
Valsts galvenā pārtikas un veterinārā inspektora rīkojums Nr. 156
Rīgā 2003. gada 12. jūnijā
Par šķirnes un audzēšanai paredzētu cūku ievešanu Latvijas Republikā no Dānijas
Pamatojoties uz Veterinārmedicīnas likuma 20. panta 3. punktu, nosaku:
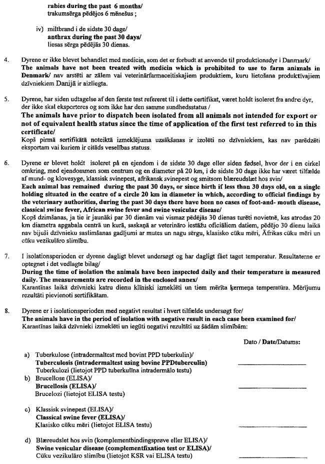
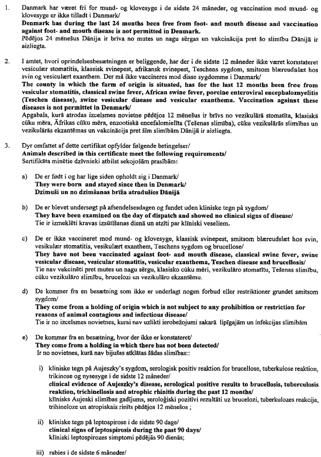
1. Latvijas Republikā šķirnei un audzēšanai paredzētās cūkas no Dānijas atļauts ievest ar Dānijas kompetentās iestādes izdotu noteikta parauga veterināro (veselības) sertifikātu (pielikums).
2. Sanitārajai robežinspekcijai kontrolēt veterinārā (veselības) sertifikāta šķirnes un audzēšanai paredzētu cūku ievešanai Latvijā no Dānijas atbilstību rīkojuma pielikumā noteiktajam paraugam.
3. Rīkojumu publicēt laikrakstā “Latvijas Vēstnesis”.
4. Rīkojums stājas spēkā ar tā parakstīšanas brīdi.
5. Kontroli pār rīkojuma izpildi uzdodu Dzīvnieku veselības un labturības departamenta direktoram I. Celmam un Sanitārās robežinspekcijas priekšniecei I.Šicei-Trēdei.
Valsts galvenā pārtikas un veterinārā inspektora pienākumu izpildītājs I.Celms
Pielikums