
Valsts galvenā pārtikas un veterinārā inspektora rīkojums Nr. 213
Rīgā 2003. gada 18. augustā
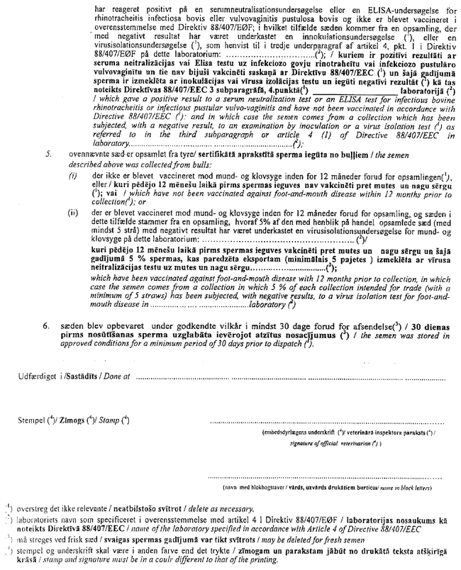
Par buļļu spermas ievešanu Latvijā no Dānijas
Pamatojoties uz Veterinārmedicīnas likuma 20.panta 3.punktu, nosaku:
1. Latvijas Republikā buļļu spermu no Dānijas atļauts ievest ar Dānijas Veterinārās un pārtikas administrācijas izdotu noteikta parauga veterināro (veselības) sertifikātu (pielikums).
2. Sanitārajai robežinspekcijai kontrolēt veterinārā (veselības) sertifikāta buļļu spermas eksportam no Dānijas uz Latviju atbilstību rīkojuma pielikumā noteiktajam paraugam.
3. Rīkojumu publicēt laikrakstā “Latvijas Vēstnesis”.
4. Rīkojums stājas spēkā ar tā parakstīšanas brīdi.
5. Kontroli pār rīkojuma izpildi uzdodu Dzīvnieku veselības un labturības departamenta direktoram I.Celmam un Sanitārās robežinspekcijas priekšniecei I.Šicei-Trēdei.
Valsts galvenā pārtikas un veterinārā inspektora pienākumu izpildītājs E.Zavadskis
Pielikums