
Valsts galvenā pārtikas un veterinārā inspektora rīkojums Nr. 228
Rīgā 2003. gada 27. augustā
Par veselības sertifikātu zivju un zvejas produktu eksportam uz Honkongu
Pamatojoties uz Honkongas Pārtikas un apkārtējās vides higiēnas departamenta noteiktajām prasībām, nosaku:
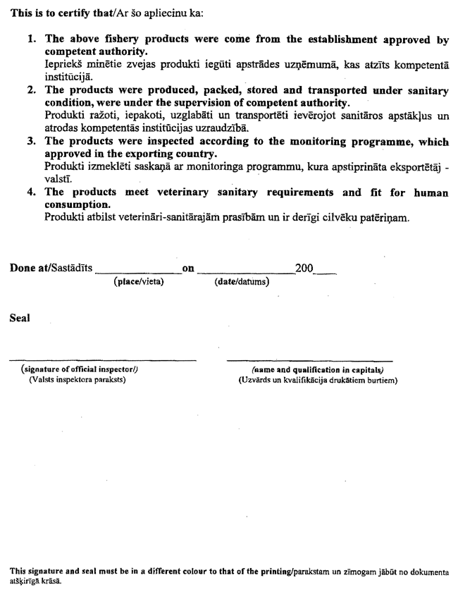
1. Zivju un zvejas produktu eksportam uz Honkongu izsniegt pielikumā noteiktās formas veselības sertifikātu (skat. pielikumā).
2. Atcelt “Eksport – 2” izsniegšanu zivju un zvejas produktu eksportam uz Honkongu.
3. Rīkojumu publicēt laikrakstā “Latvijas Vēstnesis”.
4. Rīkojums stājas spēkā ar parakstīšanas brīdi.
5. Kontroli pār rīkojuma izpildi uzdodu:
5.1. Pārtikas uzraudzības departamenta direktoram E.Zavadskim;
5.2. Sanitārās robežinspekcijas priekšniecei I.Šicei-Trēdei.
Valsts galvenais pārtikas un veterinārais inspektors V.Veldre
Pielikums