
Valsts galvenā pārtikas un veterinārā inspektora rīkojums Nr. 407
Rīgā 2002. gada 17. oktobrī
Par augu izcelsmes dzīvnieku barības ievešanu LR no Igaunijas Republikas
Lai ieviestu vienotas prasības tirdzniecībai ar augu izcelsmes dzīvnieku barību starp Latviju un Igauniju, nosaku:
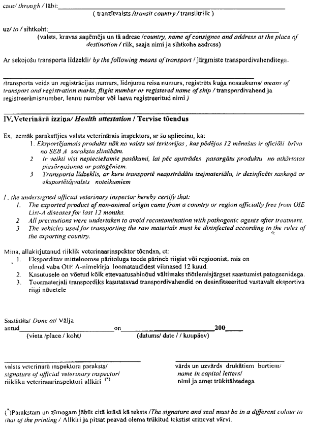
1. Latvijas Republikā no Igaunijas Republikas atļauts ievest augu izcelsmes dzīvnieku barību ar Igaunijas kompetentās iestādes izdotu noteikta parauga veterināro sertifikātu (pielikums).
2. Rīkojums stājas spēkā ar tā parakstīšanas brīdi.
3. Rīkojumu publicēt laikrakstā “Latvijas Vēstnesis”.
4. Kontroli pār rīkojuma izpildi uzdodu:
4.1. Dzīvnieku veselības un labturības departamenta direktoram I. Celmam;
4.2. Sanitārās robežinspekcijas priekšniecei I. Šicei-Trēdei.
Valsts galvenais pārtikas un veterinārais inspektors V. Veldre
Pielikums