
Valsts ieņēmumu dienesta rīkojums Nr. 1990
Rīgā 2002.gada 14.oktobrī
Par “TIR karnešu lapu un tranzīta VAD (T1) formulāru uzskaites un aprites kārtību”
1. Apstiprinu “TIR karnešu lapu un tranzīta VAD (T1) formulāru uzskaites un aprites kārtību”.
2. Atzīt par spēku zaudējušu ar Valsts ieņēmumu dienesta 2000. gada 7. decembra rīkojumu Nr.903 apstiprināto “TIR karnešu lapu un tranzīta VAD (T1) formulāru uzskaites un aprites kārtību”.
3. Rīkojumu publicēt laikrakstā “Latvijas Vēstnesis”.
Valsts ieņēmumu dienesta ģenerāldirektors A.Sončiks
TIR karnešu lapu un tranzīta VAD (T1) formulāru uzskaites un aprites kārtība
I. Lietotie termini
1. Nosūtītāja muitas iestāde — saskaņā ar 2002.gada 3.septembra Ministru kabineta noteikumiem Nr.396 “Muitas procedūras — tranzīts — izpildes kārtība” ir muitas iestāde, kurā precēm tiek uzsākta tranzīta procedūras piemērošana.
2. Saņēmēja muitas iestāde — saskaņā ar 2002.gada 3.septembra Ministru kabineta noteikumiem Nr.396 “Muitas procedūras — tranzīts — izpildes kārtība” ir muitas iestāde, kurā precēm tiek pabeigta tranzīta procedūras piemērošana.
3. Uzraudzības iestāde — reģionālā vai teritoriālā muitas iestāde, kuras pārraudzībā ir saņēmēja muitas iestāde un/vai nosūtītāja muitas iestāde.
4. VAD — vienotais administratīvais dokuments.
5. Principāls — persona, kura pati vai ar pilnvarotā pārstāvja starpniecību, iesniedzot attiecīgo deklarāciju, uzņemas atbildību par tranzīta operācijas veikšanu.
II. TIR karnešu lapu uzskaite un aprite
6. Nosūtītāja un saņēmēja muitas iestāde TIR karnešu lapas pēc to noformēšanas:
6.1. nekavējoties, bet ne vēlāk kā piecu dienu laikā, pēc to noformēšanas nogādā reģionālajā vai teritoriālajā muitas iestādē:
6.1.1. TIR karnešu pāra eksemplārus (zaļās lapas) — sakārtotus atbilstoši nosūtītājām muitas iestādēm;
6.1.2. TIR karnešu nepāra eksemplārus (baltās lapas) — sakārtotus atbilstoši noformēšanas datumiem;
6.2. nosūtītājas un saņēmējas muitas iestādē noformētajiem TIR karnešu eksemplāriem pievieno sarakstu vai datorprogrammas izdruku divos eksemplāros (atsevišķi zaļajām lapām un atsevišķi baltajām lapām) un nogādā attiecīgajā reģionālajā vai teritoriālajā muitas iestādē. Sarakstā TIR karnešu lapās augošā secībā uzrāda eksemplāru numurus. Sarakstu vai izdruku ar parakstu un personīgo zīmogu apstiprina muitas ierēdnis, kurš ir atbildīgs par tā veidošanu;
6.3. reģionālā vai teritoriālā muitas iestāde ne retāk kā reizi nedēļā, bet ne vēlāk kā piecas dienas pēc TIR karnešu lapu saņemšanas, saņemtās lapas kopā ar sarakstu nogādā Valsts ieņēmumu dienesta (turpmāk — VID) Galvenās muitas pārvaldes (turpmāk — GMP) Tranzīta kontroles daļas Muitas dokumentu apstrādes nodaļā.
7. VID GMP Tranzīta kontroles daļas Muitas dokumentu apstrādes nodaļa:
7.1. salīdzina saņemtās TIR karnešu lapas ar sarakstā uzrādītajām;
7.2. vienu saraksta eksemplāru, kas pievienots TIR karnešu lapām, ar VID GMP ierēdņa atzīmēm par attiecīgo muitas dokumentu saņemšanu nogādā reģionālajai vai teritoriālajai muitas iestādei, otru uzglabā.
III. Tranzīta VAD (T1) formulāru uzskaite un aprite
8. Nosūtītāja muitas iestāde pēc muitas procedūras — tranzīts noformēšanas:
8.1. vienotā administratīvā dokumenta formulāru Nr.1 kopā ar pavaddokumentiem un vienreizējā galvojuma iesniegšanas gadījumā galvojuma dokumentu uzglabā vai nogādā uzglabāšanai attiecīgajā uzraudzības iestādē saskaņā ar Finansu ministrijas 2002.gada 17.aprīļa rīkojuma Nr.365 “Par Metodiskajiem norādījumiem par vienotā administratīvā dokumenta aizpildīšanu” 2.punkta prasībām;
8.2. VAD formulāru Nr.4 un Nr.5 nodod pārvadātāja rīcībā, lai tos iesniegtu deklarācijā norādītajā saņēmējā muitas iestādē.
9. Pēc muitas procedūras — tranzīts pabeigšanas:
9.1. saņēmēja muitas iestāde VAD formulāru Nr.4 un Nr.5 nekavējoties, bet ne vēlāk kā piecu dienu laikā pēc to saņemšanas, nogādā attiecīgajā uzraudzības iestādē. VAD formulāram Nr.4 pievieno datorprogrammas izdruku vai VAD formulāru sarakstu divos eksemplāros, bet formulāram Nr.5 — vienā eksemplārā. Sarakstu vai izdruku ar parakstu un personīgo zīmogu apstiprina muitas ierēdnis, kurš ir atbildīgs par tā veidošanu;
9.2. uzraudzības iestāde:
9.2.1. salīdzina VAD formulāru Nr.4 un Nr.5 ar sarakstā norādītajiem un pārbauda saņēmējas muitas iestādes ierēdņa izdarīto atzīmju atbilstību Valsts ieņēmumu dienesta 2000.gada 3.aprīļa rīkojumā Nr.236 “Par VAD burtu aiļu aizpildīšanu” noteiktai kārtībai;
9.2.2. VAD formulāru Nr.4 un pievienotos sarakstus nekavējoties, bet ne vēlāk kā piecu dienu laikā pēc tā saņemšanas nogādā VID GMP Tranzīta kontroles daļā;
9.2.3. VAD formulāru Nr.5 un pievienoto sarakstu nekavējoties, bet ne vēlāk kā piecu dienu laikā pēc tā saņemšanas, nogādā nosūtītājas muitas iestādes uzraudzības iestādei;
10. VID GMP Tranzīta kontroles daļas Muitas dokumentu apstrādes nodaļa:
10.1. salīdzina saņemto tranzīta VAD formulāru Nr.4 ar sarakstā uzrādītajiem;
10.2. vienu saraksta eksemplāru, kas pievienots tranzīta VAD formulāra Nr.4 eksemplāram, ar VID GMP ierēdņa atzīmēm par attiecīgo muitas dokumentu saņemšanu nogādā uzraudzības iestādē, otru saglabā;
10.3. pārbauda VAD formulārā Nr.4 saņēmējas muitas iestādes ierēdņa izdarīto atzīmju atbilstību Valsts ieņēmumu dienesta 2000.gada 3.aprīļa rīkojumā Nr.236 “Par VAD burtu aiļu aizpildīšanu” noteiktai kārtībai un Finansu ministrijas 2002.gada 17.aprīļa rīkojumu Nr.365 “Par Metodiskajiem norādījumiem par vienotā administratīvā dokumenta aizpildīšanu”.
IV. Muitas iestāžu un ierēdņu rīcība neatbilstību un pārkāpumu gadījumos
11. VID GMP Tranzīta kontroles daļas Muitas dokumentu apstrādes nodaļa:
11.1. pieprasa rakstveida informāciju no uzraudzības iestādes, ja VID GMP saņemtie muitas dokumenti neatbilst sarakstos minētajiem vai informācijai VID GMP datu bāzē;
11.2. nosūta pieprasījumu saņēmējas muitas iestādes uzraudzības iestādei par papildu informācijas sniegšanu un ziņu precizēšanu TC-21 (sk. 3.pielikumu), ja saņemtais tranzīta VAD formulārs Nr.4 nav noformēts atbilstoši normatīvajos dokumentos noteiktai kārtībai (saskaņā ar Ministru kabineta 2002.gada 5.marta noteikumiem Nr.94 “Preču deklarēšanas un vienkāršotās muitošanas kārtība”, Finansu ministrijas 2002.gada 17.aprīļa rīkojumu Nr.365 “Par Metodiskajiem norādījumiem par vienotā administratīvā dokumenta aizpildīšanu”, Valsts ieņēmumu dienesta 2000.gada 3.aprīļa rīkojumu Nr.236 “Par VAD burtu aiļu aizpildīšanu”);
11.3. nosūta pieprasījumu TC-20 (sk. 1.pielikumu) saņēmējas muitas iestādes uzraudzības iestādei, ja 14 dienu laikā pēc tranzīta procedūras uzsākšanas VID GMP Tranzīta kontroles daļas Muitas dokumentu apstrādes nodaļā netiek saņemts tranzīta VAD formulārs Nr.4;
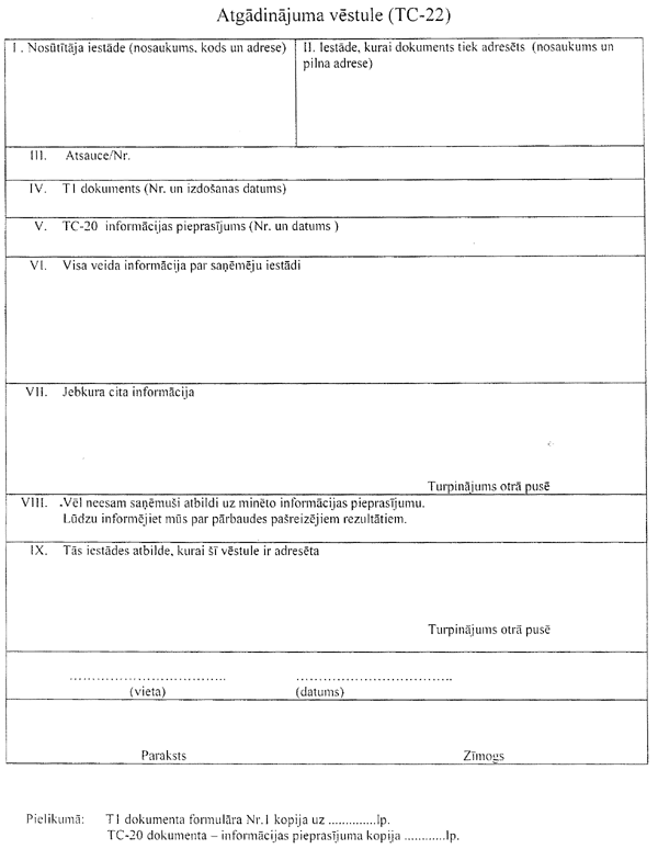
11.4. nosūta atgādinājuma vēstuli TC-22 (sk. 2.pielikumu), ja 14 dienu laikā pēc TC-20 nosūtīšanas VID GMP Tranzīta kontroles daļas Muitas dokumentu apstrādes nodaļa nav saņēmusi atbildi;
11.5. apkopo datus un informē VID GMP Iekšējā audita daļu, ja netiek saņemta atbilde uz TC-22 pieprasījumu vai tiek konstatēts, ka atkārtoti tiek pieļautas kļūdas, noformējot un/vai noslēdzot tranzīta VAD T1.
12. Nosūtītājas muitas iestādes uzraudzības iestāde:
12.1. pieprasa rakstveida informāciju no saņēmējas muitas iestādes uzraudzības iestādes, ja nosūtītājas muitas iestādes uzraudzības iestādē saņemtie muitas dokumenti neatbilst sarakstos minētajiem vai informācijai datu bāzē;
12.2. nosūta pieprasījumu saņēmējas muitas iestādes uzraudzības iestādei par papildu informācijas sniegšanu un ziņu precizēšanu TC-21 (sk. 3.pielikumu), ja saņemtais tranzīta VAD formulārs Nr.5 nav noformēts atbilstoši normatīvajos dokumentos noteiktai kārtībai (saskaņā ar Ministru kabineta 2002.gada 5.marta noteikumiem Nr.94 “Preču deklarēšanas un vienkāršotās muitošanas kārtība”, Finansu ministrijas 2002.gada 17.aprīļa rīkojumu Nr.365 “Par Metodiskajiem norādījumiem par vienotā administratīvā dokumenta aizpildīšanu”, Valsts ieņēmumu dienesta 2000.gada 3.aprīļa rīkojumu Nr.236 “Par VAD burtu aiļu aizpildīšanu”);
12.3. nosūta pieprasījumu TC-20 (sk. 1.pielikumu) saņēmējas muitas iestādes uzraudzības iestādei, ja desmit dienu laikā pēc tranzīta procedūras uzsākšanas nosūtītājas muitas iestādes uzraudzības iestādē nesaņem tranzīta VAD formulāru Nr.5;
12.3.1. saņēmējas muitas iestādes uzraudzības iestāde nosūta TC-20 atpakaļ, norādot nepieciešamo papildu informāciju otrajā ailē, ja informācija, ko TC-20 dokumentā sniedz nosūtītājas muitas iestādes uzraudzības iestāde, nav pietiekama, lai veiktu pārbaudi;
12.3.2. aizpilda trešo aili un nosūta TC-20 saņēmējas muitas iestādes uzraudzības iestādei 12.3.1.punktā minētajā gadījumā;
12.4. nosūta atgādinājuma vēstuli TC-22 (sk. 2.pielikumu), ja nosūtītājas muitas iestādes uzraudzības iestāde 14 dienu laikā pēc TC-20 nosūtīšanas nav saņēmusi atbildi;
12.5. apkopo datus un informē VID GMP Tranzīta kontroles daļu, ja 14 dienu laikā pēc TC-22 pieprasījuma nosūtīšanas netiek saņemta atbilde un/vai tiek konstatēts, ka atkārtoti tiek pieļautas kļūdas, noslēdzot tranzīta VAD T1;
12.6. paziņo principālam par tranzīta procedūras nepabeigšanu un muitas parāda rašanos (sk. 4.pielikumu), ja 20 dienu laikā pēc tranzīta procedūras uzsākšanas nosūtītājas muitas iestādes uzraudzības iestādē nesaņem tranzīta VAD formulāru Nr.5 un nav saņemta informācija no saņēmējas muitas iestādes vai ir saņemta negatīvā atbilde;
12.7. ja principāls vai viņa pārstāvis iesniedz vienu no 2002.gada 3.septembra Ministru kabineta noteikumu Nr.396 “Muitas procedūras — tranzīts — izpildes kārtība” 30.punktā norādītajiem dokumentiem, tad:
12.7.1. nosūta saņēmējas muitas iestādes uzraudzības iestādei pieprasījumu pārbaudīt iesniegtās dokumenta kopijas atbilstību oriģinālam (ja tiek iesniegta saņēmējas muitas iestādes apstiprināta tranzīta VAD vai cita preču pavaddokumenta kopija);
12.7.2. nosūta VID GMP Tranzīta kontroles daļai pieprasījumu pārbaudīt iesniegta citas valsts muitas iestāžu noformēta muitas dokumenta autentiskumu (ja ir iesniegta dokumenta kopija — kopijas atbilstību oriģinālam);
12.8. izmanto tranzīta VAD formulāra Nr.4 apstiprināto kopiju, kas ir noformēts saskaņā ar Ministru kabineta 2002.gada 5.marta noteikumos Nr.94 “Preču deklarēšanas un vienkāršotās muitošanas kārtība”, Finansu ministrijas 2002.gada 17.aprīļa rīkojumu Nr.365 “Par Metodiskajiem norādījumiem par vienotā administratīvā dokumenta aizpildīšanu”, Valsts ieņēmumu dienesta 2000.gada 3.aprīļa rīkojumā Nr.236 “Par VAD burtu aiļu aizpildīšanu” noteikto kārtību, kā apliecinājumu, ka krava ir izvesta no Latvijas Republikas muitas teritorijas un tranzīta procedūra ir pabeigta;
12.9. noslēdz tranzīta VAD un izdara attiecīgās korekcijas datu bāzē, ja nosūtītājas muitas iestādes uzraudzības iestādē ir saņemts attiecīgais dokuments vai tā attiecīgi apstiprinātā kopija.
V. Pārējie nosacījumi
13. Ja atsevišķus muitas dokumentus VID GMP vai nosūtītājas muitas iestādes uzraudzības iestādē nogādā ar nokavēšanos, arī šiem dokumentiem pievieno sarakstus un pavadvēstuli ar paskaidrojumu.
14. Ja reģionālā vai teritoriālā muitas iestāde VID GMP vai nosūtītājas muitas iestādes uzraudzības iestādē nogādā sarakstus ar labojumiem, labojumus ar parakstu un personīgo zīmogu apstiprina muitas ierēdnis, kurš ir izdarījis attiecīgos labojumus.
15. Ja VID GMP nogādātajos sarakstos pēc skaidrojuma saņemšanas izdara labojumus, tos ar parakstu un personīgo zīmogu apstiprina VID GMP Tranzīta kontroles daļas Muitas datu apstrādes nodaļas ierēdnis, kurš ir izdarījis labojumus.
16. Ja nosūtītājas muitas iestādes uzraudzības iestādē nogādātajos sarakstos pēc skaidrojumu saņemšanas izdara labojumus, tos ar parakstu un personīgo zīmogu apstiprina muitas ierēdnis, kurš ir izdarījis labojumus.
17. Muitas dokumentu kopijas, ja tās ir ņemtas no dokumentu oriģināliem, muitas ierēdnis apstiprina ar personīgo zīmogu un parakstu, norādot datumu.
18. Ja preces tiek pieteiktas secīgai procedūrai, noformējot VAD saskaņā ar Finansu ministrijas 2002.gada 17.aprīļa rīkojumu Nr.365 “Par Metodiskajiem norādījumiem par vienotā administratīvā dokumenta aizpildīšanu” apstiprināto “Metodisko norādījumu vienotā administratīvā dokumenta aizpildīšanai” 4.punktu, jāievēro šī rīkojuma 8. un 9. punktā noteiktā tranzīta VAD formulāru uzskaites un aprites kārtība.
1.pielikums
2.pielikums
3.pielikums
4.pielikums