
Valsts galvenā pārtikas un veterinārā inspektora rīkojums Nr.290
Rīgā 2003. gada 28. novembrī
Par veselības sertifikātu piena un piena produktu ievešanai Latvijas Republikā no Dānijas
Pamatojoties uz Veterinārmedicīnas likuma 41. panta 2. punktu, nosaku:
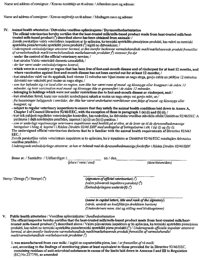
1. Pienu un piena produktus no Dānijas atļauts ievest Latvijas Republikā ar kompetentās institūcijas izdotu noteikta parauga veselības sertifikātu (skat. pielikumā).
2. Sanitārajai robežinspekcijai kontrolēt veselības sertifikāta atbilstību rīkojuma pielikumā noteiktajam paraugam.
3. Rīkojumu publicēt laikrakstā “Latvijas Vēstnesis”.
4. Rīkojums stājas spēkā nākamajā dienā pēc tā publicēšanas laikrakstā “Latvijas Vēstnesis”.
5. Kontroli pār rīkojuma izpildi uzdodu Pārtikas uzraudzības departamenta direktoram E. Zavadskim un Sanitārās robežinspekcijas priekšniecei I. Šicei-Trēdei.
Valsts galvenā pārtikas un veterinārā inspektora pienākumu izpildītājs M.Samohvalovs
Pielikums