
Valsts ieņēmumu dienesta rīkojums Nr.1019
Rīgā 2003. gada 30. jūnijā
Par “Tranzīta VAD (T1) formulāru aprites, tranzīta procedūras noslēgšanas un pretenziju iesniegšanas kārtību”
1. Apstiprinu “Tranzīta VAD (T1) formulāru aprites, tranzīta procedūras noslēgšanas un pretenziju iesniegšanas kārtību”.
2. Atzīt par spēku zaudējušu ar Valsts ieņēmumu dienesta 2002.gada 14.oktobra rīkojumu Nr.1990 “Par “TIR karnešu lapu un tranzīta VAD (T1) formulāru uzskaites un aprites kārtību”” apstiprinātas “TIR karnešu lapu un tranzīta VAD (T1) formulāru uzskaites un aprites kārtības” pirmo, trešo, ceturto un piekto daļu.
3. Rīkojumu publicēt laikrakstā “Latvijas Vēstnesis”.
4. Rīkojums stājas spēkā ar 2003.gada 1.jūliju.
Valsts ieņēmumu dienesta ģenerāldirektors K.Ketners
Tranzīta VAD (T1) formulāru aprites, tranzīta procedūras noslēgšanas un pretenziju iesniegšanas kārtība
I. Lietotie termini
1. Nosūtītāja muitas iestāde — saskaņā ar 2002.gada 3.septembra Ministru kabineta noteikumiem Nr.396 “Muitas procedūras — tranzīts — izpildes kārtība” ir muitas iestāde, kurā precēm tiek uzsākta tranzīta procedūras piemērošana.
2. Principāls — saskaņā ar Muitas likumu persona, kura pati vai ar pilnvarotā pārstāvja starpniecību, iesniedzot attiecīgo deklarāciju, uzņemas atbildību par tranzīta operācijas veikšanu.
3. Saņēmēja muitas iestāde — saskaņā ar Ministru kabineta 2002.gada 3.septembra noteikumiem Nr.396 “Muitas procedūras — tranzīts — izpildes kārtība” ir muitas iestāde, kurā precēm tiek pabeigta tranzīta procedūras piemērošana.
4. Uzraudzības iestāde — Valsts ieņēmumu dienesta (turpmāk — VID) reģionālās iestādes muitas pārvalde, kuras pārraudzībā ir saņēmēja muitas iestāde un/vai nosūtītāja muitas iestāde.
5. VAD — vienotais administratīvais dokuments.
II. Vispārīgie jautājumi
6. Saskaņā ar Ministru kabineta 2002.gada 3.septembra noteikumu Nr.396 “Muitas procedūras — tranzīts — izpildes kārtība” 28.punktā noteikto kārtību VID Galvenā muitas pārvalde (turpmāk — GMP) kontrolē tranzīta procedūras izpildi, salīdzinot nosūtītājas muitas iestādes informāciju ar saņēmējas muitas iestādes informāciju.
7. Nosūtītājas muitas iestādes funkcijas, kas norādītas Ministru kabineta 2002.gada 3.septembra noteikumu Nr.396 “Muitas procedūras — tranzīts — izpildes kārtība” 29.punktā, izpilda VID GMP Tranzīta kontroles daļa.
III. Tranzīta VAD (T1) formulāru aprite
8. Nosūtītāja muitas iestāde pēc muitas procedūras — tranzīts noformēšanas:
8.1. VAD formulāru Nr.1 kopā ar pavaddokumentiem un vienreizējā galvojuma iesniegšanas gadījumā galvojuma dokumentu nekavējoties, bet ne vēlāk kā piecu dienu laikā pēc to noformēšanas nogādā attiecīgajā uzraudzības iestādē;
8.2. VAD formulāram Nr.1 pievieno datorprogrammas izdruku vai sarakstu divos eksemplāros, norādot VAD sakārtošanas secībā to numurus. Datorprogrammas izdruku vai sarakstu ar parakstu un personīgo zīmogu apstiprina ierēdnis, kurš ir atbildīgs par tā sagatavošanu;
8.3. VAD formulāru Nr.4 un Nr.5 nodod pārvadātāja rīcībā, lai tos iesniegtu deklarācijā norādītajā saņēmējā muitas iestādē.
9. Saņēmēja muitas iestāde pēc tranzīta muitas procedūras pabeigšanas:
9.1. VAD formulāru Nr.4 uzglabā vai nogādā uzglabāšanai uzraudzības iestādē;
9.2. VAD formulāru Nr.5 nekavējoties, bet ne vēlāk kā piecu dienu laikā pēc to saņemšanas nogādā uzraudzības iestādē nogādāšanai VID GMP;
9.3. VAD formulāram Nr.5 pievieno datorprogrammas izdruku vai VAD formulāru sarakstu divos eksemplāros. Izdruku vai sarakstu ar parakstu un personīgo zīmogu apstiprina muitas ierēdnis, kurš ir atbildīgs par tā sagatavošanu.
10. Uzraudzības iestāde:
10.1. salīdzina VAD formulārus Nr.1 un Nr.5 ar sarakstā norādītajiem un pārbauda saņēmējas muitas iestādes ierēdņa izdarīto atzīmju atbilstību Valsts ieņēmumu dienesta 2002.gada 20.decembra rīkojumā Nr.2326 “Par “Metodiskajiem norādījumiem VAD burtu aiļu aizpildīšanai, piemērojot precēm tranzīta procedūru (T1 un T1B)”” noteiktajai kārtībai;
10.2. VAD formulāru Nr.1 kopā ar pavaddokumentiem un vienreizējā galvojuma iesniegšanas gadījumā galvojuma dokumentu, VAD formulāru Nr.5 un pievienotos sarakstus nekavējoties, bet ne vēlāk kā piecu dienu laikā pēc to saņemšanas nogādā VID GMP Tranzīta kontroles daļas Muitas dokumentu apstrādes nodaļā;
10.3. ja tiek konstatēts muitas parāds, nekavējoties informē VID GMP Tranzīta kontroles daļas Pretenziju nodaļu.
11. VID GMP Tranzīta kontroles daļas Muitas dokumentu apstrādes nodaļa:
11.1. salīdzina formulārus Nr.1 un Nr.5 ar sarakstā norādītajiem;
11.2. vienu saraksta eksemplāru, kas pievienots VAD formulāriem ar VID GMP ierēdņa atzīmēm par attiecīgo muitas dokumentu saņemšanu, nogādā uzraudzības iestādei un otru uzglabā;
11.3. pārbauda VAD formulārā Nr.1 un Nr.5 saņēmējas muitas iestādes ierēdņa izdarīto atzīmju atbilstību Valsts ieņēmumu dienesta 2002.gada 20.decembra rīkojumā Nr.2326 “Par “Metodiskajiem norādījumiem VAD burtu aiļu aizpildīšanai, piemērojot precēm tranzīta procedūru (T1 un T1B)””;
11.4. līdz katra mēneša 30.datumam apkopo datus par iepriekšējā mēnesī nenoslēgtajiem tranzīta VAD T1;
11.5. pieprasa rakstveida informāciju no uzraudzības iestādes:
11.5.1. ja VID GMP saņemtie muitas dokumenti neatbilst sarakstos minētajiem vai informācijai Centrālajā informatīvajā muitas sistēmas datu bāzē;
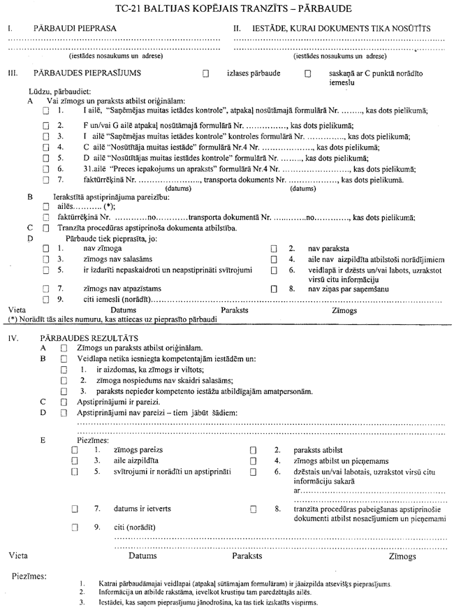
11.5.2. papildu informāciju un ziņu precizēšanu TC-21 (sk. 1.pielikumu), ja saņemtais tranzīta VAD formulārs Nr.1 un Nr.5 nav noformēts atbilstoši normatīvajos dokumentos noteiktajai kārtībai saskaņā ar Finanšu ministrijas 2002.gada 17.aprīļa rīkojumu Nr.365 “Par “Metodiskajiem norādījumiem par vienotā administratīvā dokumenta aizpildīšanu”” un Valsts ieņēmumu dienesta 2002.gada 20.decembra rīkojumu Nr.2326 “Par “Metodiskajiem norādījumiem VAD burtu aiļu aizpildīšanai, piemērojot precēm tranzīta procedūru (T1 un T1B)””;
11.5.3. par nesaņemtajiem VAD formulāriem — TC 20 (sk. 2.pielikumu);
11.5.3.1. ja informācija nav pietiekama, lai sniegtu pieprasīto informāciju, saņēmēja muitas iestāde nosūta TC 20 atpakaļ VID GMP Tranzīta kontroles daļas Muitas dokumentu apstrādes nodaļai, norādot vajadzīgo papildu informāciju otrā ailē;
11.5.3.2. minētā apakšpunkta (11.5.3.1.) gadījumā VID GMP Tranzīta kontroles daļas Muitas dokumentu apstrādes nodaļa aizpilda trešo aili un nosūta TC 20 saņēmējas muitas iestādes uzraudzības iestādei;
11.5.4. ja 14 dienu laikā uzraudzības iestāde nav iesniegusi informāciju, nosūtot atgādinājumu TC 22 (sk. 3.pielikumu) kopā ar T1 dokumenta (vai ar izdruku no CMIS datu bāzes) un TC 20 dokumenta kopijām;
11.5.5. par VAD, kuros ir acīmredzama kļūda vai iemesls šaubīties, izmantojot TC 21;
11.6. četrpadsmit dienu laikā pēc atbildes saņemšanas no uzraudzības iestādes atkārtoti pārskata informāciju par nenoslēgtajiem un noslēgtajiem VAD;
11.7. informē VID GMP Iekšējā audita daļu, ja pārkāpums noticis muitas ierēdņa kļūdas dēļ;
11.8. iesniedz informāciju VID GMP Tranzīta kontroles daļas Pretenziju nodaļā pārbaudes veikšanai, ja:
11.8.1. nesaņem tranzīta VAD formulāru Nr.5, un nav saņemta informācija no saņēmējas muitas iestādes;
11.8.2. krava nav saņemta saņēmēja muitas iestādē;
11.9. iesniedzamo informāciju sakārto šādā secībā:
11.9.1. VAD saraksts, kurā ir norādīts VAD noformēšanas numurs, noformēšanas datums, informācijas iesniegšanas datums. Sarakstu ar parakstu un personīgo zīmogu apstiprina ierēdnis, kas ir atbildīgs par tā sagatavošanu;
11.9.2. VAD formulāra Nr.1 ar pievienoto dokumentu kopijas;
11.9.3. GMP Tranzīta kontroles daļas Muitas dokumentu apstrādes nodaļas pieprasījuma kopija attiecīgajai uzraudzības iestādei;
11.9.4. no uzraudzības iestādes saņemtās atbildes kopija;
11.10. uzglabā VAD formulārus Nr.1 un Nr.5.
III. Tranzīta procedūras pabeigšana un tranzīta VAD noslēgšana
12. VID GMP Tranzīta kontroles daļas Pretenziju nodaļā, noslēdzot tranzīta procedūru:
12.1. paziņo principālam par tranzīta procedūras nepabeigšanu un muitas parāda rašanos (sk. 4.pielikumu);
12.2. ja 10 dienu laikā netiek saņemts tranzīta procedūras pabeigšanas apliecinošs dokuments, kas norādīts 2002.gada 3.septembra Ministru kabineta noteikumu Nr.396 “Muitas procedūras — tranzīts — izpildes kārtība” 30.punktā (saņēmējas muitas iestādes apstiprināta tranzīta VAD kopija vai citas valsts muitas iestāžu noformētais muitas dokuments, vai muitas iestādes apstiprināta kopija):
12.2.1. nosūta principālam VID GMP pieņemto lēmumu (sk. 5.pielikumu) par tranzīta procedūras nepabeigšanu un muitas parāda rašanos;
12.2.2. nosūta galviniekam paziņojumu par galvenajam parādniekam radušos muitas maksājumu parādu (sk. 6.pielikumu);
12.3. ja 30 dienu laikā pēc VID GMP pieņemtā lēmuma saņemšanas netiek nomaksāts muitas parāds:
12.3.1. nosūta galviniekam prasību par muitas maksājumu parādu (sk. 7.pielikumu), nosakot 30 kalendāro dienu laikā veikt maksājumus principāla muitas parāda segšanai, ja principāls:
12.3.1.1. nav Latvijas Republikā reģistrēta persona;
12.3.1.2. ir Latvijas Republikā reģistrēta persona un tiek konstatēts, ka muitas parāda norakstīšana no principāla konta nav iespējama;
12.4. nosūta saņēmējas muitas iestādes uzraudzības iestādei pieprasījumu TC 21 pārbaudīt iesniegtās dokumenta kopiju atbilstību oriģinālam (ja tiek iesniegta saņēmējas muitas iestādes apstiprināta tranzīta VAD vai cita preču pavaddokumenta kopija);
12.5. pārbauda iesniegtā citas valsts muitas iestāžu noformēta muitas dokumenta autentiskumu (ja ir iesniegta dokumenta kopija — kopijas atbilstību oriģinālam);
12.6. pieprasa informāciju no Latvijas Republikas valsts iestādēm par veiktajām darbībām muitas parāda un citu likumdošanā paredzēto maksājumu iekasēšanas jomā, ja principāls vai galvinieks paziņo, ka attiecīgā iestāde ir iekasējusi muitas parādu un citus maksājumus;
12.7. noslēdz tranzīta VAD un izdara attiecīgās korekcijas datu bāzē, ja VID GMP ir saņemts attiecīgais dokuments vai tā apstiprinātā kopija, kas liecina, ka tranzīta procedūrā esošās preces ir izvestas no Latvijas Republikas teritorijas;
12.8. informē VID GMP Iekšējā audita daļu, ja pārkāpums noticis muitas ierēdņa kļūdas dēļ.
IV. Pēcmuitošanas pārbaude
13. Lai atklātu un novērstu nelikumīgu rīcību, VID GMP Tranzīta kontroles daļas Muitas dokumentu apstrādes nodaļa veic pārbaudi:
13.1. ja ir konstatēta acīmredzama kļūda vai ir pamats šaubīties par dokumentos sniegtās informācijas atbilstību, veic pēcmuitošanas pārbaudi, nosūtot saņēmējai muitas iestādei TC 21;
13.2. reizi mēnesī izlases veidā veic pārbaudi ne mazāk kā četriem no 1000 T1 dokumenta 5.formulāru skaita, kam tranzīta procedūra ir noslēgta laikus un atbilstoši normatīvajos dokumentos noteiktai kārtībai. Pārbaudei tiek izmantota pieprasījuma TC 21 veidlapa.
V. Pārējie nosacījumi
14. Ja atsevišķus muitas dokumentus VID GMP vai nosūtītājas muitas iestādes uzraudzības iestādē nogādā ar nokavēšanos, tad šiem dokumentiem arī pievieno sarakstus un pavadvēstuli ar paskaidrojumu.
15. Ja saņēmējas muitas iestādes uzraudzības iestāde VID GMP vai nosūtītājas muitas iestādes uzraudzības iestādē nogādā sarakstus ar labojumiem, tad labojumus ar parakstu un personīgo zīmogu apstiprina muitas ierēdnis, kurš ir izdarījis attiecīgos labojumus.
16. Ja VID GMP nogādātajos sarakstos pēc skaidrojuma saņemšanas izdara labojumus, tad tos ar parakstu un personīgo zīmogu apstiprina VID GMP Tranzīta kontroles daļas Muitas datu apstrādes nodaļas ierēdnis, kurš ir izdarījis labojumus.
17. Ja nosūtītājas muitas iestādes uzraudzības iestādē nogādātajos sarakstos pēc skaidrojumu saņemšanas izdara labojumus, tad tos ar parakstu un personīgo zīmogu apstiprina muitas ierēdnis, kurš ir izdarījis labojumus.
18. Muitas dokumentu kopijas, ja tās ir ņemtas no dokumentu oriģināliem, muitas ierēdnis apstiprina ar personīgo zīmogu un parakstu, norādot datumu.
19. Uzraudzības iestādes iesniedz rakstisku atbildi 15 dienu laikā, paskaidrojot VAD formulāru savlaicīgu nenosūtīšanas iemeslu un/vai pielaistās kļūdas iemeslu.
1.pielikums
2.pielikums
3.pielikums
4.pielikums
5.pielikums
6.pielikums
7.pielikums