
Valsts galvenā pārtikas un veterinārā inspektora rīkojums Nr.427
Rīgā 2002. gada 1. novembrī
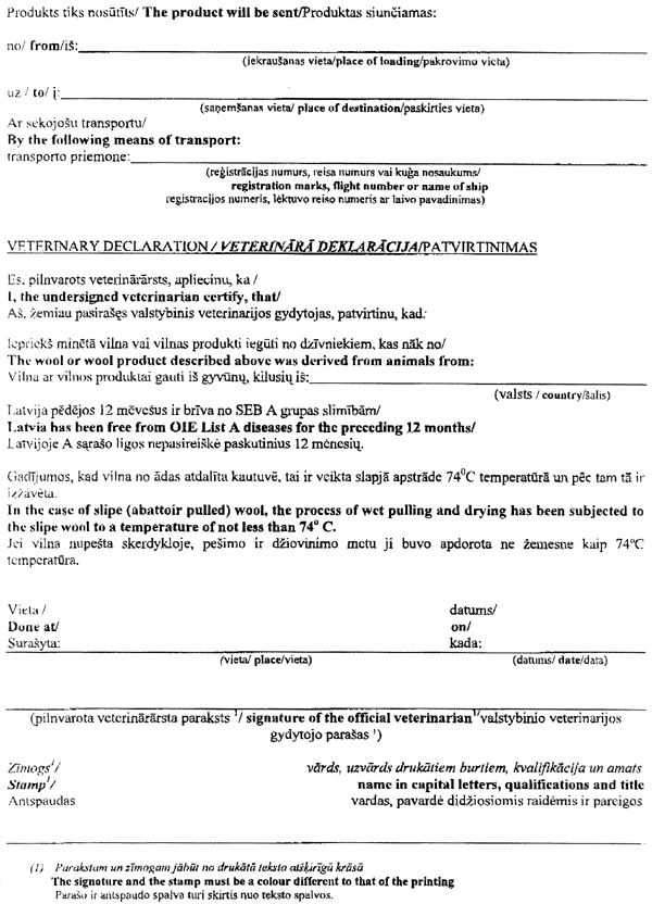
Par veterināro sertifikātu vilnas un vilnas produktu eksportam uz Lietuvu
Pamatojoties uz Lietuvas Republikas veterinārā dienesta noteiktajām prasībām un Veterinārmedicīnas likuma 41. panta 2. punktu, nosaku:
1. Vilnas un vilnas produktu eksportam uz Lietuvu izsniegt rīkojuma pielikumā notiktās formas sertifikātu.
2. Atcelt sertifikāta “Eksport 2” izsniegšanu vilnas un vilnas produktu eksportam uz Lietuvu.
3. Rīkojumu publicēt laikrakstā “Latvijas Vēstnesis”.
4. Rīkojums stājas spēkā ar parakstīšanas brīdi.
5. Kontroli pār rīkojuma izpildi uzdodu:
5.1. Dzīvnieku veselības un labturības uzraudzības departamenta direktoram I.Celmam;
5.2. Sanitārās robežinspekcijas priekšniecei I.Šicei-Trēdei.
Valsts galvenais pārtikas un veterinārais inspektors V.Veldre
Pielikums