
Valsts galvenā pārtikas un veterinārā inspektora rīkojums Nr.264
Rīgā 2003. gada 24. oktobrī
Par veterināro (veselības) sertifikātu zooloģiskā dārza dzīvnieku izvešanai uz Vāciju un Beļģiju
Pamatojoties uz Beļģijas un Vācijas veterināro dienestu prasībām un 2000. gada 5. septembra Ministru kabineta noteikumu Nr.309 “Dzīvnieku pārvadāšanas noteikumi” 6. punktu, nosaku:
1. Zooloģiskā dārza lapsu izvešanai uz Vāciju izsniegt rīkojuma 1.pielikumā noteiktā parauga veterināro sertifikātu.
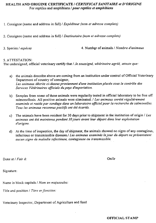
2. Zooloģiskā dārza rāpuļu izvešanai uz Beļģiju izsniegt rīkojuma 2.pielikumā noteiktā parauga sertifikātu.
3. Atcelt sertifikāta “Eksport 1” izsniegšanu zooloģiskā dārza lapsu izvešanai uz Vāciju un rāpuļu izvešanai uz Beļģiju.
4. Rīkojumu publicēt laikrakstā “Latvijas Vēstnesis”.
5. Rīkojums stājas spēkā ar parakstīšanas brīdi.
6. Kontrole pār rīkojuma izpildi tiek uzdota Dzīvnieku veselības un labturības departamenta direktoram M.Samohvalovam un Sanitārās robežinspekcijas priekšniecei I.Šicei–Trēdei.
Valsts galvenais pārtikas un veterinārais inspektors V.Veldre
1.pielikums
2.pielikums