
Centrālās dzīvojamo māju privatizācijas komisijas ceturkšņa analīize
1. Dzīvojamo māju privatizācijā konvertētais valsts un pašvaldību īpašums
Valsts un pašvaldību dzīvojamo māju privatizācijā no procesa sākuma līdz 2000.gada 30.jūnijam privatizēti objekti kopsummā par 761,6 miljoniem latu, tajā skaitā 2000. gada II ceturksnī - par 37,0 miljoniem latu.
Dzīvojamo māju privatizācijā
konvertētais valsts un pašvaldību īpašums
| Rādītāji | Ieskaitīto | Konvertētais | Ieskaitīto | Konvertētais |
| sertifikātu | valsts un | sertifikātu | valsts un | |
| skaits | pašvaldību | skaits no | pašvaldību | |
| 2000.gada | īpašums | privatizācijas | īpašums no | |
| II ceturksnī | 2000.gada | sākuma | privatizācijas | |
| II ceturksnī (Ls) | sākuma (Ls) | |||
| 1. Dzīvokļu nodošana īpašumā | ||||
| līdz pašvaldības dzīvojamās | ||||
| mājas privatizācijai | 419944 | 11758432 | 15314248 | 428798944 |
| 2. Dzīvokļu nodošana īpašumā | ||||
| līdz valsts dzīvojamās | ||||
| mājas privatizācijai | 54325 | 1521100 | 2120874 | 59384472 |
| 3. Pašvaldību dzīvojamo | ||||
| māju privatizācija | 718640 | 20121920 | 8914043 | 249593204 |
| 4. Valsts dzīvojamo | ||||
| māju privatizācija | 96561 | 2703708 | 498648 | 13962144 |
| 5. Neapdzīvojamo telpu nodošana | ||||
| īpašumā līdz pašvaldības | ||||
| dzīvojamās mājas privatizācijai | 22013 | 616364 | 193205 | 5409740 |
| 6. Neapdzīvojamo telpu nodošana | ||||
| īpašumā līdz valsts dzīvojamās | ||||
| mājas privatizācijai | 10461 | 292908 | 157239 | 4402692 |
| Kopā | 1321944 | 37014432 | 27198257 | 761551196 |
2. Dzīvojamo māju statistika
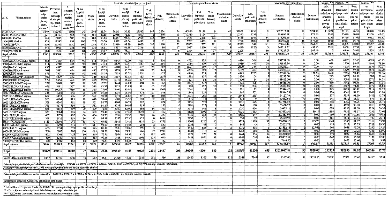
Saskaņā ar LR Valsts statistikas pārvaldes un Centrālās dzīvojamo māju privatizācijas komisijas (CDzMPK) rajonu pārstāvju sniegtajiem datiem par dzīvojamo fondu Latvijā ir 29 026 privatizējamās dzīvojamās mājas un 500 312 dzīvokļi, tajā skaitā 23 879 pašvaldību dzīvojamās mājas ar 450 819 dzīvokļiem un 5147 valsts dzīvojamās mājas ar 49 493 dzīvokļiem.
Pašvaldību dzīvojamais fonds*
| Māju | % no kopējā | Dzīvokļu | % no kopējā | ||||||
| skaits | māju skaita | skaits | dzīvokļu skaita | ||||||
| Valstī kopā | 23879 | 450819 | |||||||
| Republikas pilsētās | 9595 | 40 | 285506 | 63 | |||||
| Rīga | 5249 | 22 | 182307 | 40 | |||||
| Daugavpils | 1121 | 5 | 31750 | 7 | |||||
| Jelgava | 524 | 2 | 15096 | 3 | |||||
| Jūrmala | 939 | 4 | 12543 | 3 | |||||
| Liepāja | 1130 | 5 | 26335 | 6 | |||||
| Rēzekne | 344 | 1 | 8901 | 2 | |||||
| Ventspils | 288 | 1 | 8574 | 2 | |||||
| Rajonos | 14284 | 60 | 165313 | 37 | |||||
| Rajonu centru pilsētās | 3617 | 15 | 69875 | 16 | |||||
| Pārējās pilsētās un pagastos | 10667 | 45 | 95438 | 21 |
* - Pašvaldību dzīvojamais fonds saskaņā ar CDzMPK rajonu pārstāvju apkopoto informāciju.
Tā kā dažādos dokumentos ir atšķirīgi skaidrojumi par dzīvojamo ēku (māju) statusu un iedalījumu, precīzs dzīvojamo māju skaits nav zināms.
3. Valsts un pašvaldību dzīvojamo māju privatizācijas kopējie rādītāji
Saskaņā ar likumu "Par valsts un pašvaldību dzīvojamo māju privatizāciju" laika posmā līdz 2000.gada 30.jūnijam privatizācijai piedāvāti (t.sk. nodoti īpašumā līdz dzīvojamās mājas privatizācijai) 418 764 valsts un pašvaldību dzīvokļi jeb 83,75% no kopējā dzīvokļu skaita, t.sk. 2000.gada II ceturksnī - 19 134 dzīvokļi. Līdz 2000.gada 30.jūnijam privatizēti 286 433 dzīvokļi jeb 57,25% no kopējā dzīvokļu skaita.
4. Pašvaldību dzīvojamo māju privatizācijas sagatavošanas posms
Līdz 2000.gada 30.jūnijam zemes robežu iemērīšana un zemes robežplānu izgatavošana pasūtīta 22 998 pašvaldību dzīvojamām mājām, kas ir 96% no privatizācijai nododamo pašvaldību dzīvojamo māju skaita. Izpildīts - 21 071 pasūtījums.
Pasūtīto un izpildīto zemes robežu uzmērījumu
un robežu plānu skaits 2000.gada II ceturksnī
| Laika periods | Pasūtīto zemes robežu | Izpildīto |
| uzmērījumu un robežplānu skaits | pasūtījumu skaits | |
| Aprīlis | 140 | 266 |
| Maijs | 115 | 279 |
| Jūnijs | 276 | 417 |
| Kopā | 531 | 962 |
LR VZD nodaļām līdz 2000.gada 30.jūnijam pasūtīta 21 952 pašvaldību dzīvojamo māju inventarizācijas lietu izgatavošana, kas ir 92% no kopējā privatizējamo māju skaita. Izpildīti 21 194 pasūtījumi.
Pasūtīto un izpildīto inventarizācijas lietu skaits
2000.gada II ceturksnī
| Laika periods | Pasūtīto inventarizācijas | Izpildīto inventarizācijas |
| lietu skaits | lietu skaits | |
| Aprīlis | 254 | 309 |
| Maijs | 231 | 356 |
| Jūnijs | 782 | 785 |
| Kopā | 1 267 | 1 450 |
Zemesgrāmatā kā pašvaldības īpašums līdz 2000.gada 30.jūnijam reģistrētas 17 333, bet reģistrācijai iesniegtas 17 944 dzīvojamās mājas jeb 75% no kopējā māju skaita.
Zemesgrāmatā iesniegto un reģistrēto māju skaits
2000.gada II ceturksnī
| Laika periods | Reģistrācijai zemesgrāmatā | Zemesgrāmatā reģistrēto |
| iesniegto māju skaits | māju skaits | |
| Aprīlis | 310 | 329 |
| Maijs | 520 | 533 |
| Jūnijs | 661 | 594 |
| Kopā | 1 491 | 1 456 |
Privatizācijas procesa veicināšanai, saskaņā ar likuma "Par valsts un pašvaldību dzīvojamo māju privatizāciju" 67. pantu, CDzMPK palīdzēja pašvaldībām apmaksāt šādus privatizācijas izdevumus:
* zemes robežu plānu un inventarizācijas lietu izgatavošana;
* arhīva izziņu pasūtīšana;
* kancelejas nodevas Zemesgrāmatai samaksa;
* citas izmaksas.
Apmaksas pamatprincipi:
- pašvaldības lūgums apmaksāt dzīvojamo māju privatizācijas sagatavošanas rēķinus ar klāt pievienotām darbu izpildes tāmēm;
- pašvaldības īpašumā nav dzīvojamās mājās esošu neapdzīvojamo telpu vai visas neapdzīvojamās telpas ir piedāvātas privatizācijai.
Saskaņā ar likuma "Par valsts un pašvaldību dzīvojamo māju privatizāciju" 74.panta 1.daļu līdz 2000.gada 1.jūlijam privatizācijai bija jānodod visas pašvaldību dzīvojamās mājas. Ņemot vērā iepriekš minēto, CDzMPK no 2000.gada 1.jūlija pārtrauc rēķinu apmaksu pašvaldībām par dzīvojamo māju sagatavošanu privatizācijai.
5. Pašvaldību dzīvojamo māju privatizācijas process
Dzīvojamo māju privatizācijā sagatavotas un privatizācijai piedāvātas 16 826 dzīvojamās mājas, privatizācijas paziņojumi izsūtīti 230 116 pašvaldību dzīvokļu īrniekiem, bet 60 433 paziņojumi par pirkuma līguma slēgšanu izsūtīti personām, kuras dzīvokļus ieguvušas īpašumā līdz dzīvojamās mājas privatizācijai. 2000.gada II ceturksnī privatizācijai piedāvātas 1537 dzīvojamās mājas un 21 990 dzīvokļi, no tiem 9481 dzīvoklis iegūts īpašumā līdz dzīvojamās mājas privatizācijai. Līdz dzīvojamās mājas privatizācijai ar pašvaldības lēmumu īpašumā nodoti 152 717 dzīvokļi, t.sk. 2000.gada II ceturksnī - 3325 dzīvokļi.
Īpašuma attiecības sakārtotas 24 487 par pajām privatizēto dzīvokļu īpašniekiem.
Laika posmā līdz 2000.gada 30.jūnijam privatizēti 260 246 pašvaldību dzīvokļi jeb 57,7% no kopējā pašvaldību dzīvokļu skaita. 2000.gada II ceturksnī privatizēti 14 922 dzīvokļi.
Privatizācijai nodoto pašvaldību māju, privatizācijai
piedāvāto dzīvokļu, dzīvojamo māju privatizācijā
un līdz dzīvojamās mājas privatizācijai īpašumā nodoto
dzīvokļu skaits 2000.gada II ceturksnī
| Laika periods | Privatizācijai nodoto | Privatizācijai piedāvāto | Īpašumā nodoto |
| māju skaits | dzīvokļu skaits kopā | dzīvokļu skaits kopā | |
| Aprīlis | 308 | 3 372 | 4 001 |
| Maijs | 511 | 7 085 | 6 764 |
| Jūnijs | 718 | 5 377 | 4 157 |
| Kopā | 1 537 | 15 834 | 14 922 |
Laika posmā līdz 2000.gada 30.jūnijam pašvaldību domes un padomes (neskaitot 7 republikas nozīmes pilsētas) pieņēmušas lēmumu par 13 241 dzīvojamās mājas nodošanu privatizācijai. Šīs mājas veido 93% no kopējā šo pašvaldību dzīvojamo māju skaita.
Atbilstoši CDzMPK apkopotajiem orientējošajiem rādītājiem, privatizācijai ar pašvaldību domes vai padomes lēmumu nav nodotas dzīvojamās mājas, kas atrodas tiesvedībā (~3%), kā arī dzīvojamās mājas, kuru sagatavošanu privatizācijai kavē nesakārtotie zemes jautājumi (~4%).
Dzīvojamo māju privatizācijā Latvijas rajonos privatizācijai piedāvāti 89,19% dzīvokļu. Labākie rajoni: Tukuma rajons, kur privatizācijai piedāvāti 99,9% dzīvokļu, Preiļu, Kuldīgas un Krāslavas rajons - 99%, Cēsu un Ogres rajons - 98%, Rēzeknes, Balvu, Ludzas un Limbažu rajons - 97%, Bauskas rajons - 96%, Valmieras, Gulbenes un Saldus rajons - 95%, Talsu rajons - 94%, Aizkraukles rajons - 92% un Alūksnes rajons - 91procents.
Privatizācijai visus dzīvokļus piedāvājusi 221 pašvaldība:
- Aizkraukles rajonā - Aizkraukles un Jaunjelgavas pilsēta, Aiviekstes un Sērenes pagasts,
- Alūksnes rajonā - Apes lauku teritorija, Ilzenes, Jaunannas, Kalncempju, Malienas, Mārkalnes un Zeltiņu pagasts,
- Balvu rajonā - Balvu un Viļakas pilsētas, Baltinavas, Bērzkalnes, Krišjāņu, Kupravas, Lazdukalna, Tilžas, Vectilžas un Vecumu pagasts,
- Bauskas rajonā - Bauskas pilsēta, Bārbeles, Ceraukstes, Dāviņu, Īslīces, Stelpes un Vecsaules pagasts,
- Cēsu rajonā - Drabešu, Dzērbenes, Jaunpiebalgas, Inešu, Liepas, Mārsnēnu, Mores, Priekuļu, Raiskuma, Stalbes, Straupes, Taurenes, Vecpiebalgas un Zosēnu pagasts,
- Daugavpils rajonā - Ambeļu, Bebrenes, Biķernieku, Dubnas, Kalupes, Laucesas, Maļinovas, Nīcgales, Skrudalienas, Sventes, Pilskalnes un Vecsalienas pagasts,
- Dobeles rajonā - Bērzes, Bukaišu, Naudītes, Penkules, Tērvetes un Vītiņu pagasts,
- Gulbenes rajonā - Rankas pagasts,
- Jelgavas rajonā - Ozolnieku un Vircavas pagasts,
- Jēkabpils rajonā - Ābeļu, Dignājas, Leimaņu, Mežāres, Rites, Salas, Saukas un Zasas pagasts,
- Krāslavas rajonā - Dagdas pilsētas, Andrupenes, Andzeļu, Asūnes, Bērziņu, Dagdas, Grāveru, Izvaltas, Kaplavas, Kastuļinas, Konstantinovas, Krāslavas, Robežnieku, Skaistas, Šķeltovas un Ūdrīšu pagasts,
- Kuldīgas rajonā - Kuldīgas pilsēta, Gudenieku, Īvandes, Kurmāles, Laidu, Padures, Raņķu, Rendas, Rudbāržu, Rumbas, Turlavas un Vārmes pagasts,
- Liepājas rajonā - Gramzdas, Grobiņas, Kalvenes, Medzes, Priekules un Tadaiķu pagasts,
- Limbažu rajonā - Alojas pilsēta, Katvaru, Lēdurgas, Liepupes, Limbažu, Pāles, Skultes un Vidrižu pagasts,
- Ludzas rajonā - Zilupes pilsēta, Cirmas, Isnaudas, Lauderu, Līdumnieku, Mērdzenes, Nautrēnu, Pasienes, Pušmucovas, Salnavas un Zaļesjes pagasts,
- Madonas rajonā - Madonas un Cesvaines pilsētas, Barkavas, Bērzaunes, Jumurdas, Kalsnavas un Mētrienas pagasts,
- Ogres rajonā - Ķeguma pilsēta,
- Preiļu rajonā - Preiļu pilsēta, Aglonas, Aizkalnes, Galēnu, Jersikas, Pelēču, Preiļu, Riebiņu, Rožkalnu, Rožupes, Rudzātu, Rušonu, Saunas, Silajāņu, Turku, Upmalas un Vārkavas pagasts,
- Rēzeknes rajonā - Audriņu, Čornajas, Feimaņu, Gaigalavas, Griškānu, Ilzeskalna, Kantinieku, Lendžu, Ozolaines, Pušas, Rikavas, Silmalas, Sokolu, Stoļerovas un Stružānu pagasts,
- Rīgas rajonā - Olaines pilsēta, Olaines un Siguldas pagasts,
- Saldus rajonā - Brocēnu pilsēta, Blīdenes, Ezeres, Jaunauces, Jaunlutriņu, Kursīšu, Lutriņu, Nīgrandes, Novadnieku, Pampāļu, Remtes, Rubas, Saldus, Šķēdes, Vadakstes, Zaņas, Zirņu un Zvārdes pagasts,
- Talsu rajonā - Talsu, Valdemārpils un Sabiles pilsētas, Dundagas, Īves, Ķūļciema, Lubes, Mērsraga un Valdgales pagasts,
- Tukuma rajonā - Kandavas pilsēta, Degoles, Džūkstes, Engures, Irlavas, Jaunpils, Jaunsātu, Lestenes, Pūres, Sēmes, Slampes, Smārdes, Tumes, Vānes, Viesatu, Zantes un Zentenes pagasts,
- Valkas rajonā - Valkas pilsēta, Launkalnes, Plāņu, Valkas un Variņu pagasts,
- Valmieras rajonā - Kauguru, Matīšu, Rencēnu un Valmieras pagasts.
Kopumā visveiksmīgāk dzīvojamo māju privatizācija tiek veikta rajonu centru pilsētās (neskaitot 7 republikas nozīmes pilsētas), kur privatizācijai sagatavotas un nodotas 3507 dzīvojamās mājas, privatizācijas paziņojumi izsūtīti 68 495 dzīvokļu īrniekiem, tas ir 98,03% no privatizējamo dzīvokļu skaita. Privatizācijai pilnībā piedāvāti dzīvokļi astoņās pilsētās - Aizkrauklē, Balvos, Bauskā, Kuldīgā, Madonā, Preiļos, Talsos un Valkā. Alūksnē, Cēsīs, Gulbenē, Krāslavā, Ludzā, Ogrē, Tukumā un Valmierā privatizācijai piedāvāti 99% dzīvokļu, Limbažos - 97%, Dobelē - 96%, Jēkabpilī un Saldū - 90 procenti.
Republikas nozīmes pilsētās ar domes lēmumu privatizācijai nodoto māju skaits (līdz 2000.gada 1.jūlijam)
| Pilsēta | Privatizējamo māju skaits kopā | Ar domes lēmumu privatizācijai nodoto māju skaits | Zemesgrāmatā reģistrēto māju skaits | Privatizācijai piedāvāto māju skaits | % no kopējā māju skaita |
| Rīga | 5249 | 1563 | 2739 | 1246 | 23,74 |
| Daugavpils | 1121 | 554 | 461 | 551 | 49,15 |
| Jelgava | 524 | 503 | 481 | 488 | 93,13 |
| Jūrmala | 939 | 939 | 722 | 625 | 66,56 |
| Liepāja | 1130 | 1130 | 1116 | 1084 | 95,93 |
| Rēzekne | 344 | 331 | 326 | 332 | 96,51 |
| Ventspils | 288 | 241 | 305 | 228 | 79,17 |
| Kopā | 9595 | 5261 | 6150 | 4554 | 47,46 |
Analizējot dzīvojamo māju privatizāciju raksturojošos rādītājus 7 republikas nozīmes pilsētās, var secināt, ka privatizācija kavējas Rīgā un Daugavpilī.
Rīgā ar domes lēmumu privatizācijai nodotas 1563 dzīvojamās mājas (29,78% no kopējā skaita), lai gan Rīgas dzīvojamo māju privatizācijas komisija sagatavojusi un uz pašvaldības vārda Zemesgrāmatā reģistrējusi 2739 dzīvojamās mājas, kas ir 52,18% no kopējā māju skaita. Rīgas Dome nav pieņēmusi lēmumu par 1176 privatizācijai sagatavotu dzīvojamo māju privatizāciju.
Daugavpils dzīvojamo māju privatizācijas komisija sagatavojusi un Daugavpils dome pieņēmusi lēmumu par privatizācijas uzsākšanu 554 dzīvojamām mājām, kas ir 49,4% no kopējā skaita. Dzīvojamo māju privatizācijas sagatavošanu kavē sarežģītā zemes piesaistes projektu izstrādes un saskaņošanas kārtība pašvaldībā, kas skaidrojama ar zemes īpašuma tiesību nesakārtotību. 1999.gadā Daugavpils dome no VAS "Latvijas dzelzceļš" pārņēma vairāk kā 200 dzīvojamās mājas, kas būtiski palielināja privatizējamo māju skaitu.
6. Valsts dzīvojamo māju privatizācijas sagatavošanas posms
Līdz 2000.gada 30.jūnijam zemes robežu iemērīšana un zemes robežplānu izgatavošana pasūtīta 4214 valsts dzīvojamām mājām jeb 82% no privatizācijai nododamo valsts dzīvojamo māju skaita. Izpildīti 3663 pasūtījumi.
Pasūtīto un izpildīto zemes robežu uzmērījumu
un robežu plānu skaits 2000.gada II ceturksnī
| Laika periods | Pasūtīto zemes robežu | Izpildīto |
| uzmērījumu un robežplānu skaits | pasūtījumu skaits | |
| Aprīlis | 18 | 252 |
| Maijs | 3 | 132 |
| Jūnijs | 98 | 170 |
| Kopā | 119 | 554 |
LR VZD nodaļām līdz 2000.gada 30.jūnijam pasūtīta 3942 valsts dzīvojamo māju inventarizācijas lietu izgatavošana, kas ir 77% no kopējā privatizējamo māju skaita. Izpildīts 3291 pasūtījums.
Pasūtīto un izpildīto inventarizācijas lietu skaits
2000.gada II ceturksnī
| Laika periods | Pasūtīto inventarizācijas | Izpildīto inventarizācijas | |
| lietu skaits | lietu skaits | ||
| Aprīlis | 63 | 194 | |
| Maijs | 70 | 166 | |
| Jūnijs | 127 | 176 | |
| Kopā | 260 | 536 |
Zemesgrāmatā kā valsts īpašums līdz 2000.gada 30.jūnijam reģistrētas 2319, bet reģistrācijai iesniegtas 2520 dzīvojamās mājas jeb 49% no kopējā māju skaita.
Zemesgrāmatā iesniegto un reģistrēto māju skaits
2000.gada II ceturksnī
| Laika periods | Reģistrācijai zemesgrāmatā | Zemesgrāmatā reģistrēto | |||
| iesniegto māju skaits | māju skaits | ||||
| Aprīlis | 261 | 314 | Maijs | 226 | 259 |
| Jūnijs | 215 | 253 | |||
| Kopā | 702 | 826 |
7. Valsts dzīvojamo māju privatizācijas process
Laikā līdz 2000.gada 30.jūnijam CDzMPK pieņēmusi lēmumu par 2047 dzīvojamo māju nodošanu privatizācijai, kas ir 40% no kopējā valsts dzīvojamo māju skaita. Privatizācijai piedāvātas 1987 dzīvojamās mājas, privatizācijas paziņojumi izsūtīti 14 741 valsts dzīvokļa īrniekam, bet 9585 paziņojumi par pirkuma līguma slēgšanu izsūtīti personām, kuras dzīvokļus ieguvušas īpašumā līdz dzīvojamās mājas privatizācijai. 2000.gada II ceturksnī privatizācijai piedāvātas 692 dzīvojamās mājas un 4544 dzīvokļi, no tiem 1809 dzīvokļi iegūti īpašumā līdz dzīvojamās mājas privatizācijai. Līdz dzīvojamās mājas privatizācijai ar CDzMPK lēmumu īpašumā nodoti 21 190 dzīvokļi, t.sk. 2000.gada II ceturksnī - 565 dzīvokļi.
Laika posmā līdz 2000.gada 30.jūnijam privatizēti 26 187 valsts dzīvokļi jeb 52,9% no kopējā valsts dzīvokļu skaita. 2000.gada II ceturksnī privatizēti 1670 dzīvokļi.
Privatizācijai nodoto valsts māju, privatizācijai
piedāvāto dzīvokļu, dzīvojamo māju privatizācijā
un līdz dzīvojamās mājas privatizācijai īpašumā
nodoto dzīvokļu skaits 2000.gada II ceturksnī
| Laika periods | Privatizācijai nodoto | Privatizācijai piedāvāto | Īpašumā nodoto |
| māju skaits | dzīvokļu skaits kopā | dzīvokļu skaits kopā | |
| Aprīlis | 217 | 649 | 569 |
| Maijs | 191 | 1 338 | 604 |
| Jūnijs | 284 | 1 313 | 497 |
| Kopā | 692 | 3 300 | 1 670 |
2000.gada II ceturksnī pieņemti 23 iesniegumi par neapdzīvojamo telpu nodošanu īpašumā līdz dzīvojamās mājas privatizācijai, 27 lēmums par šo telpu pirkuma maksu un 25 lēmumi par neapdzīvojamo telpu nodošanu īpašumā līdz dzīvojamās mājas privatizācijai. Šā gada II ceturksnī, nododot privatizācijai dzīvojamās mājas, par neapdzīvojamo telpu pirkuma maksu pieņemti 28 lēmumi un par 12 neapdzīvojamām telpām noslēgti pirkuma līgumi privatizējot dzīvojamo māju.
8. Dzīvojamo māju privatizācijas atlikušie apjomi
Pašvaldību dzīvojamo māju privatizācijas sagatavošanas posmā pēc 2000.gada 1.jūlija zemes robežu plāni jāizgatavo 3051 dzīvojamai mājai jeb 12,7% no kopējā māju skaita, inventarizācija jāveic 3109 dzīvojamām mājām (13%). Zemesgrāmatā kā pašvaldības īpašums jāreģistrē 6563 dzīvojamās mājas, tas ir 27,5% no kopējā māju skaita. Lielākais darbu apjoms veicams Rīgā, kur jāizgatavo 1430 zemes robežu plāni (27% no kopējā māju skaita), 1576 inventarizācijas lietas (30%), zemesgrāmatā jāreģistrē 2510 dzīvojamās mājas (47,8%). Daugavpilī jāizgatavo 364 zemes robežu plāni (32,4% no kopējā māju skaita), 352 inventarizācijas lietas (31,6%), zemesgrāmatā jāreģistrē 660 dzīvojamās mājas (58,8%). Minēto pilsētu dzīvojamo māju privatizācijas lēnie tempi ir skaidrojami ar pilsētas domju noteikto sarežģīto darbu saskaņošanas kārtību. Latvijas republikas rajonos jāizgatavo 1044 zemes robežu plāni (7,3%) un 988 inventarizācijas lietas (6,9%), zemesgrāmatā jāreģistrē 3101 dzīvojamā māja jeb 21,7% no kopējā māju skaita.
Valsts dzīvojamo māju privatizācijas sagatavošanā jāizpilda 1624 zemes robežu plāni (31,5%), 1888 inventarizācijas lietas (36,68%), zemesgrāmatā jāreģistrē 2828 dzīvojamās mājas (54,9%).
Pēc 2000.gada 1.jūlija privatizācijai vēl jāpiedāvā 81 548 valsts un pašvaldību dzīvokļi, tas ir 16,25% no kopējā dzīvokļu skaita. Tajā skaitā privatizācijai jāpiedāvā 7053 pašvaldību dzīvojamās mājas, privatizācijas paziņojumi jāizsūta 160 270 pašvaldību dzīvokļu īrniekiem. Šie dzīvokļi veido 35,6% no kopējā dzīvokļu skaita. Pēc 2000.gada 1.jūlija privatizācijai vēl jāpiedāvā 3160 valsts dzīvojamās mājas, privatizācijas paziņojumi jāizsūta 25 167 valsts dzīvokļu īrniekiem. Šie dzīvokļi veido 50,85% no kopējā dzīvokļu skaita.
Valsts un pašvaldību dzīvojamo māju privatizācijas gaita plašāk atspoguļota CDzMPK mājas lapā internetā (www.cpk.lv).
Priekšsēdētājs: Ziedonis Ziediņš
Apkopojis: Aivars Bāliņš
1. zīmējums. Valsts un pašvaldību dzīvojamā fonda privatizācija
līdz 2000. gada 30. jūnijam (no kopējā dzīvokļu skaita - 500
tūkst.)
2. zīmējums. Valsts un pašvaldību dzīvojamo māju
privatizācija
3. zīmējums. Valsts un pašvaldību dzīvokļu skaits, kas ar lēmumu
nodoti īpašumā līdz dzīvojamās mājas privatizāciaji (pa
ceturkšņiem)
4. zīmējums. Privatizācijai piedāvāto un privatizēto valsts un
pašvaldību dzīvokļu skaits (pa ceturkšņiem)
5.zīmējums. Līdz 2000.gada 1.jūlijam zemesgrāmatā reģistrēto
pašvaldību dzīvojamo māju skaits.
6.zīmējums. Pašvaldību dzīvojamo māju privatizācijas
sagatavošanas atlikušie apjomi
Par valsts un pašvaldību dzīvojamo māju privatizāciju valstī līdz 2000. gada 30. jūnijam