
Valsts galvenā pārtikas un veterinārā inspektora rīkojums Nr.68
Rīgā 2003. gada 4. martā
Par buļļu, āžu un teķu spermas ievešanu Latvijas Republikā no Francijas
Pamatojoties uz “Veterinārmedicīnas likuma” 41. panta 2. punktu, nosaku:
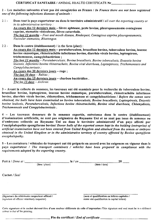
1. Latvijas Republikā buļļu spermu no Francijas atļauts ievest ar eksportētājvalsts kompetentās iestādes izdotu noteikta parauga veterināro (veselības) sertifikātu (1. pielikums).
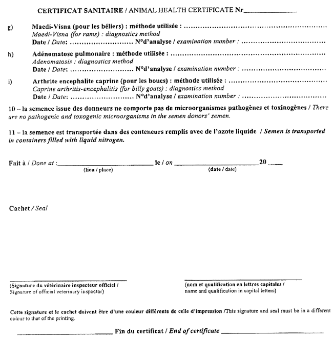
2. Latvijas Republikā āžu un teķu spermu no Francijas atļauts ievest ar eksportētājvalsts kompetentās iestādes izdotu noteikta parauga veterināro (veselības) sertifikātu (2. pielikums).
3. Sanitārajai robežinspekcijai kontrolēt veterināro (veselības) sertifikātu buļļu, teķu un āžu spermas ievešanai Latvijas Republikā no Francijas atbilstību rīkojuma pielikumos noteiktajiem paraugiem.
4. Rīkojumu publicēt laikrakstā “Latvijas Vēstnesis”.
5. Rīkojums stājas spēkā ar tā parakstīšanas brīdi.
6. Kontroli pār rīkojuma izpildi uzdodu Dzīvnieku veselības un labturības departamenta direktoram I.Celmam un Sanitārās robežinspekcijas priekšniecei I.Šicei-Trēdei.
Valsts galvenā pārtikas un veterinārā inspektora
pienākumu izpildītājs I.Celms
1.pielikums
2.pielikums