
Ministru kabineta rīkojums Nr.9
Rīgā 2003.gada 9.janvārī (prot. Nr.50, 7.§)
Par Valsts probācijas dienesta koncepciju
1. Apstiprināt Valsts probācijas dienesta koncepciju.
2. Tieslietu ministrijai līdz 2003.gada 15.janvārim iesniegt noteiktā kārtībā Ministru kabinetā Valsts probācijas dienesta likumprojektu.
Ministru prezidents E.Repše
Tieslietu ministrs A.Aksenoks
Apstiprināta
ar Ministru kabineta
2003.gada 9.janvāra rīkojumu Nr.9
Valsts probācijas dienesta koncepcija
Ievads
Problēmas izklāsts Eiropas Savienības dalībvalstīs Probācijas dienestu pirmsākumi meklējami jau 19. gadsimtā, bet to funkcijas ievērojami paplašinājās 20.gs 60. gados, kad gan Eiropā, gan Ziemeļamerikā tika ieviesti jauni, ar brīvības atņemšanu nesaistīti sodi.
Apvienoto Nāciju organizācija (ANO) un Eiropas Padome (EP), uzskatot, ka šādi sodi ir efektīvi noziedzības novēršanā, jo palīdz izvairīties no brīvības atņemšanas kaitīgajām sekām, pieņēmušas virkni dokumentu kopīgu standartu veidošanai kriminālsodu politikā. Tie rosina dalībvalstis plašāk piemērot sodus, kas nav saistīti ar brīvības atņemšanu — ANO Minimālie standartnoteikumi par sodiem bez brīvības atņemšanas (Tokio noteikumi), EP Rekomendācija Nr. R(92) 16 “Eiropas noteikumi par sabiedrībā izciešamiem sodiem un pasākumiem”, Rekomendācija (99) 22 “Par cietumu pārapdzīvotību un ieslodzīto skaita palielināšanos”, Rekomendācija R(2000) par Eiropas noteikumiem “Par sabiedrībā izciešamiem sodiem un pasākumiem” ieviešanas uzlabošanu.
Kā arī dalībvalstīm ieteikts veidot efektīvas sodu izpildes uzraudzības1 institūcijas.
Dažādos ANO un EP ziņojumos par Latviju izteikts aicinājums ņemt vērā starptautisko dokumentu ieteikumus. Arī 2000. un 2001.gada Eiropas Komisijas Progresa ziņojumos par Latviju konstatēts, ka valstī vēl joprojām nav izveidots Probācijas dienests.
1. Ar brīvības atņemšanu notiesātās personas
Ar brīvības atņemšanu notiesāto personu lielais skaits valstī, šī soda izpildes dārdzība un negatīvās sekas.
Eiropas Savienības (ES) kandidātvalstu vidū Latvijā ir vislielākais ieslodzīto skaits — 350 ieslodzītie uz 100 000 iedzīvotāju.
Tas liecina par to, ka tiek tērēti lieli finansiālie līdzekļi no valsts budžeta, bet sods nesasniedz mērķi.
Daudzu noziedzīgu nodarījumu izdarīšanas rezultātā sabiedrība ir spiesta maksāt trīs reizes: pirmo reizi, kad pastrādāts noziedzīgs nodarījums; otro reizi, kad vainīgais nonāk cietumā, kur visiem nav iespēju strādāt un kompensēt cietušajiem nodarīto kaitējumu; trešo reizi, kad brīvības atņemšanas sodu izcietušais atbrīvojas no ieslodzījuma vietas, atgriežas sabiedrībā un ir jānovērš šī soda izpildes rezultātā radušās kaitīgās sekas.
Vidējais brīvības atņemšanas termiņš valstī ir (vīriešiem 4,5 gadi - kopējais skaits 5676 cilvēki un sievietēm 3,5 gadi - 220 cilvēki) – 4,46 gadi . Viens ieslodzītais valstij dienā izmaksā Ls 3,61, bet gadā Ls 1317,65. Vidēji ik gadu ieslodzījuma vietās atrodas 8 800 ieslodzīto.
Tātad viena vidēja ilguma brīvības atņemšanas soda izpilde valstij izmaksā – Ls 5 876,7 bet 8 800 cilvēkiem - Ls 51 715 127.* (* pamatojoties uz TM IeVP ziņām.)
2. Kriminālsods — piespiedu darbs
Viens no sabiedrībā izciešamiem kriminālsodiem2 ir piespiedu darbs. Kaut arī šo kriminālsodu likums paredz salīdzinoši nesen (no 1999.gada 1.aprīļa), tā izpilde pašvaldībās, jau devusi pozitīvus rezultātus. Patlaban tas ir viens no efektīvākajiem kriminālsodiem, kas nav saistīts ar brīvības atņemšanu un izslēdz visus trīs augstākminētos zaudējumu veidus sabiedrībai.
2001.gadā 1020 cilvēkiem tiesas piesprieda piespiedu darbus, dodot iespēju atlīdzināt kaitējumu, izciešot sodu savā dzīves vietā. Piespiedu darba uzraudzības dienesti izveidoti 56 pašvaldībās (Sorosa fonds — Latvija to izveidei un darbinieku apmācībai no 1999.gada sniedzis finansu līdzekļus Ls 80 000 apmērā).
Kriminālsoda — piespiedu darbs — finansēšana un koordinācija valsts līmenī nenotiek. No valsts budžeta šī soda izpildei nav piešķirti līdzekļi, kā to nosaka “Grozījumi Latvijas Sodu izpildes kodeksā” Pārejas noteikumi, kas reāli apdraud tā nostiprināšanu un plašāku piemērošanu. Pašreiz piespiedu darbu organizācijai finansējums piešķirts vienīgi no ārvalstu finansu līdzekļiem (Sorosa fonds — Latvija, Lielbritānijas vēstniecība) un atsevišķu pašvaldību budžetiem.
Tāpat šī soda veida ieviešanai un realizācijai nav izveidota koordinācijas un uzraudzības institūcija, trūkst vienotas metodikas soda izpildes organizēšanai. Atbilstoši Eiropas valstu praksei, šī soda veida izpildi koordinē Probācijas dienests. Ņemot vērā minēto, piespiedu darba koordinācijai un uzraudzībai jābūt vienam no Valsts Probācijas dienesta uzdevumiem.
3. Nosacīti notiesātie
Pietiekami efektīvi pašreiz nav organizēts darbs ar nosacīti notiesātajiem.
Pirmkārt, šīs personas pašreiz ir ne tikai nepietiekami kontrolētas3, bet netiek novērsti noziedzīgā nodarījuma izdarīšanas cēloņi — nav kompleksas pieejas problēmas risināšanai.
Otrkārt, tas skaidrojams ar Krimināllikuma 55.pantā paredzētajiem pienākumiem, kas prasa atturēties no noteiktām darbībām, bet neparedz aktīvu rīcību.
Pašlaik darbs ar nosacīti notiesātajiem netiek veikts pietiekoši. To kontrole ir formāla, bet ne reāla. Tās rezultātā netiek novērsti noziedzīgo nodarījumu izdarīšanas cēloņi un koriģēta šo personu uzvedība. Saskaņā ar citu Eiropas valstu pieredzi, nosacīti notiesāto personu sociālās uzvedības korekcija ir viens no Probācijas dienesta uzdevumiem.
4. Izlīgums
Pašlaik izlīguma procesam ir formāls raksturs, proti, tam nav iniciatora, to realizē procesa virzītājs bez vidutāja (mediatora4). Tādējādi netiek nodrošināta cietušā interešu garantēšana, sociālā taisnīguma principa realizācija.
Ārpustiesas izlīgums, kaut arī pastāv mūsu Kriminālprocesa kodeksā, tomēr prasa pilnveidošanu, atbilstoši Eiropas Padomes Rekomendācijām Nr.18 “Par dalībvalstu kriminālās justīcijas vienkāršošanu”. Šie izlīguma trūkumi konstatēti arī Kriminālprocesa likuma projekta koncepcijā un norādīts, ka izlīgums jāorganizē saskaņā ar ES valstu pieredzi, uzticot to profesionāliem vidutājiem.
Kā liecina citu Eiropas valstu prakse, izlīgums mazina tiesībsargājošo institūciju noslogotību, atbrīvojot līdzekļus lietām, kurām tie vajadzīgi vairāk. Eiropas valstīs šo darbu veic profesionāli apmācīti Probācijas dienesta darbinieki.
6. Izvērtēšanas ziņojumi par likumpārkāpējiem
Pašreiz informācija, kas nonāk tiesas rīcībā par likumpārkāpēju tiek iegūta no formāliem raksturojumiem un izziņām. Tā bieži nesniedz objektīvu priekšstatu par likumpārkāpēja personību, tāpēc ir sarežģīti pieņemt noziedzīgam nodarījumam atbilstošu lēmumu par soda veidu un apmēru. Lai tiesa varētu piespriest likumpārkāpējam visatbilstošāko soda veidu, tās rīcībā jābūt objektīvam, neatkarīgam un izvērstam likumpārkāpēja personības raksturojumam.
Ņemot vērā minēto, tiesneša rīcībā būtu izvērtējoši ziņojumi, kas sniegtu visaptverošu un izsmeļošu personas raksturojumu, tos vajadzētu sastādīt Probācijas dienesta darbiniekiem, uzsākot darbu ar likumpārkāpēju.
7. Palīdzība pēc atbrīvošanās no
ieslodzījuma vietām
(postpenitenciārā palīdzība5)
Ik gadu no brīvības atņemšanas iestādēm atbrīvojas vidēji 2500 cilvēku.
Personām, kuras izcietušas brīvības atņemšanas sodu, pēc atbrīvošanās netiek sniegta palīdzība nepieciešamajā apjomā, kas apgrūtina to reintegrāciju sabiedrībā un veicina jaunu noziedzīgu nodarījumu izdarīšanu.
Pašreiz izveidojusies situācija, ka gandrīz neviena no iniciatīvām par palīdzības sniegšanu bijušajiem ieslodzītajiem nav guvusi valsts finansiālu atbalstu: kaut gan valdība 1998.gada 29.decembrī ir akceptējusi “Sodu izcietušo personu sociālās rehabilitācijas valsts koncepciju”, bet 1999.gadā 12.oktobrī MK noteikumus Nr.351 “Par materiālo palīdzību personām, kuras tiek atbrīvotas no brīvības atņemšanas iestādēm”, kur noteikts, ka valstij šāda palīdzība jāsniedz.
Atbilstoši MK akceptētajiem normatīvajiem aktiem patreiz sniedzamā palīdzība pēc atbrīvošanās no cietuma ir sezonai atbilstošs apģērbs (no humānās palīdzības) un ceļa izdevumi līdz atbrīvotās personas dzīves vietai, ko Ieslodzījuma vietu pārvalde finansē nevis no konkrēti šim mērķim paredzētiem, bet gan no savu iestāžu uzturēšanas līdzekļiem un palīdzība, ko sniedz pašvaldību sociālās palīdzības dienesti.
Lai novērstu izveidojušos situāciju un sniegtu no brīvības atņemšanas iestādēm atbrīvotajām personām reālu palīdzību pirmajā laikā pēc atbrīvošanās (miteklis, dokumenti, darba meklēšana u.c), Probācijas dienestam nepieciešams uzdot organizēt koordinētu un kompleksu palīdzību personām, kas atbrīvojušas no brīvības atņemšanas iestādēm. Šādu uzdevumu Probācijas dienestam jau pašreiz paredz Latvijas Sodu izpildes kodeksa 120., 121.panti.
7.1. Sadarbība ar ieslodzījuma vietām
Lai Probācijas dienesta sniegtā postpenitenciārā palīdzība būtu adekvāta ieslodzītā vajadzībām un sabiedrības interesēm:
• Probācijas dienests pirms personas atbrīvošanas no ieslodzījuma vietas sadarbībā ar cietuma administrāciju un citām institūcijām noskaidro, kāda palīdzība atbrīvojamai personai nepieciešama un šīs palīdzības sniegšanas iespējas;
• Probācijas dienests sniedz palīdzību tikai tām personām, kuras ar savu uzvedību soda izciešanas laikā pierādījušas, ka grib saņemt palīdzību un dzīvot likumpaklausīgu dzīvesveidu pēc atbrīvošanās no soda izciešanas;
• Brīvības atņemšanas soda izpildes/izciešanas laikā sociālās rehabilitācijas darbu ar notiesātajiem cietumos veic attiecīgā cietuma speciālisti sadarbībā ar Probācijas dienestu.
Par sekām, kuras iestāsies, ja:
1....brīvības atņemšanas sodu piemēros tikpat plaši, kā pašreiz.
• Patērējamo valsts budžeta līdzekļu apjoms šī soda izpildes nodrošināšanai turpinās pieaugt;
• Katru gadu liels cilvēku skaits valstī būs pakļauts brīvības atņemšanas soda negatīvajai ietekmei - soda izciešanas laikā tiks zaudētas sociālās iemaņas, saites ar ģimeni, nebūs iespēju strādāt un maksāt nodokļus;
• Pēc atbrīvošanās no soda izciešanas šīm personām būs grūtības reintegrēties sabiedrībā.
2.... piespiedu darba izpildei netiks piešķirts finansējums no valsts budžeta un valsts līmenī nebūs koordinējošas institūcijas, ir pamats domāt, ka
• tiesas atturēsies no šī soda veida plašākas piemērošanas, savukārt
• pašvaldības neredzēs iespēju tālāk finansēt vienas pašas no pašvaldību budžeta līdzekļiem šī kriminālsoda izpildi.
• Liela daļa likumpārkāpēju, kam varētu piespriest piespiedu darbus nonāks cietumā un papildinās jau tā iespaidīgo ieslodzīto skaitu.
3....nosacīti notiesāto personu uzvedība un rīcības sociālpsiholoģiskie cēloņi netiks koriģēti,
• šīm personām saglabāsies tendence atkārtoti izdarīt noziedzīgus nodarījumus un
• daudzi no nosacīti notiesātajiem papildinās ar brīvības atņemšanas sodu notiesāto personu skaitu.
4... izlīgumu realizēs, kā pašreiz.
• Likumpārkāpējam saglabāsies tendence izdarīt jaunus likumpārkāpumus, jo netiks novērsti noziedzīgā nodarījuma izdarīšanas sociālpsiholoģiskie cēloņi, bet
• cietušais zaudēs uzticību valsts tiesību aizsardzības institūcijām.
6.... nav izvērtēšanas ziņojumu.
• Netiek atvieglots tiesnešu darbs, tie negūst vispusīgu priekšstatu par likumpārkāpēja personību.
• Izvērtēšanas ziņojuma trūkums arī turpmāk radīs grūtības piemērot adekvātu soda veidu.
7... netiks sniegta pietiekama palīdzība personām, kas atbrīvotas no brīvības atņemšanas iestādēm.
• Personas, kuras atbrīvojušās no soda izciešanas (sevišķi sākuma periodā), nesaņemot tām nepieciešamo palīdzību (dzīvesvietu, darbu, izglītību), atkārtoti izdarot likumpārkāpumus, papildinās ieslodzīto lielo īpatsvaru valstī.
Problēmas risinājuma varianti un realizācijas posmi
Problēmas risinājums — izveidot Valsts Probācijas dienestu.
Probācijas dienesta uzdevums — valstiskā līmenī koordinēt sabiedrībā izciešamo sodu izpildi un organizēt palīdzību personām, kas atbrīvotas no ieslodzījuma.
Dienesta koordinējošā funkcija — nozīmē soda izpildes metodikas izstrādi, rehabilitējošo programmu piesaisti soda izpildei, valsts līdzfinansējuma administrēšanu.
Dienesta darbības virzieni — personu uzraudzība sabiedrībā, kam tiesa piespriedusi sodu, kam uzlikts par pienākumu pildīt noteiktus nosacījumus (nosacīti izbeidzot krimināllietu, audzinoša rakstura piespiedu līdzekļu izpildes koordinācija); piespiedu darba koordinācija; mierizlīguma organizēšana; palīdzība bijušajiem ieslodzītajiem; izvērtējoša ziņojuma sniegšana tiesai par likumpārkāpēju, lai palīdzētu noteikt adekvātu sodu.
Probācijas dienests būs institūcija, kas ievērojami atslogos pārējo tiesību aizsardzības un citu iestāžu darbu, sekmēs noziedzības novēršanu valstī, nodrošinās sabiedrībā izciešamo sodu kvalitatīvu izpildi un koordināciju.
N.N. — noziedzīgs nodarījums
T. — tiesa
ATB — atbrīvošana no b/a soda izciešanas
R. — resocializācijas galarezultāts — likumpaklausīga persona
Risinājums:
(Skatīt pielikumā A–shēmu pielikums A-1, finansu aprēķins A-2
)
Valsts Probācijas dienests (VPD) savu darbību realizē trijos etapos.
I etaps 2003.gada 1.aprīlis–2003.gada 31.decembris
Funkcijas, ko realizēs Valsts Probācijas dienests:
1. Uzsāk kriminālsoda “piespiedu darbs” koordināciju valstī;
2. Uzsāk organizēt postpenitenciāro palīdzību bijušiem ieslodzītajiem;
3. Uzsāk Probācijas datu bāzes izveidi (Informācijas centrs);
4. Tiek organizēta VPD darbinieku apmācība.
Dienesta struktūras izveide:
1. Izveido Valsts Probācijas dienestu pārvaldi;
2. Izveido rajonu (pilsētu) Valsts Probācijas dienestus 6 rajonos;
3. Organizē darbinieku apmācību;
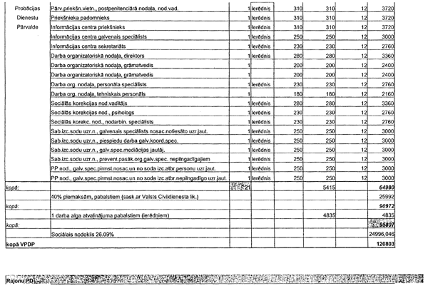
Nepieciešamie finansu līdzekļi — Ls 395 924.
(Izvērstā veidā šīs summas skatīt pielikumā A. (A-2)).
II etaps 2004.gada 1.janvāris–2004.gada 31.decembris
Funkcijas, ko realizēs Valsts Probācijas dienests:
1. Veic kriminālsoda “piespiedu darbs” koordināciju;
2. Organizē postpenitenciāro palīdzību;
3. Uzsāk personu uzraudzību, kam uzlikti nosacījumi (nosacīti notiesātie, personas pret kurām krimināllieta izbeigta ar nosacījumiem un piespiedu audzināšanas līdzekļu piemērošanas koordinācija nepilngadīgajiem);
4. Organizē palīdzību personām sociālās korekcijas jautājumos;
5. Tiek uzsākts darbs noziedzības novēršanas preventīvo pasākumu organizēšanā nepilngadīgajiem.
6. Turpina veidot Probācijas datu bāzi (Informācijas centrs).
Dienesta struktūras izveide:
1. Blakus jau esošajām 6 (A II etaps), tiek vēl izveidotas 6 (B I etaps) rajonu un pilsētu Valsts Probācijas dienesti (kopā valsts rajonos 12 struktūrvienības);
2. Organizē darbinieku apmācību.
Nepieciešamie finansu līdzekļi — Ls 1 528 105.
(Izvērstā veidā šīs summas skatīt pielikumā A. (A-2)).
III etaps 2005.gada 1.janvāris–2007.gada 31.decembris
Funkcijas, ko realizēs Valsts Probācijas dienests:
1. Veic kriminālsoda piespiedu darbs koordināciju;
3. Organizē postpenitenciāro palīdzību bijušajiem ieslodzītajiem;
4. Uzsāk personu uzraudzību, kam uzlikti nosacījumi (nosacīti notiesātie, personas pret kurām krimināllieta izbeigta ar nosacījumiem un piespiedu audzināšanas līdzekļu piemērošanas koordinācija nepilngadīgajiem);
5. Organizē palīdzību personām sociālās korekcijas jautājumos;
6. Koordinē noziedzības preventīvos pasākumus nepilngadīgajiem;
7. Turpina veidot Probācijas datu bāzi (Informācijas centrs).
Dienesta struktūras izveide:
1. Blakus jau strādājošām struktūrvienībām rajonos 6( A III etaps — pilnībā nokomplektētas), 6 (B II etaps) tiek vēl papildus izveidotas VPD pārvaldes 14 (C I etaps) rajonos, kuras līdz 2007.gada 31.decembrim tiek pakāpeniski nokomplektētas pilnībā.
2. Organizē darbinieku apmācību.
Nepieciešamie finansu līdzekļi:
1. posms — 1.012005–31.12.2005 — Ls 2 092 893;
2. posms — 1.01.2006–31.12.2006 — Ls 2 302 344;
3. posms — 1.01.2007–31.12.2007 — Ls 2 436 107.
(Izvērstā veidā šīs summas skatīt pielikumā A. (A-2)).
Tādējādi uz 2007.gada 31.decembri valstī jau darbosies pilnībā visas nepieciešamās VPD struktūrvienības.
Nepieciešamo tiesību aktu projekti
|
N. p.k. |
Plānotā darbība |
Normatīvā akta apraksts |
Izpildītājs |
|
1. |
Izstrādāt “Valsts Probācijas dienesta likumu” |
Valsts Probācijas dienesta (VPD) likums noteiks VPD uzdevumus un funkcijas, probācijas principus, probācijas ierēdņu (darbinieku) tiesības un atbildību, dienesta darba organizāciju, finansēšanas kārtību. |
Tieslietu ministrija |
|
2. |
Izdarīt grozījumus Latvijas Sodu izpildes kodeksā |
Latvijas SIK nepieciešams izdarīt grozījumus, jo pašreiz spēkā esošās kodeksa normas paredz tikai daļu no VPD koncepcijas projektā ietvertajiem uzdevumiem. Šo grozījumu izdarīšanas rezultātā Latvijas SIK normas tiktu tuvinātas Eiropas valstu praksei. |
Tieslietu ministrija |
|
5.pantu papildināt ar 3 daļu sekojošā redakcijā: “Ja tiesa piespriedusi sodu nosacīti un uzlikusi notiesātajam pārbaudes laikā veikt attiecīgus pienākumus, tad šāda sprieduma izpildi kontrolē un notiesātā uzvedību pārbaudes laikā uzrauga Probācijas dienests.” |
|||
|
120.panta 2.daļu izteikt šādā redakcijā: “Valsts Probācijas dienests darbojas saskaņā ar speciālo likumu”. |
|||
|
121.panta 2.daļu papildināt ar 7.punktu sekojošā redakcijā: “Koordinē kriminālsoda — piespiedu darbs izpildi”; 8.punktu sekojošā redakcijā: “Rada iespēju cietušajam un likumpārkāpējam brīvprātīgi iesaistīties mediācijas procesā”; 9.punktu sekojošā redakcijā: “Apkopo informāciju par personām, kuras nonākušas Valsts probācijas dienesta redzes lokā”; 10.punktu sekojošā redakcijā: “sagatavo izvērtēšanas ziņojumu par likumpārkāpēju.” |
Tieslietu ministrija |
||
|
134.panta 1.daļu papildināt ar vārdiem: ”kura darbību koordinē probācijas dienests”; 2.daļas 9.punktu papildināt ar vārdiem: ”un Valsts Probācijas dienestam”. |
|||
|
3. |
Izdarīt grozījumus Krimināllikumā |
Krimināllikumā nav norādīta institūcija, kas atbildīga par nosacīta tiesas sprieduma izpildi. Saskaņā ar VPD koncepcijas projektu tā ir viena no dienesta funkcijām, tāpēc vēlams to reglametēt arī Krimināllikumā |
Tieslietu ministrija |
|
55.panta 6.daļas 2.punktu izteikt sekojošā redakcijā: “Nemainīt dzīvesvietu bez VPD piekrišanas”; 3.punktu izteikt sekojošā redakcijā: “Periodiski reģistrēties VPD un piedalīties probācijas programmās”. |
Turpmākā rīcība
|
N. p.k. |
Rīcība |
Termiņš |
Atbildīgā institūcija |
|
1. |
Iesniegts nepieciešamais papildu finansējuma pieteikums budžeta prioritāro attīstības virzienu nodrošināšanai; |
01.04.2002 |
Tieslietu ministrija |
|
2. |
Sagatavot un iesniegt “Valsts Probācijas dienesta koncepciju” Ministru kabinetā; |
15.05.2002 |
Tieslietu ministrija |
|
3. |
Sagatavot un iesniegt “Valsts Probācijas dienesta likuma” projektu; |
15.01.2003 |
Tieslietu ministrija |
|
4. |
Sagatavot un iesniegt nepieciešamos grozījumus normatīvos aktos sakarā ar VPD izveidi: 1. Grozījumus Tieslietu ministrijas nolikumā; 2. Grozījumus Latvijas Sodu izpildes kodeksā; 3. Grozījumus Krimināllikumā |
20.01.2003 |
Tieslietu ministrija |
|
5. |
Iesniegt nepieciešamo finansu līdzekļu pieprasījumu Valsts Probācijas dienesta izveidi 2003.gadam |
10. 09.2002 |
Tieslietu ministrija |
|
6. |
Izstrādāt un iesniegt Ministru Kabinetā “Valsts Probācijas dienesta nolikumu” |
1.03.2003 |
Tieslietu ministrija |
|
7. |
Izveidot Valsts Probācijas dienestu saskaņā ar koncepcijas A.variantu. |
1.04.2003– |
Tieslietu ministrija |
Atskaitīšanās un novērtēšanas kārtība
|
N.p.k. |
Rīcība |
Termiņš |
Institūcija |
|
1. |
Atskaitīšanās par Valsts Probācijas dienesta koncepcijas ieviešanas gaitu notiek reizi gadā. Tieslietu ministrija informē Ministru kabinetu par Valsts Probācijas dienesta koncepcijā noteikto mērķu un uzdevumu izpildi. |
2003.gada 1.decembris |
Tieslietu ministrija |
|
2. |
Valsts Probācijas dienesta likuma: - Iesniegšana MK |
2003.gada 15.janvāris |
Tieslietu ministrija |
|
|
- spēkā stāšanās | 2003.gada 1.aprīlis | Tieslietu ministrija |
|
3. |
Valsts Probācijas dienesta izveide |
2003.gada 1.aprīlis |
Tieslietu ministrija |
_______________
1 Uzraudzība — palīdzības pasākumi, kurus veic
uzraudzības institūcija vai cita organizācija tās vārdā, kuru
mērķis ir paturēt likumpārkāpēju sabiedrībā un pasākumi, kuri
tiek veikti, lai nodrošinātu, ka likumpārkāpējs pilda izvirzītās
prasības vai noteikumus.
2 Sabiedrībā izciešamais kriminālsods, kas nav saistīts ar personas piespiedu turēšanu ieslodzījumā un kura izciešanas laikā notiesātā persona tiek uzraudzīta sabierībā.
3 Kontrole — pasākumi, kuru mērķis ir pārliecināties, vai tiek pildītas izvirzītās prasības vai noteikumi, kā arī pasākumi, kuru mērķis ir nodrošināt sodu izpildi, piemērojot, vai brīdinot par sankciju piemērošanu, gadījumā, ja notiek izvairīšanās no soda. Kontroles jēdziens ir šaurāks par uzraudzības jēdzienu.
4 Mediācija — izlīgums starp cietušo un vainīgo ar īpaši apmācīta vidutāja — mediatora — palīdzību.
5 Postpenitenciārā palīdzība — nepieciešamā palīdzība personām, kuras vēlas laboties un piedalīties probācijas programmās, pēc atbrīvošanās no ieslodzījuma (miteklis, dokumenti, darbā iekārtošana, izglītība, citi sociālās un psiholoģiskās palīdzības veidi).
Tieslietu ministrs A.Aksenoks
1.pielikums
Valsts Probācijas dienesta koncepcijai
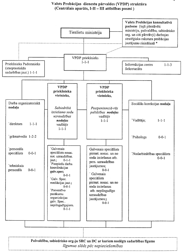
Valsts Probācijas dienesta pārvaldes struktūra
I-III ieviešanas etapi
|
Amats |
Etaps I-II-III |
|
1. Pārvaldes priekšnieks |
1-1-1 |
|
2. Informācijas centrs |
1-1-3 |
|
2.1. Priekšnieks |
1-1-1 |
|
2.1.1. Galvenais speciālists |
0-0-1 |
|
2.1.2. Sekretariāts |
0-0-1 |
|
3. Priekšnieka Padomnieks |
1-1-1 |
|
4. Darba organizatoriskā nodaļa |
2-3-5 |
|
4.1. Direktors |
1-1-1 |
|
4.1.2. Grāmatvedis |
1-2-2 |
|
4.1.3. Personāla speciālists |
0-0-1 |
|
4.1.4. Tehniskais personāls |
0-0-1 |
|
5. Sociālās korekcijas nodaļa |
1-1-3 |
|
5.1. Vadītājs |
1-1-1 |
|
5.1.2. Psihologs |
0-0-1 |
|
5.1.3. Nodarbinātības speciālists |
0-0-1 |
|
6. Sabiedrībā izciešamo sodu uzr.nod. |
1-3-5 |
|
6.1. Pārv. p-ka vietn., (nodaļas vad.) |
1-1-1 |
|
6.1.2. Galvenais speciālists nosacīti notiesāto uzr. jautājumos |
0-1-1 |
|
6.1.3. Piespiedu darba koordinācijas galvenais speciālists |
0-0-1 |
|
6.1.4. Galv.speciālists mediācijas jautājumos |
0-0-1 |
|
6.1.5. Preventīvo pasākumu org.galvenais speciālists nepilngadīgajiem |
0-1-1 |
|
7. Postpen.palīdzības nodaļa |
1-2-4 |
|
7.1. Pārv. p-ka vietn., (nodaļas vad.) |
1-1-1 |
|
7.2. Galvenais speciālists pirmst. nosac. un no soda izciešanas atb. pers. uzraudzības jautājumos; |
0-0-1 |
|
7.3. Galvenais speciālists pirmst. nosac. un no soda |
0-0-1 |
|
izciešanas atb. nepilngadīgo uzraudzības jautājumos; |
0-1-1 |
|
Etapā I-II-III darbinieki pārvaldē KOPĀ: |
8-12-22 |
8. Sociālās rehabilitācijas centri (SRC) bijušajiem ieslodzītajiem
8.1. Dienas centri (DC) nepilngadīgajiem un personām, kas izcieš sodu sabiedrībā (nosacīti notiesātie, notiesātie ar piespiedu darbiem, nepilngadīgie, kam piemēroti piespiedu rakstura audzināšanas līdzekļu un citas kategorijas).
(sadarbība notiek uz līguma pamata).
Rajonu un pilsētu Valsts Probācijas dienestu organizācijas
I-III etapi
|
Amats |
Etaps I-II-III /darbinieku skaits |
|
1. Rajona (pilsētas) Valsts Probācijas dienesta priekšnieks |
1-1-1 |
|
2. Informācijas nodaļa |
0-1-1 |
|
2.1. Sekretariāts |
0-1-1 |
|
3. Sabiedrībā izciešamo sodu uzraudzības nodaļa |
1-2-2 |
|
3.1. Vadītājs |
1-1-1 |
|
3.2. Galv.speciālists |
0-1-1 |
|
4. Postpenitenciārās palīdzības nodaļa |
0-1-2 |
|
4.1. Vadītājs |
0-1-1 |
|
4.2. Galv.speciālists |
0-0-1 |
|
Etapā I-II-III darbinieki rajona Probācijas dienestā KOPĀ: |
2-5-7 |
Valsts Probācijas dienesta ieviešanas mehānisms rajonos
2003.gada 1.aprīlis I ETAPS
Ievieš 6 rajonos(A), darbu uzsāk 2 darbinieki katrā
(A)6 rajoni x 2 darbinieki = 12
VALSTS RAJONOS KOPĀ STRĀDĀ 12 DARBINIEKI
2004.gada 1.janvāris II ETAPS
Darbs turpinās 6 rajonos (attīstot dienesta struktūru-palielinās darbinieku skaits katrā no tiem +3):
(A) 6 rajoni x (2+3) darbinieki = 6 x 5 = 30;
Darbs no jauna tiek organizēts vēl 6 rajonos, kuri uzsāk darbību saskaņā ar pirmā etapa noteikumiem.
(B) 6 rajoni x 2 darbinieki = 12
VALSTS RAJONOS KOPĀ STRĀDĀ 42 DARBINIEKI
2005.gada 1.janvāris III ETAPS, 1.posms
Iesākto darbu turpina pirmie 6 rajoni, kuri tālāk saņem papildus 1 štata vietu un līdz ar to ir nokomplektēti pilnībā:
(A) 6 rajoni x (2+3+2) darbinieki = 6 x 7=42
Iesākto darbu turpina arī otrā etapā darbu uzsākušie rajoni, kuri tālāk saņem papildus 3 štata vietas:
(B) 6 rajoni x (2+3) darbinieki = 6 x 5 = 30
Darbs no jauna tiek organizēts pārējos 14 rajonos, kuri darbību uzsāk saskaņā ar pirmo etapu:
(C) 14 rajoni x 2 darbinieki =28
VALSTS RAJONOS KOPĀ STRĀDĀ 42+30+28=100 DARBINIEKI
2006.gada 1.janvāris turpinās III ETAPA realizācija, 2.posms
Pilnībā nokomplektēts dienests uz šo brīdi 12 rajonos:
(A)+(B) 12 rajoni x 7 darbinieki = 84
(C) 14 (III Etapā darbību uzsākušie) rajoni turpina darbu un papildus katrs saņem vēl 3 štata vietas atbilstoši II Etapa nosacījumiem:
14 rajoni x (2+3) = 70
VALSTS RAJONOS KOPĀ STRĀDĀ 84 + 70 = 154 DARBINIEKI
2007. gada 1.janvāris valsts rajonos Probācijas dienesti nokomplektēti pilnībā, 3.posms
(A) un (B) 12 rajonos = 72 darbinieki
(C) 14 rajonos x (2+3+2) = 98 darbinieki
6 republikas nozīmes pilsētās II Etapā un III Etapā nāk klāt vēl pa vienam darbiniekam (t.i. II Etapā — 1, III Etapā — 1), tātad:
II–III Etaps + 12 darbinieki republikas nozīmes pilsētās
* Tiek izveidota Valsts Probācijas Konsultatīvā padome, rajonu un pilsētu konsultatīvās padomes.
• Valsts Probācijas Konsultatīvā padome (VPKP) nodarbojas ar probācijas jautājumu koordināciju valstī, sniedz ieteikumus un metodoloģisku palīdzību vietējām konsultatīvajām padomēm rajonos un pilsētās, veicina sadarbību starp tiesībsargājošām un citām institūcijām. VPKP nav Valsts Probācijas dienesta struktūrvienība, tā darbojas pie Tieslietu ministrijas. Konsultatīvā padome sanāk vienu reizi ceturksnī vai pēc nepieciešamības. Konsultatīvo padomi vada Valsts Probācijas dienestu pārvaldes priekšnieka padomnieks vai VPDP priekšnieks, padomes locekļi — Ģenerālprokuratūras, Valsts policijas, Iekšlietu, Tieslietu, Labklājības, Izglītības un zinātnes ministriju pārstāvji, Pašvaldību savienības, sabiedrisko organizāciju. Konsultatīvā padome darbojas saskaņā ar Latvijas Republikas Satversmi un citiem spēkā esošiem normatīviem aktiem. Valsts Probācijas Konsultatīvās padomes lēmumi ir obligāti rajonu (pilsētu) VPD konsultatīvajām padomēm;
• Rajona (pilsētas) VPD konsultatīvā padome nodarbojas ar probācijas jautājumu koordināciju rajonā (pilsētā), risina sabiedriskās drošības jautājumus rajonā (pilsētā), veicinot sadarbību starp vietējām tiesību aizsardzības un citām institūcijām.
Rajona (pilsētas) VPD konsultatīvā padome sanāk reizi ceturksnī vai pēc nepieciešamības. Rajona (pilsētas) VPD konsultatīvo padomi vada rajona (pilsētas) Valsts Probācijas dienesta priekšnieks, padomes locekļi - rajona (pilsētas) prokuratūras, Valsts policijas, pašvaldības, tiesas, sabiedrisko un citu vietējo institūciju pārstāvji. Rajona VPD konsultatīvās padomes lēmumi ir rekomendējoša rakstura.
Rajona (pilsētas) VPD konsultatīvā padome darbojas saskaņā ar Latvijas Republikas Satversmi un citiem spēkā esošiem normatīviem aktiem un par tās lēmumiem atskaitās Valsts Probācijas Konsultatīvai padomei.
Šajā koncepcijas variantā:
1) Valsts Probācijas dienesta ieviešana rajonos notiek pakāpeniski;
Pielikums Nr.1;
2) Saskaņā ar finansu aprēķiniem šis variants no valsts budžeta neprasa uzreiz lielu finansu līdzekļus.
3) Finansu aprēķinus skatīt Pielikumā Nr.2
2.pielikums
Valsts Probācijas dienesta koncepcijai
3.pielikums
Valsts Probācijas dienesta koncepcijai
Valsts probācijas dienesta koncepcijas projekta kopsavilkums
Apvienoto Nāciju organizācija un Eiropas Padome uzskatot, ka sodi bez izolācijas no sabiedrības ir efektīvāki noziedzības novēršanā, jo palīdz izvairīties no brīvības atņemšanas kaitīgajām sekām un prasa mazāk finansu līdzekļu, pieņēmušas virkni dokumentu kopīgu standartu veidošanai kriminālsodu politikā. Tie rosina dalībvalstis plašāk piemērot sodus, kas nav saistīti ar brīvības atņemšanu. 2000. un 2001.gada Eiropas Komisijas Progresa ziņojumos par Latviju konstatēts, ka valstī vēl joprojām nav izveidots Probācijas dienests.
Latvijā izveidojusies situācija liecina par to, ka visplašāk piemērojamais sods ir brīvības atņemšana. Pēc atbrīvošanās no brīvības atņemšanas soda izciešanas personām netiek sniegta palīdzība un veikta to uzraudzība nepieciešamā apjomā, kas ir viens no recidīva cēloņiem.
Nosacīti notiesāto personu kontroli veic Valsts policija, taču nav institūcijas, kura nodarbotos ar to cēloņu novēršanu, dēļ kuriem persona ir bijusi notiesāta nosacīti — arī tas ir viens no recidīvu veicinošiem faktoriem.
Pozitīvi vērtējama prakse pašvaldībās izveidojusies kriminālsoda - piespiedu darbs izpildē. Tai pat laikā nav institūcijas, kas veiktu pašvaldību Piespiedu darba uzraudzības dienestu koordināciju un sniegtu tiem metodisko palīdzību, organizētu šo speciālistu vienotu apmācību.
Probācijas dienests atvieglotu arī tiesu darbu, sniedzot izvērtēšanas ziņojumu par likumpārkāpēju, lai tiesnesis, taisot spriedumu varētu balstīties uz objektīvu informāciju par tiesājamā personību. Izlīguma plašāka piemērošana ļautu novērst noziedzīgā nodarījuma izdarīšanas sociālpsiholoģiskos cēloņus.
Probācijas dienesta uzdevums — valstiskā līmenī koordinēt sabiedrībā izciešamo sodu izpildi un organizēt palīdzību personām, kas atbrīvotas no ieslodzījuma.
Probācijas dienests ir institūcija, kas nepieciešama, lai ievērojami atslogotu tiesību aizsardzības un citu iestāžu darbu, sekmētu noziedzības novēršanu valstī, nodrošinātu sabiedrībā izciešamo sodu kvalitatīvu izpildi un koordināciju.