
Valsts galvenā pārtikas un veterinārā inspektora rīkojums Nr.154
Rīgā 2003. gada 11. jūnijā
Par govju embriju ievešanu Latvijas Republikā no valstīm, kas nav ES dalībvalstis
Pamatojoties uz Veterinārmedicīnas likuma 20. panta 3. punktu, nosaku:
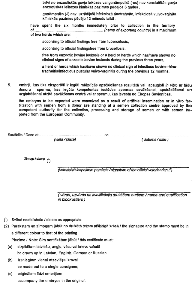
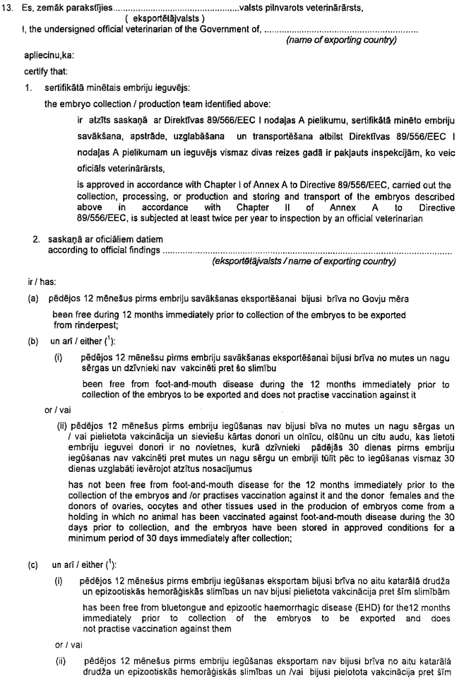
1. Latvijas Republikā govju embrijus no valstīm, kas nav ES dalībvalstis, atļauts ievest ar eksportētājvalsts kompetentās iestādes izdotu noteikta parauga veterināro (veselības) sertifikātu (pielikums).
2. Sanitārajai robežinspekcijai kontrolēt veterinārā (veselības) sertifikāta govju embriju ievešanai Latvijā no valstīm, kas nav ES dalībvalstis, atbilstību rīkojuma pielikumā noteiktajam paraugam.
3. Rīkojumu publicēt laikrakstā “Latvijas Vēstnesis”.
4. Rīkojums stājas spēkā ar tā parakstīšanas brīdi.
5. Kontroli pār rīkojuma izpildi uzdodu Dzīvnieku veselības un labturības departamenta direktoram I.Celmam un Sanitārās robežinspekcijas priekšniecei I.Šicei–Trēdei.
Valsts galvenā pārtikas un veterinārā inspektora pienākumu izpildītājs I.Celms
Pielikums