
Valsts galvenā pārtikas un veterinārā inspektora rīkojums Nr.12
Rīgā 2003.gada 6.janvārī
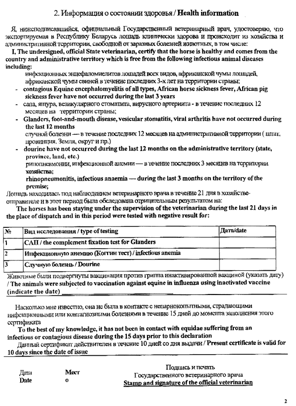
Par veterināro (veselības) sertifikātu šķirnes zirgu un audzēšanai paredzētu zirgu eksportam uz Baltkrieviju
Pamatojoties uz Baltkrievijas veterinārā dienesta prasībām, nosaku:
1. Šķirnes zirgu un audzēšanai paredzētu zirgu eksportam uz Baltkrieviju izsniegt rīkojuma pielikumā noteiktā parauga veterināro sertifikātu.
2. Atcelt sertifikāta “Eksport 1” izsniegšanu šķirnes un audzēšanai paredzētu zirgu eksportam uz Baltkrieviju.
3. Rīkojumu publicēt laikrakstā “Latvijas Vēstnesis”.
4. Rīkojums stājas spēkā ar parakstīšanas brīdi.
5. Kontroli pār rīkojuma izpildi uzdodu Dzīvnieku veselības un labturības departamenta direktoram I.Celmam un Sanitārās robežinspekcijas priekšniecei I.Šicei-Trēdei.
Valsts galvenais pārtikas un veterinārais inspektors V.Veldre
Pielikums