
Valsts galvenā pārtikas un veterinārā inspektora rīkojums Nr.43
Rīgā 2004.gada 17.februārī
Par suņu un kaķu ievešanu Latvijas Republikā no Jaunzēlandes
Pamatojoties uz Veterinārmedicīnas likuma 20.panta 3.punktu, nosaku:
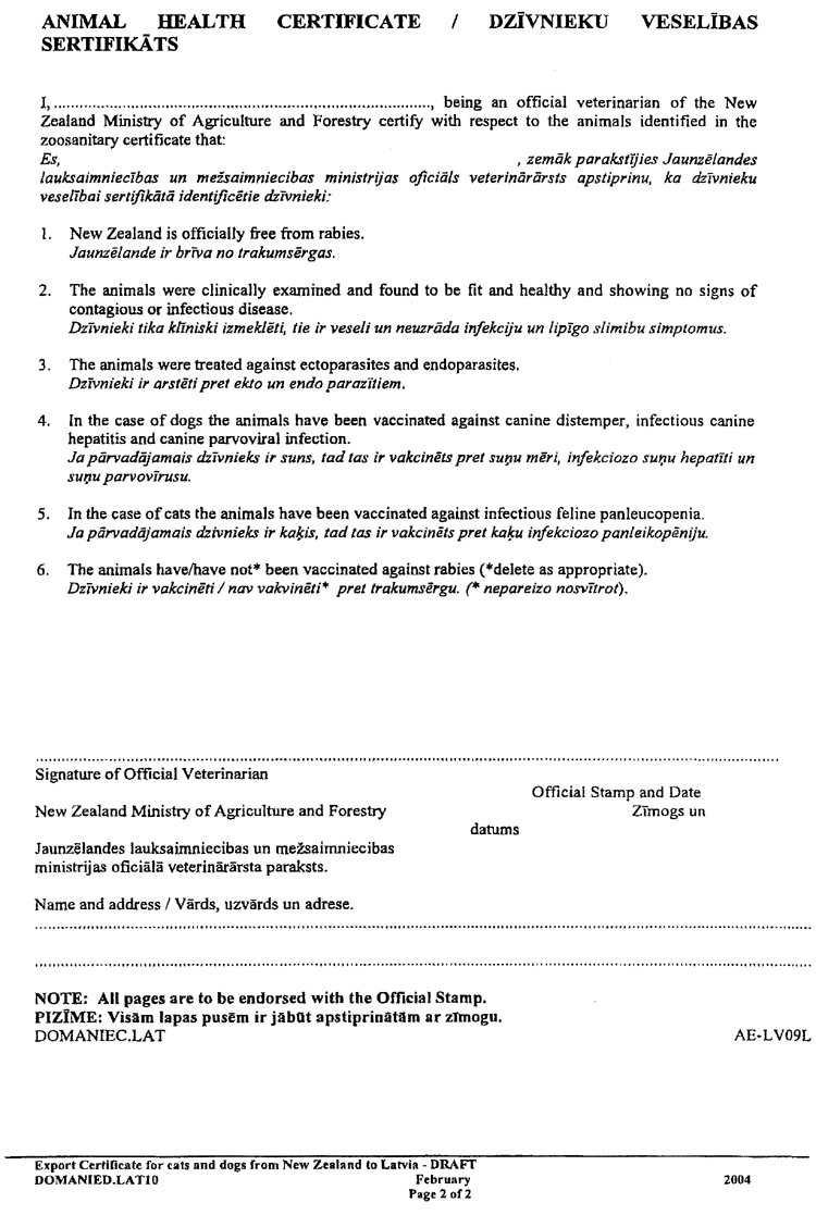
1. Latvijas Republikā suņus un kaķus atļauts ievest ar eksportētājvalsts kompetentās iestādes izdotu noteikta parauga veterināro (veselības) sertifikātu (pielikumā).
2. Sanitārajai robežinspekcijai kontrolēt veterinārā (veselības) sertifikāta suņu un kaķu ievešanai Latvijas Republikā atbilstību rīkojuma pielikumā noteiktajam paraugam.
3. Rīkojumu publicēt laikrakstā “Latvijas Vēstnesis”.
4. Rīkojums stājas spēkā ar tā parakstīšanas brīdi.
5. Kontroli pār rīkojuma izpildi uzdodu Veterinārās uzraudzības departamenta direktoram M.Samohvalovam un Sanitārās robežinspekcijas priekšniecei I.Šicei-Trēdei.
Valsts galvenais pārtikas un veterinārais inspektors V.Veldre
Pielikums