
Konkurences padomes lēmums Nr.2
(prot.Nr.2, 3. §) Rīgā 2003.gada 16.janvārī
Par lietas izpētes izbeigšanu lietā Nr. 491/02/05/8 “Par SIA “GOREN BALTIJA” 23.09.2002. iesniegumu”
SIA”GOREN BALTIJA” 23.09.2002. iesniegumā (saņemts 24.09.2002., reģ. Nr.491) norāda, ka BO VAS “Latvijas pasts” (turpmāk — LP) veicis nelikumīgas darbības, izskatot jautājumu par žurnāla “KOPĀ” abonēšanas organizēšanu 2002. gadam. SIA “GOREN BALTIJA” pārstāvji vērsušies arī Satiksmes ministrijā, lai saņemtu atzinumu par LP veiktajām darbībām preses abonēšanas organizēšanā.
Iesniedzējs uzskata, ka lauku rajonos LP ir vienīgais, kas sniedz preses abonēšanas un piegādes abonentiem pakalpojumus, un tikai tā izdotais katalogs dod iespēju abonēt presi. Iesniedzējs uzskata, ka LP, nevēloties organizēt preses izdevumu abonēšanu, ir pārkāpis Konkurences likumu, ka žurnāla “KOPĀ” neiekļaušanai preses izdevumu katalogā 2002. gadam un tā abonēšanas nenodrošināšanai trūkst ekonomiska pamatojuma. LP, vienojoties ar Latvijas Preses izdevēju asociāciju (turpmāk — LPIA), ir pārkāpis likumu, tādā veidā panākot izrēķināšanos ar konkurentiem preses izdevēju biznesā.
Iesniegums satur informāciju, ka LP rīcības rezultātā, žurnālu “KOPĀ” neiekļaujot “Laikrakstu un žurnālu katalogā”un nenodrošinot tā abonēšanas iespējas, 2002. gadā izdevējam radušies zaudējumi Ls 6260,70 apmērā.
Izvērtējot SIA “GOREN BALTIJA” iesniegumā ietverto un papildus iegūto informāciju, Konkurences padome
konstatēja:
Konkurences likuma 1. panta 4. punkta izpratnē konkrētais tirgus, kurā darbojas LP, sniedzot preses izdevumu abonēšanas un piegādes pakalpojumus, ir preses izdevumu abonēšanas un piegādes pakalpojumu sniegšana Latvijas Republikas (turpmāk — LR) teritorijā. Uz 2002. gada 1. oktobri LR preses abonēšanas un piegādes pakalpojumu sniegšanas tirgū darbojas četri tirgus dalībnieki: LP, abonēšanas centrs “Diena”, SIA “Abonēšanas aģentūra P.K.S.” un SIA “Press A Pasts”.
LP ir LR Uzņēmumu reģistrā 09.01.1992. reģistrēta (reģ. Nr.000305279) bezpeļņas organizācija valsts akciju sabiedrība, kas saskaņā ar statūtiem ir neprivatizējama valsts akciju sabiedrība, kuras pamatkapitāls pieder valstij. LP darbību reglamentē Pasta likums, likums “Par akciju sabiedrībām”, likums “Par bezpeļņas organizāciju”, Ministru kabineta 29.08.1995. noteikumi Nr.265 “Pasta noteikumi” un citi normatīvie akti, kā arī statūti.
Pasta likuma 4. pants nosaka, ka “Latvijas pastam ir monopoltiesības pieņemt, pārsūtīt un izsniegt (..) sūtījumus — vēstules, pastkartes, bandroles un sīkpakas”, bet 22. panta trešās daļas otrajā punktā noteikts, ka papildus 4. pantā minētajiem pasta pakalpojumiem LP ir tiesības izdarīt arī citas ar pasta sūtījumiem savienojamas operācijas: “pieņemt periodisko preses izdevumu pasūtījumus un veikt preses izdevumu piegādi abonentiem”.
Saskaņā ar statūtiem LP “sniedz (..) pakalpojumus un veic saimniecisko (...) darbību, kas nav pretrunā ar likumiem un citiem tiesību aktiem”. LP pārvaldes institūcijas ir akcionāru pilnsapulce un valde, un vienīgi akcionāru pilnsapulcei ir tiesības apstiprināt LP darbības plānu. LP darbību vada valde, kas darbojas saskaņā ar akcionāru pilnsapulces apstiprināto reglamentu un atbild par LP saimniecisko darbību.
LP preses izdevumu abonēšanas un piegādes pakalpojumu sniegšanu nodrošina visā LR teritorijā, jo pasta nodaļu kopējā apkalpes zona ir analoga LR ģeogrāfiskajai teritorijai.
Abonēšanas centrs “Diena” (turpmāk — ACD) ir a/s “Diena”, kura ir LR Uzņēmumu reģistrā 13.08.1992. reģistrēta (reģ. Nr.000308610) akciju sabiedrība, struktūrvienība. A/s “Diena” darbības veidi ir izdevējdarbība, pasta un kurjeru darbība u.c. statūtos paredzētā saimnieciskā darbība.
ACD pieņem abonementus preses izdevumiem visās ACD filiālēs un pieņemšanas punktos, kā arī veic abonēto preses izdevumu piegādi attiecīgajā apkalpes zonā. Preses izdevumu abonementus 2002. gadam bija iespējams noformēt ACD filiālēs un pieņemšanas punktos un saņemt abonēto preses izdevumu Rīgā, Rīgas rajona lielākajā daļā, Rīgas rajonam blakus esošo rajonu centros un tiem tuvu esošajās teritorijās, kā arī Ventspilī, Talsos, Liepājā un Valmierā.
SIA “Press A Pasts” ir LR Uzņēmumu reģistrā 16.10.1996. reģistrēta (reģ. Nr. 000331325) uzņēmējsabiedrība, kuras darbības veidi ir izdevējdarbība u.c. statūtos paredzētā darbība.
SIA “Press A Pasts” parakstīšanos uz preses izdevumiem pieņem Rīgā, Valguma ielā 8/10, abonētos preses izdevumus piegādā tikai Rīgas teritorijā, citu ierobežojumu parakstīšanās pieņemšanai nav. Teorētiski pastāv iespēja pieņemt parakstīšanos un piegādāt abonentiem preses izdevumus arī ārpus Rīgas teritorijas, bet šāds jautājums nav izskatīts priekšlikumu trūkuma dēļ.
SIA “Abonēšanas aģentūra P.K.S.” ir LR Uzņēmumu reģistrā 24.02.1999. reģistrēta (reģ. Nr. 000343264) uzņēmējsabiedrība, kuras darbības veidi ir izdevējdarbība, pasta un kurjeru darbība u.c. statūtos paredzētā darbība.
SIA “Abonēšanas aģentūra P.K.S.” parakstīšanos uz preses izdevumiem pieņem Rīgā trijos pasūtījumu pieņemšanas punktos, parakstīto izdevumu piegādi Rīgā (nepilnā tās teritorijā) veic uzņēmējsabiedrības pastnieki, bet abonēto preses izdevumu piegādei pārējā LR teritorijā tiek izmantoti LP pakalpojumi. Lai apkalpotu klientus, kuri atrodas aiz SIA “Abonēšanas aģentūras P.K.S.” pastnieku apkalpojamās teritorijas, papildus jāpiemaksā pasta pakalpojumu cena.
Tātad preses abonēšanas un piegādes pakalpojumu sniegšanas tirgū LP nav monopoltiesību, tas darbojas brīvas konkurences apstākļos. Pamatojoties uz Konkurences likuma 1. pantā doto dominējošā stāvokļa definējumu, LP atrodas dominējošā stāvoklī preses abonēšanas un piegādes pakalpojumu sniegšanas tirgū LR ģeogrāfiskajā teritorijā.
Saskaņā ar LP akcionāru pilnsapulcē 21.07.1999. apstiprināto “Preses izdevumu abonēšanas, ekspedēšanas, pārvadāšanas un piegādes koncepciju 2000.–2002.g.” (turpmāk — Koncepcija) LP 2001. gadā līgumus noslēdz un iekļauj katalogā “žurnālus, kuru vienreizējā tirāža sasniedz 1000 eks. un vairāk”.
22.08.2001. vēstulē Nr.36-14.1/1139 “Par sadarbību 2002. gadā”, kuru LP nosūtīja laikrakstu/žurnālu izdevējiem, piedāvājot savus pakalpojumus preses izdevumu abonēšanas organizēšanā, to piegādē abonentiem, minēts, ka “preses izdevumi, ja (...) žurnālu mēneša kopējā abonētā tirāža (2001. gada janvāris — jūnijs vidēji) nesasniedz 600 eks., laikrakstu un žurnālu katalogā 2002. gadam netiks iekļauti un šo izdevumu abonēšanas organizēšanu Latvijas pasts neuzņemas”. Vēstulē norādīti arī piegādes tarifi, kas ir spēkā žurnāliem ar abonentu skaitu ne mazāku par 600 eks.
LP savās vēstulēs izdevējiem “Par sadarbību 2001. gadā”, “Par sadarbību 2002. gadā”, “Par sadarbību 2003. gadā” ir iekļāvis šādu rindkopu: “Reklāmu un informāciju par abonēšanas noformēšanas nosacījumiem, abonēšanas termiņiem, iemaksas kontiem u.c. nepieciešamo informāciju laikrakstu un žurnālu katalogā piedāvājam ievietot arī izdevējiem, kuru preses izdevumi katalogā netiks ievietoti un kuru abonēšanu Latvijas Pasts var noformēt, savstarpēji vienojoties par naudas pieņemšanu iemaksai Izdevēja PNS kontā.”
LP 10.10.2002. vēstulē Nr.36-14/1250 paskaidrots, ka saskaņā ar Koncepciju katalogā tiek iekļauti tikai tie preses izdevumi, kuru abonentiem piegādātais un apstrādātais eksemplāru skaits LP ir ekonomiski izdevīgs, ka Koncepcija pilnā mērā nav īstenota, jo atsevišķi tās nosacījumi tiek piemēroti ar nelielām atkāpēm (preses izdevēju labā), 2002. gada katalogā iekļaujot žurnālus, kuru minimālā tirāža ir 600 eks. Koncepcijā paredzēto 1000 eks. vietā. LP 06.12.2002. vēstulē Nr.36-14/1508 paskaidro, ka, noslēdzot preses izdevumu abonēšanas līgumus 2001. gadam un turpmākajiem gadiem, atkāpes no Koncepcijas nosacījumiem izskaidrojamas ar to, ka valsts ekonomiskā augšupeja nesasniedz plānotos apmērus, ka joprojām saglabājas zems iedzīvotāju pirktspējas līmenis, īpaši lauku apvidos. Tādējādi LP kā uzņēmums ar visplašāko infrastuktūru valstī uzskata par savu pienākumu dot iespēju arī maksātnespējīgākajiem lauku iedzīvotājiem abonēt preses izdevumus par salīdzinoši zemākām cenām.
Žurnāla “KOPĀ” lūgums par tā ievietošanu katalogā 2002. gadam tika noraidīts, jo tādējādi ekvivalentos darījumos netiktu ievēroti vienādi nosacījumi, kas varētu izraisīt citu preses izdevēju pamatotas pretenzijas, paskaidrojot, ka žurnāla “KOPĀ” abonētā tirāža 2001. gada janvārī — jūnijā vidēji bija tikai 527 eks.
LP noteicis maksu par preses izdevuma abonēšanas organizēšanu, pieņemšanu un apstrādi — Ls 0,063 mēnesī par katru izdevuma mēneša abonentu.
Preses izdevumu piegādes tarifi noteikti atkarībā no:
1) noteiktās tarifu zonas, ņemot vērā attālumu starp Rīgu un rajona centru (noteiktas trīs tarifu zonas);
2) žurnāla formāta un lappušu skaita (noteiktas trīs tarifu grupas);
3) žurnālu abonētās tirāžas iepriekšējā gada pirmajā pusgadā (noteiktas divas tarifu grupas).
LP 10.10.2001. vēstulē Nr.36-14/1250 paskaidro, ka vienošanās starp LP un LPIA nepastāv. Katru gadu pirms preses abonēšanas līgumu slēgšanas nākamajam gadam un abonēšanas uzsākšanas notiek LP un LPIA pārstāvju pārrunas par stratēģiskiem sadarbības jautājumiem, nepieņemot oficiālus lēmumus, jo ne visi preses izdevēji ir LPIA biedri.
LPIA 01.11.2002. vēstulē Nr.29/1-02 paskaidro, ka regulāro tikšanos laikā ar LP vadību LPIA pārstāv Latvijas preses izdevēju industriju kopumā, nevis atsevišķus tās locekļus neatkarīgi no tā, vai tie ir LPIA biedri. Nepieciešamības gadījumā analogas tikšanās notiek arī ar citām personām (a/s “Diena” u.c.), kas cieši saistītas ar industriju. LPIA uzskata, ka zemo tirāžu preses izdevumiem jāpaaugstina piegādes tarifs, padarot to piegādi ekonomiski izdevīgu.
LP 06.12.2002. vēstulē Nr.36-14/1508 paskaidro, ka:
1) 1999. gadā, izstrādājot Koncepciju, ikgadējais solis žurnālu iekļaušanai katalogā tika noteikts ģeometriskā progresijā, pamatojoties uz to, ka laika posmā no 1992. gada līdz 1998. gadam ieskaitot preses izdevumu piegādes maksa tika noteikta, vadoties no:
— ekonomiskās situācijas valstī kopumā, tajā skaitā no iedzīvotāju zemās pirktspējas,
— valstī esošā preses izplatīšanas tīkla mazās attīstības pakāpes, faktiskās situācijas rezultātā nodrošinot preses izdevumu piegādi visā valstī, tajā skaitā arī par ekonomiski nepamatotām pakalpojumu cenām;
2) preses izdevumu abonēšanas un piegādes pakalpojumu tarifus veido šādi izmaksu posteņi:
— darba apmaksa un sociālā apdrošināšana — 72,4%,
— transporta izmaksas (t.sk. degviela un rezerves daļas) — 12,2%,
— ekspluatācijas materiāli, amortizācijas atskaitījumi, elektroenerģētika, ēku un telpu remonti, pārējie izdevumi — 15,4%;
3) robežskaitlis 600 eks. žurnālu abonētai tirāžai tiek noteikts, ņemot vērā:
— preses izdevuma abonēšanas organizēšanas, pieņemšanas un apstrādes izmaksas pie noteikta preses izdevumu apjoma,
— preses izdevuma piegādes pakalpojuma faktiskās izmaksas pie noteikta preses izdevumu apjoma,
— abonēto preses izdevumu skaita nemainību noteiktā laika posmā (mēnesī, ceturksnī utt.). Tādējādi tiek nodrošināti nemainīgi ieņēmumi noteiktā laika posmā un prognozēta kopējā ieņēmumu summa attiecīgajā periodā, kā arī aprēķinātas pastāvīgās un mainīgās izmaksas pakalpojuma nodrošināšanai;
4) abonētā preses izdevuma piegādes tarifs no pasta nodaļas līdz abonenta pasta kastītei ir iekļauts kopējā preses izdevumu piegādes tarifā, tā īpatsvars kopējā preses izdevumu piegādes tarifā nav precīzi nosakāms, jo visu LP sniegto pakalpojumu pašizmaksa tiek kalkulēta un tarifi aprēķināti, vadoties no kopējā pakalpojumu apjoma un kopējām izmaksām. Vienas pakalpojumu vienības pašizmaksa un dažādo izmaksu posteņu īpatsvars ir atšķirīgs gandrīz katrā pakalpojumu sniegšanas vietā — pasta nodaļā. Preses izdevumu piegādes tarifi ir diferencēti, ņemot vērā:
— faktiskās piegādes izmaksas attiecīgā reģionā (3 zonas),
— abonentiem nosūtāmo eksemplāru skaitu mēnesī (2 grupas),
-- preses izdevumu periodiskumu un apjomu (formāts un lappušu skaits);
5) preses izdevumu abonēšanas un piegādes izmaksu sadalījums:
— darba apmaksa un sociālās apdrošināšanas izmaksas — pastāvīgās un mainīgās,
— veidlapas un ekspluatācijas materiāli — mainīgās,
— transporta izmaksas, amortizācijas atskaitījumi, elektroenerģija, ēku un telpu remonti u.c. — pastāvīgās;
6) žurnālu piegādes tarifu dalījumu grupās nosaka, ņemot vērā žurnālu abonentu skaitu mēnesī, vispirms aprēķinot kopējo (vidējo svērto) piegādes tarifu. Pēc tam žurnāliem ar lielāku abonentu skaitu (1. grupa) attiecībā pret žurnāliem ar mazāku abonentu skaitu (2. grupa) piegādes tarifs proporcionāli tiek noteikts zemāks;
7) LP neplāno veidot preses izdevumu 3. grupu, kurā tiktu iekļauti žurnāli, kuru abonentu skaits LP nesasniedz 600 eks. mēnesī. 1998. un 1999. gadā šāda grupa eksistēja, tajā tika iekļauti žurnāli, kuru abonentu skaits mēnesī nesasniedza 500 eks. Vairāku šajā grupā esošo žurnālu izdevēju līgumsaistību neizpildes pret abonentiem rezultātā pretenzijas saņēma LP. Iepriekš minētā iemesla dēļ 2000. gada Laikrakstu un žurnālu katalogā 3. grupas izdevumi netika iekļauti;
8) no žurnālu, kuru abonentu skaits nesasniedz 600 eks. mēnesī, piegādes LP neatsakās, tikai to piegādei ir noteikti atsevišķi nosacījumi, savukārt abonēšanas organizēšana jāveic attiecīgā izdevuma redakcijai.
ACD abonentiem nenosaka nekādus ierobežojumus attiecībā uz ACD katalogā iekļauto izdevumu un abonēto eksemplāru skaitu. ACD sadarbību abonēto preses izdevumu izplatīšanā piedāvā visiem Latvijā likumā noteiktā kārtībā reģistrētiem preses izdevumiem, izsūtot sadarbības piedāvājumu. Preses izdevuma abonēšanas cenu nosaka izdevējs, cenā iekļaujot arī maksu par izplatītāja pakalpojumiem. ACD sniegto pakalpojumu cena sastāv no maksas par abonementu apstrādi un maksas par abonēto eksemplāru piegādi. Maksa par abonementu apstrādi ir Ls 0,10 par katru pilnu vai nepilnu mēneša abonementu (ja abonements noformēts uz nepilnu mēnesi). Maksa par abonēto eksemplāru piegādi republikāniskajiem izdevumiem atkarīga no:
1) noteiktās tarifu zonas, ņemot vērā attālumu starp Rīgu un rajona centru (noteiktas trīs tarifu zonas);
2) žurnāla apjoma (formāta un lappušu skaita).
Piegādes tarifi ir atbilstoši LP noteiktajiem žurnālu piegādes tarifiem, ja žurnālu abonentu skaits mēnesī pārsniedz 2000 eks.
Bērnu un nedēļas žurnāliem noteikta speciāla cena.
ACD 07.09.2001.izdotā rīkojuma Nr. 02/55 “Par preses izdevumu piegādes un abonementu apstrādes cenām Abonēšanas centrā “Diena” no 2002. gada 1. janvāra” 6. punktā noteikta “papildu maksa par preses izdevumu izsniegšanu abonentam tieši rokās vai ievietošanu dzīvokļa pasta kastītē (...) 100% apmērā no preses izdevuma piegādes maksas Rīgā un 65% apmērā — pārējā Abonēšanas centra piegādes teritorijā”. Noteikto papildu maksu maksā abonents virs izdevēja noteiktās abonēšanas maksas, kas līgumā tiek saskaņota ar izdevējiem (Līguma Nr. L-1/2003 47. punkts; Līguma Nr. Ž-138/2003 43. punkts).
Piemērojot abonēšanas un piegādes tarifus, atlaides preses izdevējiem, SIA “Press A Pasts” izmanto individuālu pieeju un viedokļu saskaņošanu. Žurnālu piegādes tarifi diferencēti trīs grupās atkarībā no žurnālu formāta (atbilst LP un ACD noteiktajam), katrai tarifu grupai noteikta minimālā un maksimālā robeža, kuras ietvaros savstarpēju vienošanos rezultātā tiek noteikts konkrētā preses izdevuma piegādes tarifs.
SIA “Abonēšanas aģentūra P.K.S.” noteiktie ierobežojumi parakstīšanās pieņemšanai:
1) teritoriāli;
2) gadījumos, ja nevar nodrošināt pieprasītos pakalpojumus, t.i., piegādāt pastu klienta pieprasītajā laikā.
Izdevējiem atlaides tiek sniegtas, veicot kopīgas akcijas un reklāmas kampaņas.
Ņemot vērā iepriekš minēto, var secināt, ka:
1) pamatojoties uz Koncepciju un vēstuli “Par sadarbību 2002. gadā”, LP abonēšanas pakalpojumu sniegšanu 2002. gadā pamato uz 2001. gada pirmā pusgada abonētās tirāžas rādītājiem. Minētajos dokumentos LP nenosaka kritērijus, vadoties pēc kuriem tiktu nodrošināta abonēšanas iespēja preses izdevumiem, kuri no jauna ienāk preses izdevumu tirgū;
2) gan preses izdevumu piegādes zonu, gan žurnālu klasifikācija pēc apjoma ir analoga gan LP, gan ACD dokumentos, pēc kuriem tiek noteikti piegādes pakalpojumu tarifi;
3) tarifi tiek aprēķināti, vadoties no kopējā pakalpojumu apjoma un no kopējām izmaksām;
4) preses izdevumu abonementus 2002. gadam bija iespējams noformēt ACD filiālēs un pieņemšanas punktos un saņemt abonēto preses izdevumu Rīgā, Rīgas rajona lielākajā daļā, Rīgas rajonam blakus esošo rajonu centros un tiem tuvu esošajās teritorijās, kā arī Ventspilī, Talsos, Liepājā un Valmierā. ACD apkalpošanas centri izvietoti LR lielo autoceļu (Rīga–Bauska, Rīga–Valmiera, Rīga–Veclaicene (līdz Cēsīm), Rīga–Daugavpils (līdz Lielvārdei)) tuvumā, bet LP nodaļas izvietotas visā LR teritorijā, dodot iespējas jebkuram LR iedzīvotājam saņemt LP sniegtos pakalpojumus neatkarīgi no dzīvesvietas;
5) gadījumos, kad LP nenodrošina abonēšanas pakalpojumu sniegšanu, preses izdevējiem ir alternatīva — abonēšanu organizēt preses izdevuma redakcijai, par šo iespēju informējot potenciālos abonementu īpašniekus ar LP kataloga starpniecību, vai ar citu konkrētā tirgus dalībnieku starpniecību, savukārt no preses izdevumu piegādes LP neatsakās;
6) ACD preses izdevumu piegādes pakalpojumu cena, nosakot papildu maksu par abonētā preses izdevuma piegādi no abonēšanas centra līdz abonenta pasta kastītei, ir par 100% (1. zonā) un 65% (2. un 3. zonā) lielāka nekā LP noteiktais piegādes tarifs, par augšminētā pakalpojuma sniegšanu maksā preses izdevuma abonementa noformētājs;
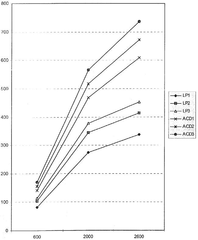
7) viena abonenta abonēšanas organizēšanas un noformēšanas, kā arī piegādes līdz abonenta pasta kastītei pakalpojuma cena A4 formāta žurnālam līdz 48 lpp.ar abonentu skaitu virs 2000 eks. 1. zonā:
— LP — 0,063 + 0,067 = Ls 0,13 (Ls 0,137 — ar abonentu skaitu 600–2000),
— ACD — 0,1 + 0,067 x 2 = Ls 0,234. Tādējādi analogu pakalpojumu ACD sniedz par 80% (71%) dārgāk nekā LP (skat. tabulu un grafiku);
8) piegādes tarifi 2. zonā ir vidēji par 47% un 3. zonā par 69% augstāki nekā 1. zonā. Pieņemot, ka preses izdevumu piegādes tarifu un izmaksu pieaugums zonās ir tieši proporcionāls, vidējās piegādes izmaksas katrā tarifu zonā nosacīti raksturo attiecība 1:1,47:1,69;
Maksa par abonēšanas un piegādes pakalpojumu sniegšanu, kuru saņem pakalpojumu sniedzējs, piegādājot abonentiem A4 formāta žurnālus (līdz 48 lpp.) LR teritorijā (Ls)
|
Zona/ab. |
600 |
2000 |
2600 |
|||
|
skaits |
LP |
ACD |
LP |
ACD |
LP |
ACD |
|
1. |
82,20 |
140,40 |
274,00 |
468,00 |
338,00 |
608,40 |
|
2. |
103,20 |
155,04 |
344,00 |
516,80 |
413,40 |
671,84 |
|
3. |
113,40 |
169,89 |
378,00 |
566,30 |
452,40 |
736,19 |
9) pieņemot, ka vienā noteiktā ģeogrāfiskā teritorijā (piegādes zonā) izvietoto pasta nodaļu un ACD apkalpošanas punktu pastāvīgās izmaksas (transporta izmaksas, elektroenerģija, ēku un telpu remonti u.c.) ir vienādas, un ņemot vērā faktu, ka izmaksas pieaug proporcionāli pasta nodaļas (abonēšanas centra) attālumam no Rīgas (1. zona), jāsecina, ka vienas pasta nodaļas pastāvīgās izmaksas LR teritorijā ir augstākas nekā viena abonēšanas centra pastāvīgās izmaksas, jo ACD abonēšanas centri un tiem atbilstošās preses izdevumu piegādes teritorijas galvenokārt atrodas 1. un 2. piegādes zonā, 3. zonā to skaits ir neliels. ACD preses abonēšanas un piegādes pakalpojumus nesniedz Latgales reģionā (Rēzeknes apkalpošanas centru atklāja tikai 2002. gada nogalē). Tādējādi vienā pasta nodaļā sniegto pakalpojumu vidējās izmaksas LR teritorijā nosacīti raksturo skaitlis 1,39, bet vienā abonēšanas centrā - 1,235;
10) sniedzot analogus pakalpojumus, LP ienākumi ir par 50-80% mazāki nekā ACD, ar ko arī izskaidrojams LP noteiktais ekonomiskais neizdevīgums, nodrošinot preses abonēšanas un piegādes pakalpojumu sniegšanu preses izdevumiem ar abonentu skaitu zem 600 eks. mēnesī, piemērojot esošos tarifus. Pastāvīgām izmaksām nemainoties un mainīgajām pieaugot līdz ar pakalpojumu apjoma pieaugumu, robežskaitlis 600 pamatojams ar iegūtās peļņas un faktisko izmaksu attiecību. Nodrošinot pakalpojumu sniegšanu preses izdevumiem ar abonentu skaitu zem 600 eks. mēnesī, ieņēmumi no sniegto pakalpojumu apjoma ir mazāki nekā faktiskās izmaksas, kuras nepieciešamas šo pakalpojumu nodrošināšanai, tādēļ LP atteikums iekļaut žurnālu “KOPĀ” preses izdevumu katalogā 2002. gadam un nodrošināt tā abonēšanas iespēju ar LP starpniecību ir objektīvi pamatots;
11) LP rīcībā nav saskatāma ļaunprātība, bet gan vēlme nodrošināt iedzīvotājiem preses izdevumu abonēšanas un piegādes pakalpojumus visā Latvijas teritorijā uz ekonomiski pamatotiem nosacījumiem.
Tādējādi, pastāvot alternatīvai preses izdevumu abonēšanas nodrošināšanai gan no citu preses izdevumu abonēšanas pakalpojumu sniedzēju puses, gan no LP puses, kā arī apstāklim, ka atteikšanās organizēt abonēšanas pakalpojumu sniegšanu žurnāliem, kuru mēneša kopējā abonētā tirāža nesasniedz 600 eksemplārus, ir ekonomiski pamatota, LP darbībās nav konstatējama dominējošā stāvokļa ļaunprātīga izmantošana.
Ņemot vērā minēto un pamatojoties uz Konkurences likuma 8. panta pirmās daļas otro punktu, Konkurences padome
nolēma:
izbeigt lietas Nr. 491/02/05/8 “Par SIA “GOREN BALTIJA” 23.09.2002. iesniegumu” izpēti, jo Konkurences likuma 13. pantā noteiktā dominējošā stāvokļa ļaunprātīgas izmantošanas aizlieguma pārkāpums LP darbībās nav konstatēts.
Konkurences padomes lēmumu var pārsūdzēt Rīgas Vidzemes priekšpilsētas tiesā viena mēneša laikā no dienas, kad ieinteresētā persona uzzināja vai tai vajadzēja uzzināt par lēmumu saskaņā ar Konkurences likuma 8. panta otro daļu.
Konkurences padomes priekšsēdētājs P.Vilks