
Civilmilitārās sadarbības koncepcija
Akceptēta ar Ministru kabineta
2002. gada 9. jūlija rīkojumu Nr.360
(“Latvijas Vēstnesis”, 12.07.2002., Nr.105)
I.Civilmilitārā sadarbība un civilmilitārās sadarbības koncepcijas mērķis
Civilmilitārā sadarbība ir valsts varas un pārvaldes iestāžu, nevalstisko organizāciju un civilās sabiedrības vienota un saskaņota (mērķtiecīga) sadarbība ar nacionālajiem un partnervalstu bruņotajiem spēkiem, lai novērstu nacionālajai drošībai radušos apdraudējumus un riskus vai likvidētu to izraisītās sekas.
Civilmilitārās sadarbības koncepcijas mērķis ir:
• noteikt civilmilitārās sadarbības principus un vadlīnijas;
• nodrošināt valsts totālās aizsardzības sistēmas funkcionēšanu un tās nostiprināšanu;
• veicināt visu valsts un sabiedrības resursu koordinētu, mērķtiecīgu un efektīvu sagatavošanu un izmantošanu miera laikā (laikā, kad nav izsludināts karastāvoklis) un karastāvokļa (īpaša tiesiska režīma valstī, kuru izsludina, ja valstij pieteikts karš vai izdarīts militārs iebrukums tās teritorijā) gadījumā;
• precizēt valsts institūciju, pašvaldību, juridisko un fizisko personu un Nacionālo bruņoto spēku kompetenci un uzdevumus civilmilitārās sadarbības jomā miera laikā un karastāvokļa gadījumā.
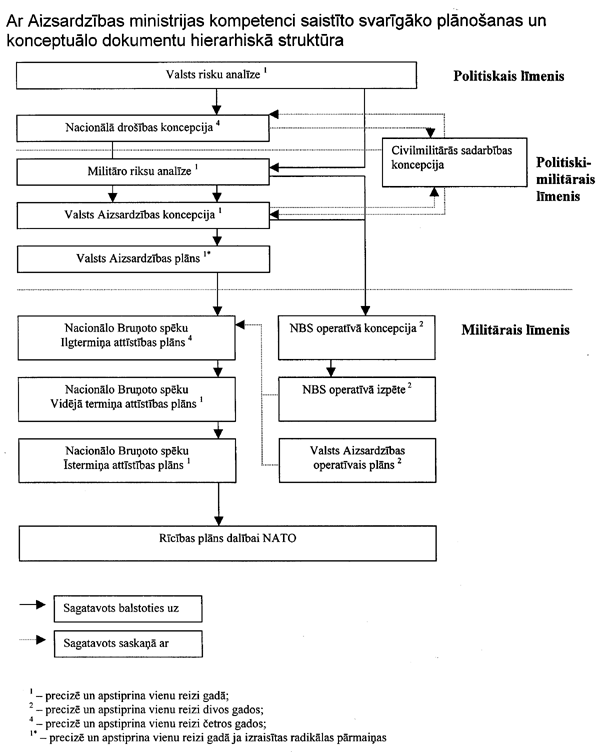
Civilmilitārās sadarbības koncepcija ir veidota, balstoties uz Nacionālās drošības likumu, Nacionālās drošības koncepciju, Valsts aizsardzības koncepciju, LR Mobilizācijas koncepciju un citiem normatīvajiem aktiem un politikas dokumentiem, kas regulē Latvijas valsts nacionālās drošības jautājumus, kā arī izmantojot ANO civilmilitārās sadarbības pieredzi un NATO civilmilitārās sadarbības doktrīnu.
Koncepcija ir veidota, ņemot vērā NATO un Rietumu demokrātisko valstu pieredzi un nostāju šo problēmu risināšanā.
Efektīva un mērķtiecīga civilmilitārā sadarbība veicinās savstarpējo sapratni starp civilajām un militārajām institūcijām, bruņotajiem spēkiem un sabiedrību un sekmēs viena no Latvijas drošības politikas pamatmērķiem — integrācijas NATO — īstenošanu. Normatīvajos aktos regulēta civilmilitārā sadarbība veicinās valsts ekonomiskās, politiskās un sociālās vides stabilizāciju.
Civilmilitārās sadarbības koncepcijas uzdevums ir nodrošināt resursu rūpīgu apzināšanu, novērtēšanu un to izmantošanas vadlīniju izstrādāšanu.
Civilmilitārās sadarbības nostādņu īstenošanas rezultātā ir jānodrošina Latvijas nacionālajai drošībai nepieciešamo resursu optimāla izmantošana gan militārajām, gan civilajām vajadzībām.
II.Problēmas izklāsts
Latvijas sabiedrība ir skaitliski neliela un tās materiālie resursi ir ierobežoti, tādēļ valsts aizsardzība jābalsta uz militārā personāla un civilo iedzīvotāju ciešu un profesionālu sadarbību visu veidu valsts apdraudējumu pārvarēšanai un novēršanai.
Lai to panāktu, valsts aizsardzība tiek organizēta saskaņā ar totālās aizsardzības principu, kas nosaka, ka valsts pastāvēšanas un aizsardzības garantēšana nav tikai militārs, bet gan vispārnacionāls uzdevums.
Totālās aizsardzības sistēmas sastāvdaļas ir:
• valsts militārās aizsardzības sistēma;
• valsts civilās aizsardzības sistēma;
• visi valstij pieejamie materiālie un finansu resursi valsts apdraudējuma gadījumā.
Tāpēc valsts aizsardzībā tiek iesaistīta visa sabiedrība kopumā un tiek izmantoti visi pieejamie valsts un sabiedrības civilie un militārie resursi, kā arī notiek pastāvīga civilo un militāro institūciju (Aizsardzības ministrijas pārziņā un pakļautībā esošās institūcijas un Nacionālie bruņotie spēki) sadarbība. Ja šī sadarbība nav pietiekami efektīva un iepriekš plānota, var rasties draudi totālās aizsardzības sistēmas sekmīgai attīstībai un funkcionēšanai.
Mūsdienu risku veidu struktūra ir kļuvusi daudzveidīgāka; riski var rasties gan atsevišķi politiskajā, ekonomiskajā, sociālajā un ekoloģiskajā jomā, gan var būt arī to kompleksa saistība. Par būtiskiem riska veidiem ir kļuvuši starptautiskais terorisms, katastrofas un organizētā noziedzība. Šāda drošības vide pieprasa Latvijas aizsardzības sistēmas gatavību reaģēt uz jebkura veida risku un pastiprināt sadarbību starp civilo sektoru un bruņotajiem spēkiem.
Konfliktu situācijās sadarbība starp visu līmeņu militārajām un civilajām institūcijām ir būtiska, jo ātri progresējoši riska faktori rada aizvien jaunus, grūti iepriekš prognozējamus papildu šķēršļus.
Galvenie šķēršļi efektīvai civilmilitārās sadarbības īstenošanai ir:
• resursu sadales problēmas civilo un militāro institūciju starpā;
• civilo un militāro institūciju atšķirīgās kultūras, funkcijas un lomas sabiedrībā;
• nenoteiktība un nepietiekama koordinācija konfliktu situāciju pārvarēšanā iesaistīto subjektu darbības mērķu noteikšanā un funkciju sadalē.
Civilmilitārā sadarbība plašākā nozīmē ir relatīvi jauns jēdziens, kura īstenošana dzīvē pieprasa saskaņotu un integrētu pieeju no civilo un militāro institūciju puses.
Civilajām un militārajām institūcijām ir jāapzinās kopēji mērķi un jāuzņemas dalīta atbildība par šo mērķu sasniegšanu un īstenošanu, jāpārvar vai maksimāli jāsamazina iepriekš minētie galvenie šķēršļi efektīvai civilmilitārās sadarbības īstenošanai.
III. Prognoze par sekām,
ja netiks risināta civilmilitārās sadarbības problēma
Civilmilitārā sadarbība ir neatņemams totālās aizsardzības īstenošanas process, kas saista totālās aizsardzības sistēmas sastāvdaļas un nodrošina to savstarpēju mijiedarbību, koordināciju un abpusēju atbalstu.
Neattīstot civilmilitāro sadarbību, nopietni šķēršļi un problēmas var rasties:
1. valsts totālās aizsardzības sistēmas attīstībai un funkcionēšanai;
2. efektīvas NBS, Valsts civilās aizsardzības un tautsaimniecības mobilizācijas sistēmas izveidē un mobilizācijas īstenošanā valsts apdraudējuma gadījumā;
3. Latvijas dalībai NATO;
4. Latvijas kā uzņēmējvalsts atbalsta īstenošanai, pildot starptautiskās saistības drošības un aizsardzības jautājumos;
5. Latvijas starptautisko saistību izpildē, piedaloties starptautiskās miera atbalsta, miera uzturēšanas vai miera nodrošināšanas operācijās.
Kopumā neplānota, iepriekš nesagatavota civilmilitārā sadarbība rada neprognozējamus draudus sabiedrībai un valsts ekonomikai.
IV.Civilmilitārās sadarbības subjekti
Civilmilitārās sadarbības subjekti ir valsts institūcijas (kā civilās, tā militārās), pašvaldības, kā arī juridiskas un fiziskas personas.
Gadījumos, kad Latvija kā uzņēmējvalsts sniedz atbalstu citu valstu vai starptautisko organizāciju spēkiem, kas tiek izvietoti, darbojas vai dodas cauri Latvijas teritorijai, šie spēki kļūst par civilmilitārās sadarbības subjektiem.
V. Civilmilitārās sadarbības galvenie elementi
Uzticība, kompetence, efektīvas komunikācijas un procesu caurspīdīgums civilo un militāro institūciju starpā veicina civilmilitārās sadarbības procesu veiksmīgu īstenošanu.
Civilmilitārās sadarbības galvenie elementi:
• izstrādāta civilmilitārās sadarbības politika visos līmeņos,
• kopēja civilā un militārā plānošana stratēģiskā līmenī, nodrošinot civilmilitārās sadarbības mehānisma funkcionēšanu,
• civilmilitārās sadarbības speciālistu (Nacionālo bruņoto spēku pārstāvju, kas ir apmācīti civilmilitārās sadarbības jautājumos) un funkcionālo speciālistu (augsti kvalificētu ekspertu (gan civilo, gan militāro) kādā konkrētā darbības jomā (specialitātē), kas papildus iziet pirmsmisijas apmācību un piedalās starptautiskajās operācijās) apmācība civilmilitārās sadarbības jautājumos.
VI. Civilmilitārās sadarbības pamatnostādnes
VI.I. Miera laiks
Miera laikā, racionāli izmantojot valsts līdzekļus un resursus, notiek kopējs plānošanas process, tā sagatavojoties iespējamo valsts apdraudējuma gadījumu efektīvai novēršanai.
Par miera laika apdraudējuma situāciju pārvarēšanu atbild civilās institūcijas, izmantojot visus tai pieejamos resursus. Bruņotie spēki var tikt iesaistīti tikai ar Ministru kabineta lēmumu, kā arī Aizsardzības ministra kompetencē esošajos īpašos gadījumos (saskaņā ar NBS likumu) un tad, ja atbildīgo civilo institūciju resursi šo situāciju pārvarēšanai nav pietiekami.
Civilmilitārās sadarbības mehānisms, balstoties uz šīs koncepcijas teorētiskajām pamatnostādnēm, tiek ņemts vērā, izstrādājot likumus, plānus un līgumus. Ir jāveic kopējas civilo un militāro institūciju mācības totālās aizsardzības sistēmas mācību ietvaros, sākot jau no plānošanas procesa.
Civilmilitārās sadarbības nostādņu īstenošanas priekšnoteikums ir apmācīti civilmilitārās sadarbības un funkcionālie speciālisti. Ir jāveic arī NBS komandieru apmācība civilmilitārās sadarbības jautājumos. Virsniekiem ir jāizprot civilmilitārās sadarbības principi, procedūras un vide (nacionālā un starpnacionālā līmenī), kurā tie darbojas. Civilmilitārās sadarbības speciālistiem ir galvenā loma civilā sektora vajadzību izvērtēšanā un palīdzības sniegšanas koordinēšanā.
Civilmilitārā sadarbība starptautisko operāciju laikā
Starptautisko operāciju laikā sekmīga civilmilitārā sadarbība ir īpaši svarīga un tā veicina miera uzturēšanas spēku un konflikta zonas vietējā civilā sektora darbības koordināciju, darbības kopēju mērķu izvirzīšanu un to sasniegšanu.
Nacionālo Bruņoto spēku piedalīšanos starptautiskajās operācijās regulē likums “Par Latvijas Nacionālo Bruņoto spēku piedalīšanos starptautiskajās operācijās” (spēkā esošs no 11.03.1995.) un šajā gadījumā civilmilitārā sadarbība balstās uz NATO starptautiskajās operācijās īstenotajiem civilmilitārās sadarbības pamatprincipiem (saskaņā ar NATO Civil–military Cooperation (CIMIC) Doctrine AJP–9).
Civilmilitārās sadarbības galvenie uzdevumi starptautisko operāciju laikā:
• sekmēt operācijas mērķa sasniegšanu,
• veikt situācijas novērtējumu,
• veikt projektu koordināciju un identifikāciju,
• veikt resursu plānošanu, sagatavošanu un racionālu izmantošanu,
• sniegt humāno palīdzību,
• veikt koordināciju starp valstiskajām un nevalstiskajām organizācijām,
• regulēt bēgļu un bezpajumtnieku jautājumus,
• pārraudzīt iespējamos vēlēšanu procesus,
• veidot un uzturēt datu bāzes,
• veikt nepieciešamos vides un kultūras vērtību aizsardzības pasākumus,
• piedalīties robežas nostiprināšanā novērotāja lomā.
Starpinstitucionālā sadarbība un rīcības un resursu koordinācija ir viena no starptautisko operāciju prioritātēm.
VI.II. Miera laika īpašie tiesiskie režīmi
Civilmilitārā sadarbība ārkārtējo situāciju laikā, kā arī dažādu katastrofu gadījumos, kad nav izsludināta ārkārtējā situācija
Par palīdzības sniegšanu iedzīvotājiem katastrofās, kā arī katastrofu radīto kaitējumu īpašumam, videi un tautsaimniecībai novēršanu vai samazināšanu atbild civilās aizsardzības sistēma. Atkarībā no katastrofas mēroga, ja ir nepieciešama fizisko uz juridisko personu tiesību un brīvības ierobežošana, var izsludināt ārkārtējo situāciju.
Katastrofās un ārkārtējās situācijās par nepieciešamajiem civilmilitārās sadarbības pasākumiem un bruņoto spēku iesaistīšanas nepieciešamību, saskaņojot ar Aizsardzības ministriju, lemj valsts Civilās aizsardzības valsts operatīvā komisija vai attiecīgā rajona Civilās aizsardzības operatīvā komisija.
Nacionālie bruņotie spēki piedalās arī vispārējās drošības un sabiedriskās kārtības nodrošināšanā likumos un citos normatīvajos aktos noteiktajā kārtībā.
Bruņoto spēku atbalsts katastrofās un ārkārtējās situācijās ir jāizmanto tiesību aktos noteiktajā kārtībā, ja civilās aizsardzības sistēmas, Iekšlietu ministrijas vai citu atbildīgo civilo institūciju resursi šo situāciju pārvarēšanai nav pietiekami un ir nepieciešams NBS atbalsts. Katastrofu un ārkārtējo situāciju gadījumiem bruņotie spēki veido un uztur noteiktu tehnisko aprīkojumu un apmāca speciālistus. Bruņoto spēku vienību (apakšvienību) personāls ārkārtējo situāciju novēršanas, pārvarēšanas vai to seku likvidācijas pasākumus veic šo vienību (apakšvienību) tiešā komandiera vadībā. Šo vienību veicamos uzdevumus ārkārtējo situāciju un katastrofu novēršanā un to seku likvidācijā notikuma vietā nosaka glābšanas darbu vadītājs.
Civilmilitārā sadarbība izņēmuma stāvokļa laikā
Izņēmuma stāvokļa laikā civilmilitārās sadarbības nepieciešamo veidu un apjomu, pamatojoties uz Ministru kabineta lēmumu, īsteno Iekšlietu ministrija ar tās pakļautībā un pārraudzībā esošajām iestādēm sadarbībā ar citām ministrijām un pašvaldībām.
Bruņotie spēki izņēmuma stāvokļa noregulēšanā var tikt iesaistīti tikai ar Ministru kabineta lēmumu, nosakot katrā atsevišķā gadījumā to funkcijas un uzdevumus, un ja Iekšlietu ministrijas vai citu atbildīgo civilo institūciju resursi šo situāciju pārvarēšanai nav pietiekami. Šajā gadījumā Bruņotie spēki nodrošina iedzīvotāju aizsardzību, stratēģiski svarīgu objektu aizsardzību, sabiedriskās kārtības uzturēšanu un sniedz palīdzību Valsts robežsardzei, tomēr uzdevumi, kas ir saistīti ar valsts militāro aizsardzību, ir prioritāri.
VI.III. Civilmilitārā sadarbība karastāvokļa laikā
Civilmilitārā sadarbība karastāvokļa laikā ir koordinācija un sadarbība valsts aizsardzības mērķa īstenošanai starp Nacionālajiem bruņotajiem spēkiem un valsts civilās aizsardzības sistēmu, ietverot valsts institūcijas, pašvaldības, kā arī juridiskas un fiziskas personas.
Karastāvokļa laikā civilā sistēma prioritāri tiek pakļauta valsts aizsardzības uzdevumu īstenošanai un mobilizācijas procesam, sniedzot visus iespējamos NBS nepieciešamos resursus. Militārās institūcijas savlaicīgi prognozē un nosaka šo resursu lielumu, veidu un plānveidīgi tos apzina.
Civilmilitārā sadarbības galvenie uzdevumi:
1) nodrošināt civilā sektora atbalstu bruņotajiem spēkiem materiālo, personāla, infrastruktūras un citu nepieciešamo resursu veidā;
2) sniegt bruņoto spēku iespējamo atbalstu civiliedzīvotājiem un pārvaldes struktūrām.
Civilmilitārā sadarbība notiek ar mērķi veikt valsts aizsardzību, sniedzot atbalstu bruņotajiem spēkiem un nodrošinot civilās aizsardzības sistēmas darbību. Civilmilitāro sadarbību valsts stratēģiskā līmenī vada Ministru prezidents; militāro operāciju (militāri stratēģiskais līmenis) un kauju (taktiskais līmenis) līmenī civilmilitāro sadarbību nodrošina visu līmeņu komandieri un pašvaldību vadītāji. Komandieru uzdevums ir arī novērtēt militāro operāciju iespējamo iespaidu uz civilo sektoru un civilā sektora iespējamo ietekmi uz militārajām operācijām.
VI.IV. Uzņēmējvalsts atbalsts kā civilmilitārās sadarbības aspekts
Uzņēmējvalsts atbalsts ir civilā un militārā palīdzība, kādu Latvija kā uzņēmējvalsts sniedz citu valstu vai starptautisko organizāciju spēkiem, kas tiek izvietoti, darbojas vai dodas cauri Latvijas teritorijai. Uzņēmējvalsts atbalsts tiek sniegts saskaņā ar NATO noteiktajām procedūrām un standartiem, kā arī ar ANO statūtiem un citiem Latvijai saistošiem starptautisko tiesību aktiem.
Uzņēmējvalsts atbalsts ir saistīts ar civilās un militārās palīdzības sniegšanu, ieskaitot materiālu, aprīkojuma, pakalpojumu un administratīvo atbalstu nosūtošo valstu vai starptautisko organizāciju spēkiem. Civilmilitārās sadarbības loma ir veicināt pieejas nodrošināšanu civilajiem resursiem un garantēt, ka šāda pieeja nenodarīs ļaunumu valsts ekonomikai, operācijas zonā esošajiem iedzīvotājiem un apkārtējai videi. Valsts robežsardze, ja operācijas notiek pierobežā, piedalās novērotāju un konsultantu lomā.
Uzņēmējvalsts atbalsta process ir nosūtošo valstu vai starptautisko organizāciju spēku nodrošinājuma funkcijas neatņemama sastāvdaļa. Uzņēmējvalsts atbalsta principus un nostādnes regulē Uzņēmējvalsts atbalsta koncepcija (atrodas izstrādes stadijā).
VII. Civilmilitārās sadarbības vadības sistēma
Par civilmilitārās sadarbības pasākumu kopuma izveidošanu atbild Ministru kabinets un civilmilitāro sadarbību vada Ministru prezidents.
Civilmilitārās sadarbības pasākumu īstenošanas koordināciju valsts līmenī nodrošina Krīzes kontroles centrs, kas darbojas saskaņā ar Ministru kabineta piešķirtajām pilnvarām.
Iekšlietu ministrija ir atbildīga par civilmilitārās sadarbības īstenošanu katastrofās, ārkārtējās situācijās un izņēmuma stāvokļa gadījumos starpministriju līmenī sadarbībā ar pašvaldībām.
Aizsardzības ministrija ir atbildīga par civilmilitārās sadarbības īstenošanu kara gadījumā starpministriju līmenī sadarbībā ar Krīzes kontroles centru un pašvaldībām.
Vēlamie civilmilitārās sadarbības rezultāti tiek panākti, īstenojot civilmilitārās sadarbības struktūras decentralizāciju. Pamatojoties uz noslēgtiem sadarbības līgumiem starp militārām un civilām institūcijām darbībai un kopējai resursu izmantošanai valsts apdraudējuma gadījumā, ir iespējams panākt precīzāku un ātrāku sadarbību un rīcību, efektīvāku resursu izmantošanu un izvairīties no funkciju dublēšanās institūciju starpā.
VIII. Civilmilitārās sadarbības subjektu kompetence
Ministru prezidents
— vada civilmilitāro sadarbību.
Ministru kabinets
— Ministru prezidenta vadībā nodrošina civilmilitārās sadarbības sistēmas izveidošanu un funkcionēšanu.
Krīzes kontroles centrs
— koordinē valsts pārvaldes institūciju preventīvo plānu izstrādi un pasākumus valsts apdraudējuma novēršanā un pārvarēšanā, ievērojot civilmilitārās sadarbības pamatnostādnes un principus;
— veic valsts apdraudējuma pārvarēšanas operatīvo vadību saskaņā ar Ministru kabineta piešķirtajām pilnvarām, ievērojot civilmilitārās sadarbības pamatnostādnes efektīvai apdraudējuma pārvarēšanai vai to izraisīto seku likvidēšanai.
Aizsardzības ministrija
— stratēģiskā līmenī sadarbībā ar Iekšlietu ministriju, citām ministrijām, pašvaldībām un Krīzes kontroles centru izstrādā civilmilitārās sadarbības pasākumus kara gadījumam;
— pastāvīgi veic situācijas novērtējumu un izstrādā priekšlikumus papildu līdzekļu piesaistei, kas nav iepriekš plānoti, karastāvokļa laikā;
— kontrolē civilmilitārās sadarbības pasākumu plānošanu ministrijas pakļautībā un pārziņā esošajās iestādēs;
— plāno un organizē militāro civilmilitārās sadarbības speciālistu un funkcionālo speciālistu apmācību un civilmilitārās sadarbības mācības militārās aizsardzības sistēmā.
Iekšlietu ministrija
— stratēģiskā līmenī sadarbībā ar Aizsardzības ministriju, citām ministrijām, pašvaldībām un Krīzes kontroles centru izstrādā civilmilitārās sadarbības pasākumus katastrofām, ārkārtējām situācijām un izņēmuma stāvokļa gadījumiem;
— pamatojoties uz situācijas novērtējumu, izstrādā priekšlikumus papildu līdzekļu piesaistei, kas nav iepriekš plānoti, katastrofu, ārkārtējo situāciju un izņēmuma stāvokļa gadījumos;
— kontrolē civilmilitārās sadarbības pasākumu plānošanu ministrijas pakļautībā, pārraudzībā un pārziņā esošajās iestādēs;
— plāno un organizē civilmilitārās sadarbības mācības civilās aizsardzības sistēmā.
Ministrijas
— savas kompetences ietvaros plāno civilmilitārās sadarbības pasākumus.
Pašvaldības
— plāno nepieciešamos resursus civilmilitārās sadarbības īstenošanai savā administratīvajā teritorijā ārkārtējo situāciju, izņēmuma stāvokļa un kara gadījumā;
— plāno, organizē un atbild par civilmilitārās sadarbības pasākumu īstenošanu savā administratīvajā teritorijā savas kompetences ietvaros.
IX. Problēmas risinājuma posmi
Latvijā ir nepieciešams attīstīt civilmilitāro sadarbību, ņemot vērā NATO un rietumvalstu pieredzi un metodisko palīdzību. Attīstot šo sadarbību un īstenojot šīs koncepcijas nostādnes, ir jāņem vērā faktors, ka Latvijai ir ierobežoti finansiālie un tautsaimniecības resursi. Īpaša uzmanība ir jāvelta rūpīgai un pārdomātai plānošanai, skaidri nosakot pienākumu sadali valsts pārvaldes institūciju un amatpersonu starpā civilmilitārās sadarbības jomā.
Civilmilitārās sadarbības sistēmas veidošanas un attīstības procesā ir šādi posmi:
I posms — civilmilitārās sadarbības speciālistu apmācība ar civilmilitāro sadarbību saistīto nepieciešamo skaidrojošo dokumentu izstrāde — no 2002.gada janvāra līdz 2005.gada 31.decembrim.
II posms — funkcionālo speciālistu atlase un apmācība — līdz 2003.gada 31.decembrim.
III posms — civilmilitārās sadarbības nodrošināšanai un īstenošanai nepieciešamo struktūru izveide NBS — līdz 2004.gada 31.decembrim.
X. Koncepcijas īstenošanas
finansiālie un ekonomiskie aspekti
Īstenojot šīs koncepcijas nostādnes, notiek resursu taupīga un lietderīga izmantošana. Papildu resursi ir nepieciešami civilmilitārās sadarbības speciālistu sagatavošanai un civilmilitārās sadarbības praktiskajām mācībām un treniņiem.
XI. Civilmilitārās sadarbības īstenošanai svarīgākie
nepieciešamie skaidrojošie dokumenti un normatīvie akti
XI.I. Izvērtējums par nepieciešamajiem grozījumiem normatīvajos aktos un politikas dokumentos
Tā kā totālās aizsardzības sistēma sastāv no civilās aizsardzības sistēmas, militārās aizsardzības sistēmas un valstij pieejamajiem materiālajiem un finansu resursiem, Civilmilitārā sadarbība ir neatņemams totālās aizsardzības sistēmas īstenošanas process (mehānisms), kas saista totālās aizsardzības sistēmas sastāvdaļas un nodrošina to savstarpēju mijiedarbību, koordināciju un abpusēju atbalstu. Kā pamats šim procesam ir normatīvo aktu un politikas dokumentu izstrādē vērā ņemtie civilmilitārās sadarbības principi, kuru loma ir nodrošināt un efektivizēt normatīvajos aktos reglamentēto un politikas dokumentos noteikto nostādņu īstenošanu. Civilmilitārās sadarbības process ir priekšnoteikums arī Latvijas uzņēmējvalsts atbalsta īstenošanai un Latvijas dalībai starptautiskajās operācijās. Pamatojoties uz to, apstiprinātajos normatīvajos aktos un politikas dokumentos un ir iekļaujami šādi grozījumi:
1) Nacionālās drošības likuma 3.panta 2.punkta otro daļu izteikt šādā redakcijā:
“(2)Nacionālās drošības sistēmas uzdevumi ir šādi:
2) izstrādāt vienotu, sistēmisku valsts varu un pārvaldi realizējošo institūciju nacionālās drošības politiku, ievērojot civilmilitārās sadarbības pamatnostādnes, un saskaņoti un mērķtiecīgi visos valsts pārvaldes līmeņos izpildīt tās noteiktos tiesiskos, ekonomiskos, sociālos, militāros, drošības un citus pasākumus;”
2) NBS likuma 17.panta 1.daļu izteikt šādā redakcijā:
“(1) Nacionālie bruņotie spēki sadarbojas ar valsts, pašvaldību un privātajām institūcijām likumā noteiktajā kārtībā un saskaņā ar civilmilitārās sadarbības pamatnostādnēm.”
3) Nacionālās drošības koncepcijas 1.2. punktu izteikt šādā redakcijā:
“Valsts drošības politika un tās mērķu sasniegšana ir visu valsts institūciju un valsts iedzīvotāju atbildība un tā tiek īstenota civilmilitārās sadarbības procesa ietvaros.”
4) Valsts aizsardzības koncepcijas 3.punktā noteikt:
“ Viens no priekšnoteikumiem valsts aizsardzības pamatprincipu īstenošanai ir noregulēts civilmilitārās sadarbības mehānisms.”
XI.II. Saskaņā ar šajā koncepcijā noteiktajām vadlīnijām ir nepieciešams izstrādāt:
1. Rokasgrāmatu valsts institūciju, pašvaldību darbiniekiem un Nacionālo bruņoto spēku karavīriem civilmilitārās sadarbības jautājumos, pamatojoties uz NATO CIMIC Handbook.
Mērķis: nodrošināt visu valsts totālās aizsardzības sistēmā iesaistīto subjektu vienotu izpratni par civilmilitārās sadarbības jautājumiem un to saskaņotu darbību, īstenojot civilmilitārās sadarbības pamatprincipus.
Iespējamais rokasgrāmatas saturs:
1. Civilmilitārās sadarbības principi, mehānisms un process (kārtība) katastrofu, ārkārtējo situāciju, izņēmuma stāvokļa, bruņota konflikta (kara) gadījumā, miera uzturēšanas un nodrošināšanas operācijās;
2. Civilmilitārās sadarbības starpvalstu un starptautiskās sadarbības principi, tās plānošanas un realizācijas kārtība;
3. Civilmilitārajai sadarbībai nepieciešamo finansu līdzekļu un materiālo resursu plānošanas un izmantošanas kārtība;
4. Civilmilitārajai sadarbībai nepieciešamās struktūrvienības, to organizācija, uzdevumi, pienākumi, atbildība un tiesības, informācijas apmaiņa un sadarbība ar masu medijiem;
5. Komandieru pienākumi pret civilo sektoru, tās īpašumu un humānajiem faktoriem;
6. Funkcionālo speciālistu iesaistes kārtība;
7. Atbildības deleģēšana pašvaldībām civilmilitārās sadarbības jautājumos;
8. Civilmilitārās sadarbības mācības, to organizēšana un tām nepieciešamie resursi;
9. Nepieciešamās profesionālās palīdzības sniegšanas gadījumi civilām iestādēm — sadarbības līguma nosacījumi un finansējums (kinologu iesaistīšana sprāgstvielu, narkotisko vielu meklēšanā, sprādzienbīstamu priekšmetu realizācija utt.);
10. Resursu plānošana, uzturēšana un finansējums stihisku krīzes situāciju seku likvidācijā (plūdi, mežu ugunsgrēki, ķīmisko vielu noplūde, terora aktu sekas, bēgļu jautājumi utt.);
2. Izstrādāt un pieņemt likumu par Latvijas pievienošanos 1954. gada Hāgas konvencijai par kultūras vērtību aizsardzību bruņota konflikta gadījumā.
Mērķis: pieņemt un apstiprināt Latvijas Republikā 1954.gada Hāgas konvenciju par kultūras vērtību aizsardzību bruņota konflikta gadījumā, kā rezultātā, plānojot valsts militārās aizsardzības pasākumus, tiktu ņemti vērā kultūras vērtību aizsardzības jautājumi.
Likums tiek balstīts uz šādām pamatnostādnēm:
— ar likumu tiek pieņemta un apstiprināta 1954.gada Hāgas konvencija par kultūras vērtību aizsardzību bruņota konflikta gadījumā,
— tiek noteikts likuma spēkā stāšanās laiks,
— tiek noteikta koordinējošā institūcija koordinatora funkcijas veikšanai konvencijas izpildē.
XII. Secinājumi
1. Civilmilitārajā sadarbībā iesaistītās institūcijas atbild par koncepcijas nostādņu īstenošanu, balstoties uz NATO un rietumu valstu pieredzi un metodisko palīdzību atbilstoši valstī pieejamo resursu iespējām.
2. Tiek izstrādāti civilmilitāro sadarbību skaidrojošie dokumenti, veikta civilmilitārās sadarbības speciālistu un funkcionālo speciālistu apmācība un nepieciešamo struktūru izveide.
3. Civilmilitārās sadarbības pamatnostādņu un pamatprincipu atstrādāšana militārās, civilās aizsardzības un mobilizācijas mācībās un mācību (nacionālo un starptautisko) organizēšana.
Darba grupas vadītājs
NBS komandiera vietnieks G.A.Zeibots
Pielikums