
Valsts galvenā pārtikas un veterinārā inspektora rīkojums Nr.83
Rīgā 2004.gada 16.aprīlī
Par veselības sertifikātu svaigas gaļas eksportam uz ES dalībvalstīm
Pamatojoties uz 1972.gada
12.decembra Eiropas Savienības Padomes direktīvu 72/462/EEC,
nosaku:
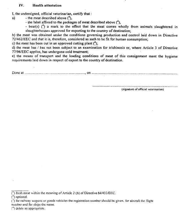
1. Svaigas gaļas eksportam uz Eiropas Savienības dalībvalstīm
izsniegt pielikumā noteiktās formas veselības sertifikātu (skat.
pielikumā).
2. Rīkojumu publicēt laikrakstā “Latvijas Vēstnesis”.
3. Rīkojums stājas spēkā ar parakstīšanas brīdi.
4. Kontrole pār rīkojuma izpildi tiek uzdota Pārtikas uzraudzības
departamenta direktoram E.Zavadskim un Sanitārās robežinspekcijas
priekšniecei I.Šicei-Trēdei.
Valsts galvenā pārtikas un veterinārā inspektora pienākumu izpildītājs M.Samohvalovs
Pielikums