
Valsts galvenā pārtikas un veterinārā inspektora rīkojums Nr. 342
Rīgā 2002. gada 26. augustā
Par veterināro sertifikātu zirgu pagaidu izvešanai uz Igaunijas Republiku
Pamatojoties uz Igaunijas Republikas Pārtikas un veterinārā dienesta prasībām un Veterinārmedicīnas likuma 20. panta 3. punktu, nosaku:
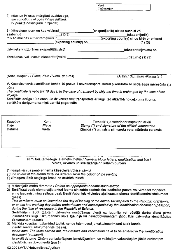
1. Reģistrētu zirgu izvešanai uz Igaunijas Republiku uz sacensībām, izstādēm un kultūras pasākumiem uz laiku ne ilgāku par 90 dienām izsniegt rīkojuma pielikumā noteiktā parauga veterināro sertifikātu.
2. Atcelt sertifikāta “Eksport 1” izsniegšanu reģistrētu zirgu izvešanai uz Igaunijas Republiku uz sacensībām, izstādēm un kultūras pasākumiem uz laiku ne ilgāku par 90 dienām.
3. Rīkojumu publicēt laikrakstā “Latvijas Vēstnesis”.
4. Rīkojums stājas spēkā ar parakstīšanas brīdi.
5. Kontroli pār rīkojuma izpildi uzdodu:
5.1. Dzīvnieku veselības uzraudzības daļas vadītājam E. Jēgeram;
5.2. Sanitārās robežinspekcijas priekšniecei I. Šicei–Trēdei.
Valsts galvenā pārtikas un veterinārā inspektora
pienākumu izpildītājs I. Celms