
Pārtikas un veterinārā dienesta rīkojums Nr.278
Rīgā 2002. gada 2. jūlijā
Par veterināro sertifikātu zirgu pagaidu izvešanai uz Lietuvas Republiku
Pamatojoties uz Lietuvas Republikas Veterinārā un pārtikas dienesta prasībām, nosaku:
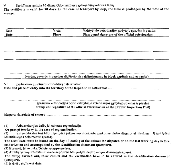
1. Zirgu izvešanai uz Lietuvas Republiku izsniegt rīkojuma pielikumā noteiktā parauga veterināro sertifikātu.
2. Atcelt sertifikāta "Eksport 1" izsniegšanu zirgu izvešanai uz Lietuvas Republiku.
3. Rīkojumu publicēt laikrakstā "Latvijas Vēstnesis".
4. Rīkojums stājas spēkā ar parakstīšanas brīdi.
5. Kontroli pār rīkojuma izpildi uzdodu:
5.1. Dzīvnieku veselības un labturības departamenta direktoram I.Celmam;
5.2. Sanitārās robežinspekcijas priekšniecei I.Šicei–Trēdei.
Pārtikas un veterinārā dienesta
direktora pienākumu izpildītājs E.Zavadskis
Pielikums