā gada 20.jūlijam un norāda pārskatā par otro ceturksni 3.veidlapas 9.ailē.
49. Reģionālā vides pārvalde vai Ietekmes uz vidi novērtējuma valsts birojs pārbauda noteikto izlietotā iepakojuma pārstrādes vai reģenerācijas normu ievērošanu pēc ikgadējā ziņojuma iesniegšanas. Ja reģionālā vides pārvalde, pārbaudot ikgadējo ziņojumu, konstatē, ka izlietotā iepakojuma pārstrādes vai reģenerācijas normas nav izpildītas, vides valsts inspektors sastāda pārbaudes aktu un iepazīstina ar to nodokļa maksātāju. Pārbaudes aktu un lēmumu par papildus budžetā maksājamo nodokļa summu reģionālā vides pārvalde vai Ietekmes uz vidi novērtējuma valsts birojs iesniedz attiecīgajā Valsts ieņēmumu dienesta teritoriālajā iestādē, norādot papildus aprēķinātās summas samaksas termiņu, ja nodokļa maksātājs maksājumus jau nav veicis atbilstoši šo noteikumu 48.punktam. Nodokļa maksātājam nodokļa papildu maksājumi atbilstoši pārbaudes aktam jāveic 20 dienu laikā pēc iepazīšanās ar pārbaudes aktu.
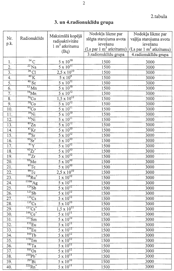
50. Nodokli par radioaktīvajām vielām aprēķina, pamatojoties uz likuma 9.pielikumā un šo noteikumu 7.pielikumā noteiktajām likmēm un ņemot vērā šādus nosacījumus:
50.1. nodokli par radioaktīvo vielu izmantošanu aprēķina proporcionāli to radioaktīvo atkritumu radioaktivitātei, kuri radīsies pēc radioaktīvo vielu izmantošanas, saskaņā ar attiecīgo nodokļa likmi, bet nodoklis nav mazāks par 0,001 likmi no 1. līdz 6.radionuklīdu grupai un 0,2 likmi 7.radionuklīdu grupai;
50.2. ja vienlaikus tiek izmantots vaļējs radioaktīvā starojuma avots un slēgts radioaktīvā starojuma avots, nodokli aprēķina katram radioaktīvā starojuma avotam atsevišķi, ņemot vērā šo noteikumu 50.1.apakšpunktā minētos nosacījumus.
51. Ja nodokļa maksātājs nodokli maksā par radioaktīvajām vielām, Valsts ieņēmumu dienesta teritoriālā iestāde pēc pārskata (5.pielikums) saņemšanas pieprasa no Radiācijas drošības centra informāciju, vai nodokļa maksātājs saņēmis speciālu atļauju (licenci) darbībām ar radioaktīvajām vielām.
52. Nodokli par transportlīdzekļiem, uz kuriem attiecas Nolietotu transportlīdzekļu apsaimniekošanas likuma 3.panta pirmā daļa un kuri Latvijas Republikā tiek reģistrēti pirmo reizi, fiziskās un juridiskās personas samaksā pēc transportlīdzekļa agregāta numuru salīdzināšanas Ceļu satiksmes drošības direkcijā, bet pirms attiecīgā transportlīdzekļa reģistrēšanas.
53. Persona nodokli par transportlīdzekli samaksā kredītiestādē, ieskaitot to attiecīgajā valsts budžeta kontā, vai Ceļu satiksmes drošības direkcijā. Līdzekļus, kas iegūti no nodokļa maksājumiem, Ceļu satiksmes drošības direkcija, neieskaitot tos savā norēķinu kontā, triju dienu laikā iemaksā noteiktā valsts budžeta kontā. Nodokļa iekasēšanas izdevumus sedz nodokļa maksātājs. Iekasējot nodokli, maksātājam izsniedz dokumentu, kurā ir norādīta informācija par maksātāju, transportlīdzekli un samaksātā nodokļa apmēru.
54. Reģistrējot transportlīdzekli Ceļu satiksmes drošības direkcijā, persona iesniedz maksājuma dokumentu, kurš apliecina nodokļa samaksu. Ceļu satiksmes drošības direkcija nereģistrē transportlīdzekli, ja nav samaksāts nodoklis likumā noteiktajā apmērā.
55. Ja persona ar vienu maksājuma dokumentu maksā nodokli par vairākiem reģistrējamiem transportlīdzekļiem, maksājuma dokumentam pievieno sarakstu, kurā norāda transportlīdzekļa marku, modeli un izgatavošanas gadu. Minēto sarakstu paraksta transportlīdzekļu īpašnieks.
IV. Nodokļa aprēķināšanas un maksāšanas kārtība par nelikumīgo vai pārskatā nenorādīto (slēpto) dabas resursu ieguvi un izmantošanu, vidē novadītā piesārņojuma, realizēto vai savas saimnieciskās darbības nodrošināšanai izmantoto videi kaitīgo preču, preču iepakojuma un radioaktīvo vielu apjomu
56. Pamatojoties uz Vides valsts inspekcijas vai reģionālās vides pārvaldes lēmumu par papildus aprēķināto nodokļa summu par nelikumīgo vai pārskatā nenorādīto (slēpto) dabas resursu ieguves un izmantošanas veidu un apjomu un vidē novadītā piesārņojuma veidu un apjomu, Valsts ieņēmumu dienests papildus nesamaksātajai nodokļa summai piedzen no nodokļa maksātāja soda naudu divkārtīgā nesamaksātā nodokļa apmērā, ko aprēķina šādi:
56.1. par pārskatā nenorādīto (slēpto) dabas resursu ieguves un izmantošanas apjomu un vidē novadītā piesārņojuma apjomu, kas nepārsniedz limitu (kvotu), — summējot pamatlikmi un soda naudu, ko veido pamatlikme divkārtīgā apmērā (kopā — trīskārtīgā pamatlikmes apmērā);
56.2. par pārskatā nenorādīto (slēpto) dabas resursu ieguves un izmantošanas apjomu un vidē ievadītā piesārņojuma apjomu, kas pārsniedz limitu (kvotu), — summējot pamatlikmi, papildlikmi trīskārtīgā pamatlikmes apmērā un soda naudu, ko veido nesamaksātais nodoklis divkārtīgā apmērā (kopā — divpadsmitkārtīgā pamatlikmes apmērā);
56.3. par dabas resursu ieguves un izmantošanas apjomu, vidē novadītā piesārņojuma apjomu, ja minētās darbības veiktas bez attiecīgas atļaujas (licences), — summējot pamatlikmi, papildlikmi trīskārtīgā pamatlikmes apmērā un soda naudu, ko veido nesamaksātais nodoklis divkārtīgā apmērā (kopā — divpadsmitkārtīgā pamatlikmes apmērā par visu apjomu).
57. Pamatojoties uz Valsts ieņēmumu dienesta konstatēto pārskatā neuzrādīto (slēpto) realizēto vienreiz lietojamo trauku un galda piederumu apjomu, realizēto vai savas saimnieciskās darbības nodrošināšanai izmantoto videi kaitīgo preču, preču iepakojuma vai izmantoto radioaktīvo vielu apjomu, Valsts ieņēmumu dienests papildus nesamaksātajai nodokļa summai piedzen no nodokļa maksātāja soda naudu divkārtīgā nesamaksātā nodokļa apmērā, ko aprēķina šādi:
57.1. par pārskatā neuzrādīto (slēpto) izmantoto radioaktīvo vielu apjomu, kas nepārsniedz limitu, — summējot pamatlikmi un soda naudu, ko veido pamatlikme divkārtīgā apmērā (kopā — trīskārtīgā pamatlikmes apmērā);
57.2. par izmantoto radioaktīvo vielu apjomu, ja minētā darbība veikta bez attiecīgas speciālās atļaujas (licences), — summējot pamatlikmi, papildlikmi trīskārtīgā pamatlikmes apmērā un soda naudu, ko veido nesamaksātais nodoklis divkārtīgā apmērā (kopā — divpadsmitkārtīgā pamatlikmes apmērā par visu apjomu);
57.3. par pārskatā neuzrādīto (slēpto) realizēto vai savas saimnieciskās darbības nodrošināšanai izmantoto videi kaitīgo preču, preču iepakojuma apjomu, — summējot pamatlikmi, papildlikmi trīskārtīgā pamatlikmes apmērā un soda naudu, ko veido nesamaksātais nodoklis divkārtīgā apmērā (kopā — divpadsmitkārtīgā pamatlikmes apmērā par visu apjomu).
58. Ja nodokļa maksātājs nevar pamatot iepakojuma materiāla veidu un svaru ar šajos noteikumos noteiktajiem uzskaites dokumentiem, pēc Valsts ieņēmumu dienesta pieprasījuma atzinumu par nodokļa maksātāja realizēto vai savas saimnieciskās darbības nodrošināšanai izmantoto preču iepakojuma materiāla veidu un svaru izsniedz šo noteikumu 36.punktā minētā institūcija.
V. Kārtība, kādā saņemamas nodokļa atlaides
59. Lai saņemtu nodokļa atlaides, nodokļa maksātājs iesniedz Vides ministrijā:
59.1. iesniegumu par nodokļu atlaides piešķiršanu (9.pielikums);
59.2. projekta dokumentāciju kopā ar projekta īstenošanas kalendāra plānu.
60. Vides ministrija no Valsts ieņēmumu dienesta pieprasa izziņu, kas apliecina, ka šo noteikumu 59.punktā minētajai personai nav nodokļu parādu un valsts nodevu parādu.
61. Vides ministrija piecu darbdienu laikā pēc iesnieguma saņemšanas rakstiski informē iesniedzēju par nepieciešamo papildu informāciju, ja nav iesniegta visa šo noteikumu 59.punktā minētā informācija vai iesniegtā informācija ir nepietiekama, lai Vides ministrija varētu sniegt atzinumu par projektu. Par iesnieguma pieņemšanas dienu uzskatāma diena, kad nodokļa maksātājs ir iesniedzis visu šajos noteikumos noteikto informāciju iesnieguma izvērtēšanai.
62. Vides ministrija pēc iesnieguma pieņemšanas sniedz atzinumu par projektu un nosūta to Finanšu ministrijai un attiecīgajai pašvaldībai, pievienojot šo noteikumu 59.1.apakšpunktā un 60.punktā minētos dokumentus (kopiju). Vides ministrija atzinumā par projektu norāda maksimālo summu, par kuru nodokļa maksātājam var piešķirt nodokļa atlaidi no katra līmeņa budžeta saskaņā ar likuma 16.panta trešo daļu. Atzinumu par projektu nosūta arī nodokļa maksātājam.
63. Lēmumu par nodokļa atlaides piešķiršanu no valsts pamatbudžeta pieņem Finanšu ministrija 10 darbdienu laikā pēc šo noteikumu 62.punktā minēto dokumentu saņemšanas dienas. Lēmumu par nodokļa atlaides piešķiršanu no pašvaldību vides aizsardzības speciālā budžeta pieņem attiecīgā pašvaldība atbilstoši nodokļa ieņēmumu sadalījumam 10 darbdienu laikā pēc šo noteikumu 62.punktā minēto dokumentu saņemšanas.
64. Nodokļa atlaidi piešķir maksimāli tādā procentuālā apmērā, par kādu paredzēts piesārņojuma samazinājums pēc projekta pilnīgas īstenošanas, ievērojot šo noteikumu 62.punktā minētajā atzinumā norādīto. Lēmumā nosaka summu, par kuru piešķirta nodokļa atlaide, un norāda, kā nodokļa atlaide sadalāma pa maksājumu termiņiem.
65. Lēmuma kopiju par nodokļa atlaides piešķiršanu nosūta Vides ministrijai un Valsts ieņēmumu dienestam.
66. Lēmums par nodokļa atlaides piešķiršanu ir spēkā vienu gadu, un nodokļa atlaidi piemēro, sākot ar nākamo ceturksni pēc lēmuma pieņemšanas.
67. Ja projekta īstenošanas laikā maksātājam rodas nodokļu parādi, nodokļa atlaides piemērošanu pārtrauc ar dienu, kad Valsts ieņēmumu dienests konstatējis minētos parādus. Valsts ieņēmumu dienesta teritoriālā iestāde ne vēlāk kā 10 dienu laikā pēc nodokļu parādu konstatēšanas informē par to nodokļa maksātāju, Finanšu ministriju, attiecīgo pašvaldību un Vides ministriju.
68. Sešas nedēļas pirms noteiktā nodokļa atlaides piemērošanas termiņa beigām nodokļa maksātājs iesniedz Vides ministrijā informāciju par projekta īstenošanas gaitas atbilstību plānam. Mēneša laikā pēc attiecīgās informācijas iesniegšanas Vides ministrija sniedz atzinumu par kārtējās nodokļa atlaides piešķiršanu.
69. Kārtējo nodokļa atlaidi piešķir šo noteikumu 59., 60., 61., 62., 63., 64. un 65.punktā noteiktajā kārtībā.
70. Ja saskaņā ar šo noteikumu 68.punktu sniegtais atzinums ir negatīvs, Vides ministrija informē par to Valsts ieņēmumu dienestu, un Valsts ieņēmumu dienests nosaka iepriekš piešķirto atlaižu summu atmaksas termiņu. Pēc noteiktā termiņa beigām Valsts ieņēmumu dienests veic neatmaksāto atlaižu summu piedziņu saskaņā ar likuma 16.panta piekto daļu un aprēķina nokavējuma naudu kā par nodokļa parādu saskaņā ar likumu “Par nodokļiem un nodevām”.
VI. Kārtība, kādā daļēji atmaksā nodokli par videi kaitīgu preču atkritumu pārstrādi vai reģenerāciju
71. Samaksāto nodokli, piešķirot subsīdijas komersantiem, kuri veic videi kaitīgu preču atkritumu pārstrādi vai reģenerāciju, vai šo atkritumu izvešanu pārstrādei vai reģenerācijai ārpus Latvijas Republikas teritorijas, atmaksā saskaņā ar likuma 17.pantu.
72. Subsīdiju apmēru nosaka atbilstoši komersanta faktiski pārstrādātajam vai reģenerētajam, vai ārpus Latvijas teritorijas pārstrādei vai reģenerācijai izvestajam videi kaitīgo preču atkritumu apjomam.
73. Latvijas vides aizsardzības fonda administrācija (turpmāk — fonda administrācija) katru gadu izsludina atklātu konkursu komersantiem subsīdiju saņemšanai atbilstoši šo noteikumu 71.punktam.
74. Lai saņemtu subsīdijas fonda administrācijas izsludinātā konkursa kārtībā, komersants iesniedz iesniegumu, kā arī dokumentus, kas apliecina:
74.1. komersanta darbības atbilstību normatīvajos aktos noteiktajām vides prasībām;
74.2. tehnisku iespēju kontrolēt un dokumentēt tehnoloģiskā procesa parametrus, arī reāli pārstrādāto izejvielu (tai skaitā videi kaitīgo preču atkritumu) apjomu;
74.3. komersanta gatavību finansiāli patstāvīgi nodarboties ar videi kaitīgo preču atkritumu pārstrādi — biznesa plānu un audita atzinumu par komersanta finansiālo stāvokli;
74.4. videi kaitīgo preču atkritumu pārstrādes plānotos apjomus un minēto preču atkritumu sagādes avotus.
75. Fonda administrācija ar konkursa uzvarētājiem slēdz līgumus, ņemot vērā valsts budžeta programmas “Latvijas vides aizsardzības fonds” tāmē kārtējam gadam noteiktos finanšu līdzekļus. Subsīdiju apmērs nedrīkst pārsniegt iepriekšējā gadā samaksātā nodokļa apjomu par videi kaitīgām precēm.
76. Fonda administrācijas un komersanta līgumā paredz videi kaitīgo preču atkritumu sagādes un pārstrādes vai reģenerācijas gada apjomus, faktiski pārstrādāto vai reģenerēto attiecīgo videi kaitīgo preču atkritumu apjomu tehniskās vai dokumentārās kontroles metodes, subsīdiju piešķiršanas termiņus un kārtību, kā arī citas komersantam izvirzāmās prasības.
77. Atbilstoši likuma 7.pielikumā minētajām nodokļa likmēm un atmaksājumu normatīviem komersants, ar kuru noslēgts līgums par attiecīgo videi kaitīgo preču atkritumu reģenerāciju vai pārstrādi, saņem šo noteikumu 71.punktā minētās subsīdijas šo noteikumu 10.pielikumā noteiktajā apmērā par katru faktiski reģenerēto vai pārstrādāto videi kaitīgo preču atkritumu vienību.
78. Nodokli par izlietoto smēreļļu pārstrādi vai reģenerāciju komersantiem atmaksā likuma 17.panta pirmajā daļā noteiktajā kārtībā:
78.1. par izlietoto smēreļļu reģenerāciju (gan par to pārstrādi, gan par mērķprogrammas īstenošanu) — kopā 100 % apmērā;
78.2. par izlietoto smēreļļu šo noteikumu 78.1.apakšpunktā neminēto cita veida pārstrādi — 80 % apmērā.
VII. Noslēguma jautājumi
79. Nodoklis par videi kaitīgu preču un par preču iepakojumā realizēšanu vai izmantošanu savas saimnieciskās darbības nodrošināšanai un par radioaktīvo vielu izmantošanu nav jāmaksā, ja nodokļa maksātājs var dokumentāri pamatot, ka par šo videi kaitīgo preču, preču iepakojumā un radioaktīvo vielu ievešanu un izlaišanu brīvam apgrozījumam Latvijas Republikas muitas teritorijā (importu) nodoklis ir samaksāts līdz 2004.gada 30.aprīlim.
80. Ja nodokļa maksātājs līdz 2004.gada 30.aprīlim ir aprēķinājis un samaksājis dabas resursu nodokli par videi kaitīgo preču vai preču iepakojumā izlaišanu brīvam apgrozījumam Latvijas Republikas muitas teritorijā un par šo videi kaitīgo preču vai preču iepakojumu nav iesniedzis pārskatu, nodokļa maksātājs līdz 2004.gada 20.jūlijam iesniedz Valsts ieņēmumu dienesta teritoriālajā iestādē pārskatu atbilstoši Ministru kabineta 2002.gada 18.jūnija noteikumu Nr.244 “Dabas resursu nodokļa aprēķināšanas un maksāšanas kārtība” 7.pielikumam.
81. Nodokļa maksātāji, uz kuriem neattiecas šo noteikumu 80.punkts, līdz 2004.gada 20.jūlijam iesniedz Valsts ieņēmumu dienesta teritoriālajā iestādē šādus pārskatus:
81.1. pārskatu par 2004.gada aprīlī aprēķināto nodokli saskaņā ar Ministru kabineta 2002.gada 18.jūnija noteikumu Nr.244 “Dabas resursu nodokļa aprēķināšanas un maksāšanas kārtība” 7.pielikumu;
81.2. pārskatu par 2004.gada maijā un jūnijā aprēķināto nodokli — saskaņā ar šo noteikumu 5.pielikumu.
82. Noteikumu 33.6.apakšpunkts stājas spēkā ar 2005.gada 1.janvāri.
Ministru prezidenta vietā — Ministru prezidenta biedrs A.Šlesers
Vides ministrs R.Vējonis
Redakcijas piebilde: noteikumi stājas spēkā ar 2004.gada 1.jūliju.