
Pārtikas un veterinārā dienesta rīkojums Nr.325
Rīgā 2002.gada 1.augustā
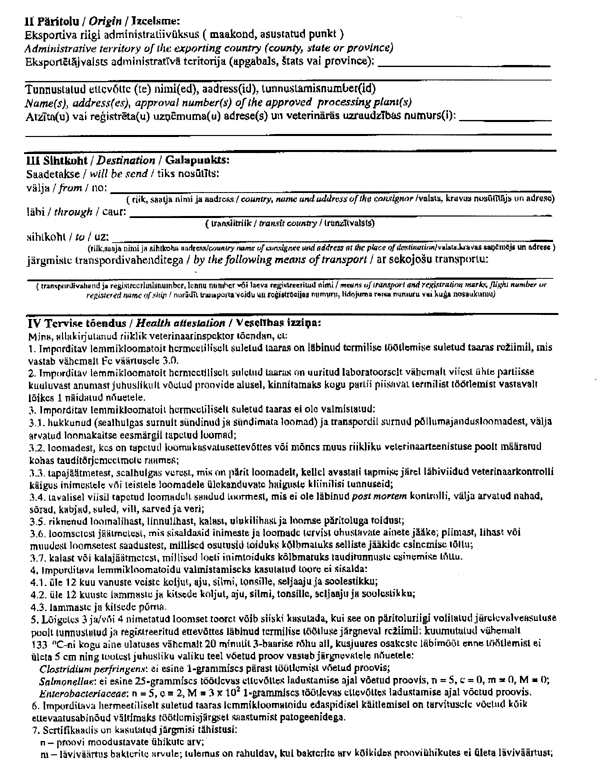
Par veselības sertifikātu mājas un istabas dzīvnieku barības konservu izvešanai uz Igaunijas Republiku
Pamatojoties uz Igaunijas Republikas veterinārā dienesta noteiktajām prasībām, nosaku:
1. Mājas un istabas dzīvnieku barības konservu izvešanai uz Igaunijas Republiku izsniegt rīkojuma pielikumā noteiktās formas sertifikātu.
2. Atcelt sertifikāta “Eksport 2” izsniegšanu mājas un istabas dzīvnieku barības konservu izvešanai uz Igaunijas Republiku.
3. Rīkojumu publicēt laikrakstā “Latvijas Vēstnesis”.
4. Rīkojums stājas spēkā ar parakstīšanas brīdi.
5. Kontroli pār rīkojuma izpildi uzdodu Dzīvnieku veselības un labturības departamenta direktoram I.Celmam.
Pārtikas un veterinārā dienesta direktora pienākumu izpildītājs E.Zavadskis