
Valsts veterinārā dienesta rīkojums Nr.61
2000. gada 12. jūnijā
Par dzīvnieku barības ievešanu Latvijas Republikā
Lai noteiktu vienotas prasības dzīvnieku barības ievešanai Latvijas Republikā nosaku:
1. Ar 2000. gada 20. jūniju Latvijas Republikā ir atļauts ievest dzīvnieku barību tikai, pamatojoties uz šādiem eksportētājvalsts pilnvarotās institūcijas izdotajiem noteikta parauga veterinārajiem sertifikātiem:
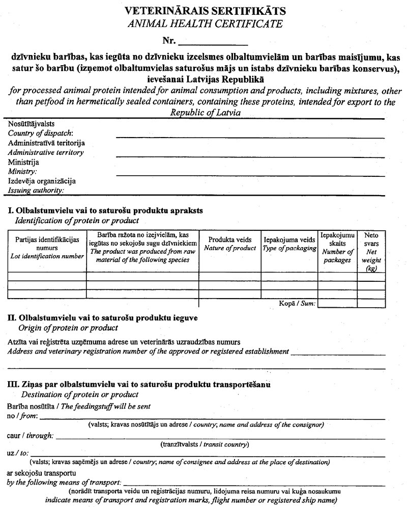
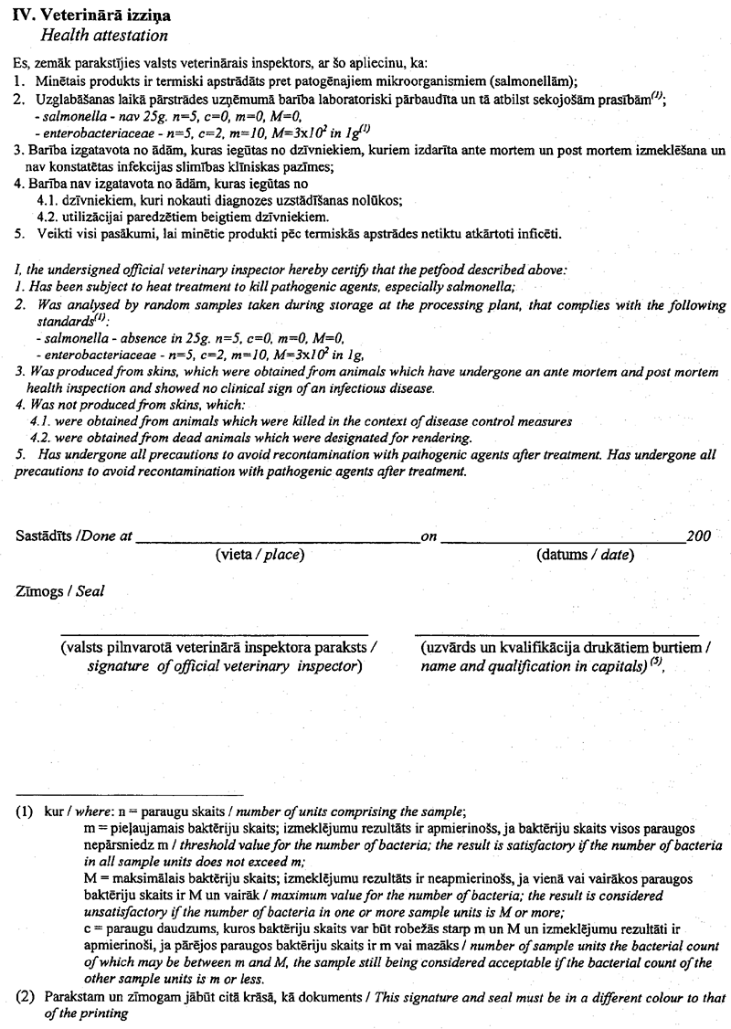
1.1. veterināro sertifikātu dzīvnieku barības, kas iegūta no dzīvnieku izcelsmes olbaltumvielām, t.sk. barības maisījumu, kas satur šo barību (izņemot olbaltumvielas saturošus mājas un istabas dzīvnieku barības konservus), ievešanai Latvijas Republikā (1. pielikums);
1.2. veterināro sertifikātu zivju un citu jūras dzīvnieku (izņemot jūras zīdītāju) miltu, t.sk. barības maisījumu, kas satur šos miltus (izņemot mājas un istabas dzīvnieku barību), ievešanai Latvijas Republikā (2. pielikums);
1.3. veterināro sertifikātu dzīvnieku barības, kas iegūta no zema riska olbaltumvielām (nesatur zīdītāju izcelsmes olbaltumvielas) un barības maisījumu, kas satur šo barību (izņemot mājas un istabas dzīvnieku barību), ievešanai Latvijas Republikā (3. pielikums);
1.4. veterināro sertifikātu mājas un istabas dzīvnieku sausās barības ievešanai Latvijas Republikā (4. pielikums);
1.5. veterināro sertifikātu mājas un istabas dzīvnieku barības konservu ievešanai Latvijas Republikā (5. pielikums);
1.6. veterināro sertifikātu mājas un istabas dzīvnieku pasterizētās barības ievešanai Latvijas Republikā (6. pielikums);
1.7. veterināro sertifikātu no nemiecētas viennadžu un pārnadžu ādas pagatavotas mājas un istabas dzīvnieku barības (košļājamās rotaļlietas) ievešanai Latvijas Republikā (7. pielikums).
2. Ar 2000. gada 20. jūniju spēku zaudē Valsts veterinārā departamenta prasības cūku kombinētās barības eksportētājvalstij un prasības suņu, kaķu, kažokzvēru barības un barības piedevu eksportētājvalsti (Valsts veterinārā departamenta vēstule Nr.21-1-13/1052, 05.09.1997.).
3.Rrīkojumu publicēt laikrakstā "Latvijas Vēstnesis".
4. Rīkojumu izsūtīt Sanitārajai robežinspekcijai un ZM Veterinārajam un pārtikas departamentam.
5. Kontroli pār rīkojuma izpildi paturu sev.
Valsts veterinārā dienesta direktors V.Veldre
1.pielikums
4.pielikums
5.pielikums
6.pielikums
7.pielikums