
Valsts galvenā pārtikas un veterinārā inspektora rīkojums Nr.118
Rīgā 2003. gada 29. aprīlī
Par veselības sertifikātu piena un piena produktu ievešanai Latvijas Republikā
Pamatojoties uz Veterinārmedicīnas likuma 41. panta 2. punktu, nosaku:
1. Sākot ar 2003. gada 12. maiju, Latvijas Republikā cilvēku uzturam neizmantojamu pienu un piena produktus atļauts ievest ar kompetentās institūcijas izdotu noteikta parauga veselības sertifikātu:
1.1. cilvēku uzturam neizmantojama sterilizēta vai divreiz termiski apstrādāta piena un piena produktu ievešanai Latvijas Republikā (1. pielikums);
1.2. cilvēku uzturam neizmantojama termiski apstrādāta piena un piena produktu (pH līmenis mazāks par 6) ievešanai Latvijas Republikā (2. pielikums);
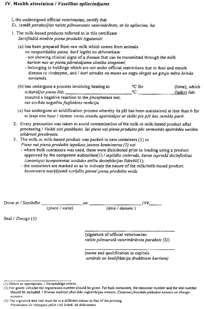
1.3. cilvēku uzturam neizmantojama termiski apstrādāta piena un piena produktu ievešanai Latvijas Republikā (3. pielikums).
2. Ar rīkojuma stāšanos spēkā atcelt 1999. gada 20. oktobra rīkojuma Nr.132 1.2., 1.3 un 1.4. punktu.
3. Sanitārajai robežinspekcijai kontrolēt veselības sertifikāta atbilstību rīkojuma pielikumā noteiktajam paraugam.
4. Rīkojumu publicēt laikrakstā “Latvijas Vēstnesis”.
5. Kontroli pār rīkojuma izpildi uzdodu Dzīvnieku veselības un labturības departamenta direktoram I. Celmam un Sanitārās robežinspekcijas priekšniecei I. Šicei-Trēdei.
Valsts galvenā pārtikas un veterinārā inspektora pienākumu izpildītājs I. Celms
1.pielikums
2.pielikums
3.pielikums