
Valsts galvenā pārtikas un veterinārā inspektora rīkojums Nr.314
Rīgā 2003.gada 29.decembrī
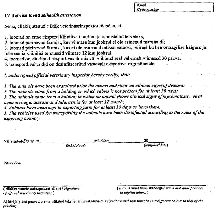
Par dzīvnieku veselības sertifikātu trušu izvešanai uz Igauniju
Pamatojoties uz Igaunijas
Veterinārā un pārtikas dienesta prasībām, nosaku:
1. Trušu izvešanai uz Igauniju izsniegt rīkojuma pielikumā
noteiktās formas sertifikātu.
2. Atcelt sertifikāta “Eksport 1” izsniegšanu trušu izvešanai uz
Igauniju.
3. Rīkojumu publicēt laikrakstā “Latvijas Vēstnesis”.
4. Rīkojums stājas spēkā ar parakstīšanas brīdi.
5. Kontroli pār rīkojuma izpildi uzdodu Veterinārās uzraudzības
departamenta direktoram M.Samohvalovam un Sanitārās
robežinspekcijas priekšniecei I.Šicei-Trēdei
Valsts galvenais pārtikas un
veterinārais inspektors V.Veldre
Pielikums