
Valsts galvenā pārtikas un veterinārā inspektora rīkojums Nr. 63
Rīgā 2003. gada 28. februārī
Par dzīvnieku veselības sertifikātu putnu, izņemot mājputnu un papagaiļu, izvešanai uz Nīderlandi
Pamatojoties uz Nīderlandes veterinārā dienesta prasībām, nosaku:
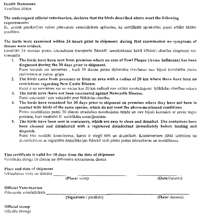
1. Putnu, izņemot mājputnu un papagaiļu, izvešanai uz Nīderlandi izsniegt rīkojuma pielikumā noteiktā parauga sertifikātu.
2. Atcelt sertifikāta “Eksport 1” izsniegšanu putnu, izņemot mājputnu un papagaiļu, izvešanai uz Nīderlandi.
3. Rīkojumu publicēt laikrakstā “Latvijas Vēstnesis”.
4. Rīkojums stājas spēkā ar parakstīšanas brīdi.
5. Kontroli pār rīkojuma izpildi uzdodu Dzīvnieku veselības un labturības departamenta direktoram I.Celmam un sanitārās robežinspekcijas priekšniecei I.Šicei-Trēdei.
Galvenā valsts pārtikas un veterinārā inspektora pienākumu izpildītājs I.Celms
Pielikums