
Valsts galvenā pārtikas un veterinārā inspektora rīkojums Nr. 52
Rīgā 2003. gada 14. februārī
Par šķirnei un audzēšanai paredzētu strausu ievešanu Latvijas Republikā no Dānijas
Pamatojoties uz Veterinārmedicīnas likuma 20. panta 3. punktu, nosaku:
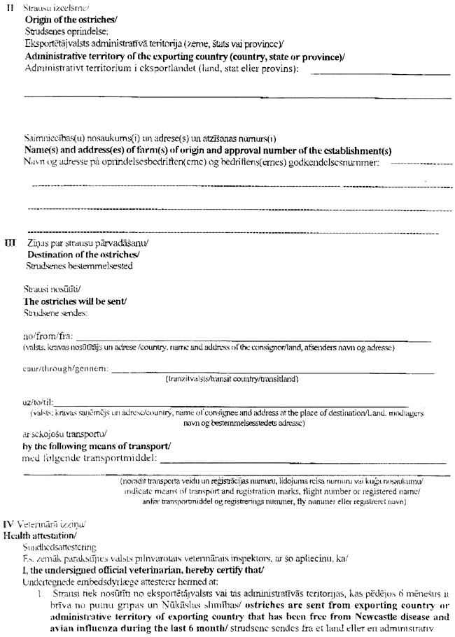
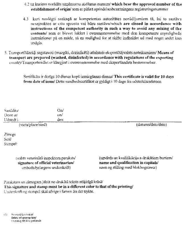
1. Latvijas Republikā šķirnei un audzēšanai paredzētus strausus no Dānijas atļauts ievest ar Dānijas kompetentās iestādes izdotu noteikta parauga veterināro (veselības) sertifikātu (pielikums).
2. Sanitārajai robežinspekcijai kontrolēt veterinārā (veselības) sertifikāta šķirnei un audzēšanai paredzētu strausu ievešanai Latvijas Republikā no Dānijas atbilstību rīkojuma pielikumā noteiktajam paraugam.
3. Rīkojumu publicēt laikrakstā “Latvijas Vēstnesis”.
4. Rīkojums stājas spēkā ar tā parakstīšanas brīdi.
5. Kontroli pār rīkojuma izpildi uzdodu Dzīvnieku veselības un labturības departamenta direktoram I. Celmam un Sanitārās robežinspekcijas priekšniecei I. Šicei-Trēdei.
Valsts galvenais pārtikas un veterinārais inspektors V. Veldre
Pielikums