
Valsts Veterinārais dienests
Rīkojums Nr.63 2000. gada 14. jūnijā
Par gaļas un gaļas produktu ievešanu Latvijas Republikā no Austrijas
Pamatojoties uz Ministru kabineta 1999. gada 11. maija noteikumu nr.174 "Kārtība, kādā ievedama gaļa" 22. pantu, nosaku:
1. Ar 2000. gada 26. jūniju Latvijas Republikā no Austrijas ir atļauts ievest gaļu un gaļas produktus, pamatojoties uz eksportētājvalsts pilnvarotas institūcijas izdotajiem noteikta parauga veterinārajiem sertifikātiem:
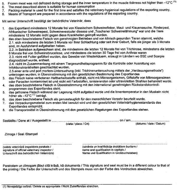
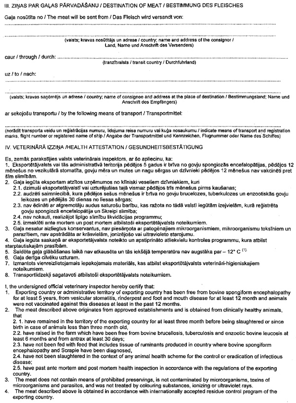
1.1. veterināro sertifikātu svaigas cūkgaļas ievešanai Latvijas Republikā (1.pielikums);
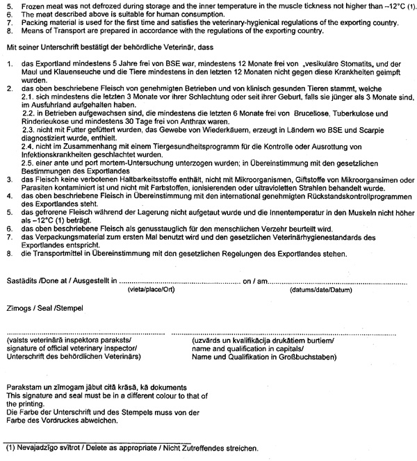
1.2. veterināro sertifikātu svaigas govju gaļas ievešanai Latvijas Republikā (2.pielikums);
2. Rīkojumu publicēt laikrakstā "Latvijas Vēstnesis".
3. Rīkojumu izsūtīt Sanitārajai robežinspekcijai un Zemkopības ministrijas Veterinārajam un pārtikas departamentam.
4. Kontroli pār rīkojuma izpildi uzdodu direktora vietniekam veterinārās uzraudzības jautājumos I.Celmam.
Valsts veterinārā dienesta direktors V.Veldre
1.pielikums
2.pielikums