
Valsts galvenā pārtikas un veterinārā inspektora rīkojums Nr. 415
Rīgā 2002. gada 23. oktobrī
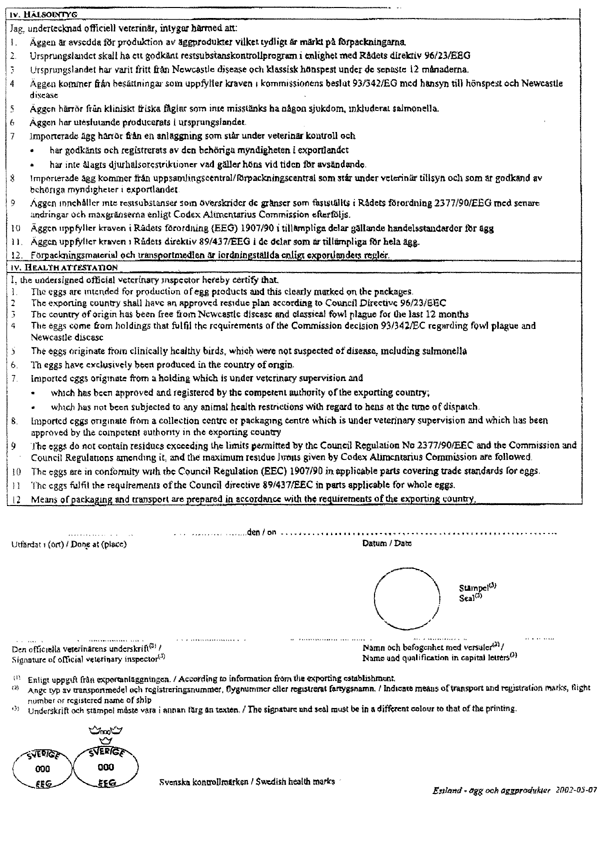
Par veselības sertifikātu vistu olu, kas paredzētas olu produktu ražošanai, eksportam uz Zviedriju
Pamatojoties uz Zviedrijas veterinārā dienesta noteiktajām prasībām, nosaku:
1. Vistu olu, kas paredzētas olu produktu ražošanai, eksportam uz Zviedriju izsniegt pielikumā noteiktās formas veselības sertifikātu.
2. Atcelt sertifikāta “Eksport 2” izsniegšanu vistu olu, kas paredzētas olu produktu ražošanai, eksportam uz Zviedriju.
3. Rīkojumu publicēt laikrakstā “Latvijas Vēstnesis”.
4. Rīkojums stājas spēkā ar parakstīšanas brīdi.
5. Kontroli pār rīkojuma izpildi uzdodu:
5.1. Pārtikas uzraudzības departamenta direktoram E. Zavadskim;
5.2.Sanitārās robežinspekcijas priekšniecei I.Šicei-Trēdei.
Valsts galvenais pārtikas un veterinārais inspektors V. Veldre
Pielikums