
Valsts galvenā pārtikas un veterinārā inspektora rīkojums Nr.13
Rīgā 2003.gada 7.janvārī
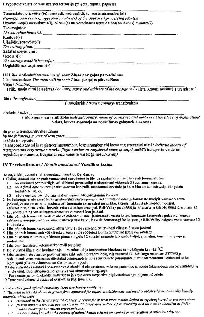
Par veselības sertifikātu aitu un kazu gaļas eksportam uz Igaunijas Republiku
Pamatojoties uz Igaunijas veterinārā dienesta noteiktajām prasībām, nosaku:
1. Aitu un kazu gaļas eksportam uz Igauniju izsniegt pielikumā noteiktās formas veselības sertifikātu.
2. Ar rīkojuma stāšanos spēkā atcelt 2001.gada 15.oktobra Pārtikas un veterinārā dienesta rīkojumu Nr.279.
3. Atcelt sertifikāta “Eksport 2” izsniegšanu aitu un kazu gaļas eksportam uz Igauniju.
4. Rīkojumu publicēt laikrakstā “Latvijas Vēstnesis”.
5. Rīkojums stājas spēkā ar parakstīšanas brīdi.
6. Kontroli pār rīkojuma izpildi uzdodu Pārtikas uzraudzības departamenta direktoram E.Zavadskim un Sanitārās robežinspekcijas priekšniecei I.Šicei-Trēdei.
Valsts galvenais pārtikas un veterinārais inspektors V.Veldre
Pielikums